| Name | Sep |
| Idh3b mm5
[u][d][f]( 0.00%, altCassette) | 7.0800 |
| G6926528_a_at mm5
[u][d][f]( 0.00%, altCassette) | 6.2360 |
| Mgll mm5
[u][d][f]( 0.00%, altCassette) | 5.9149 |
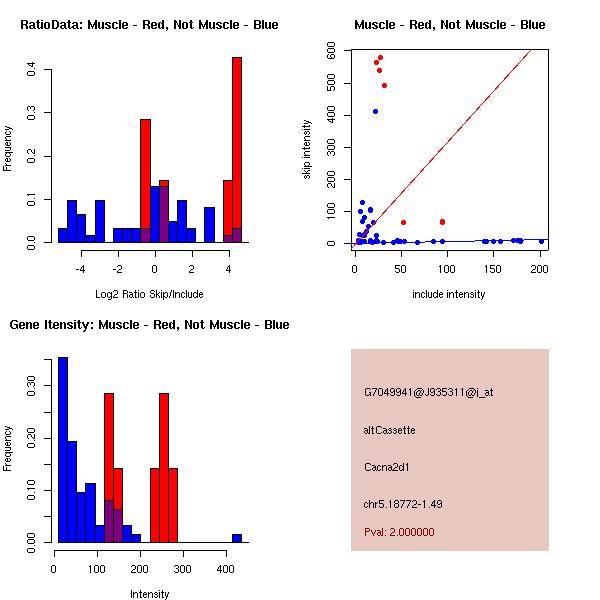
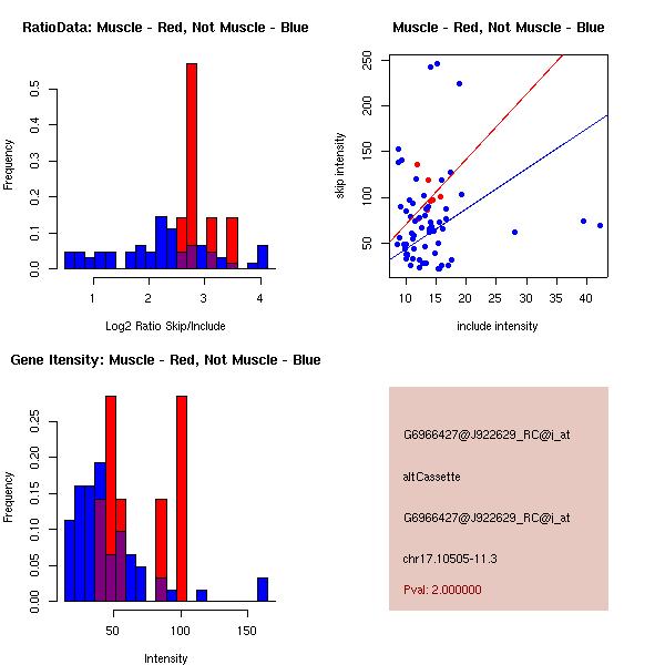
| Cacna2d1 mm5
[u][d][f](96.00%, altCassette) | 5.6061 |
| Kif1b mm5
[u][d][f]( 0.00%, altCassette) | 4.4963 |
| Mme mm5
[u][d][f]( 0.00%, alt3Prime) | 4.1403 |
| Mfn2 mm5
[u][d][f]( 0.00%, altCassette) | -4.0292 |
| Mpp6 mm5
[u][d][f]( 0.00%, altCassette) | -4.0284 |
| Slc25a3 mm5
[u][d][f](27.00%, altCassette) | -3.8337 |
| Fxr1h mm5
[u][d][f]( 0.00%, altCassette) | -3.7754 |
| Cd47 mm5
[u][d][f]( 0.00%, altMutEx) | 3.7144 |
| Ank3 mm5
[u][d][f](65.00%, altCassette) | 3.7133 |
| BC027791 mm5
[u][d][f]( 0.00%, altCassette) | 3.7007 |
| Azi2 mm5
[u][d][f]( 0.00%, altCassette) | -3.6817 |
| 1110001A05Rik mm5
[u][d][f]( 0.00%, altTxEnd) | 3.5663 |
| Schip1 mm5
[u][d][f]( 0.00%, altTxStart) | 3.5621 |
| Schip1 mm5
[u][d][f]( 0.00%, altTxStart) | 3.5621 |
| AF340029 mm5
[u][d][f](58.50%, altCassette) | -3.5529 |
| Clps mm5
[u][d][f]( 0.00%, altCassette) | 3.4911 |
| Mb mm2
[u][d][f]( 0.00%, altTxStart) | 3.4584 |
| Mb mm5
[u][d][f]( 0.00%, altTxStart) | 3.4584 |
| BC028256 mm5
[u][d][f](43.00%, altCassette) | 3.3861 |
| Gnas mm5
[u][d][f]( 0.00%, altCassette) | 3.3753 |
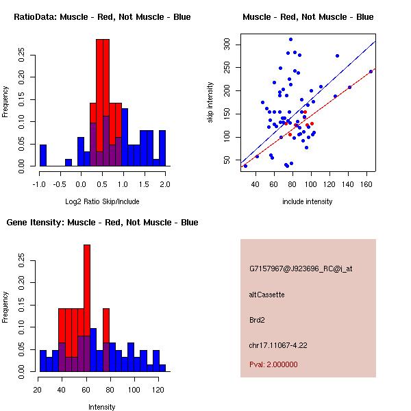
| Dncic2 mm5
[u][d][f](65.50%, altCassette) | 3.3524 |
| Bclaf1 mm5
[u][d][f](29.00%, altCassette) | 3.2866 |
| Art3 mm5
[u][d][f]( 0.00%, alt5Prime) | 3.2371 |
| Aplp2 mm5
[u][d][f](96.00%, altCassette) | 3.2296 |
| Capzb mm5
[u][d][f](39.50%, altCassette) | -3.1662 |
| D930001I22Rik mm5
[u][d][f]( 0.00%, altTxStart) | 3.0959 |
| AK040750 mm5
[u][d][f]( 0.00%, altTxEnd) | 3.0930 |
| Lrrfip1 mm5
[u][d][f]( 0.00%, altCassette) | -3.0775 |
| Synj2 mm5
[u][d][f]( 0.00%, altCassette) | -3.0739 |
| Mef2d mm5
[u][d][f]( 0.00%, altMutEx) | 3.0660 |
| Homer1 mm5
[u][d][f]( 0.00%, altCassette) | 2.9971 |
| Ank3 mm5
[u][d][f]( 0.00%, alt3Prime) | -2.9929 |
| Camk2g mm5
[u][d][f]( 0.00%, altCassette) | 2.8162 |
| Add1 mm5
[u][d][f]( 0.00%, alt5Prime) | 2.8106 |
| Ndufs1 mm5
[u][d][f]( 0.00%, altCassette) | 2.7967 |
| Mtap4 mm5
[u][d][f]( 0.00%, altMutEx) | 2.7439 |
| Smtn mm5
[u][d][f]( 0.00%, altTxStart) | 2.5794 |
| Smtn mm5
[u][d][f]( 0.00%, altTxStart) | 2.5794 |
| AK122487 mm5
[u][d][f]( 0.00%, altCassette) | -2.5600 |
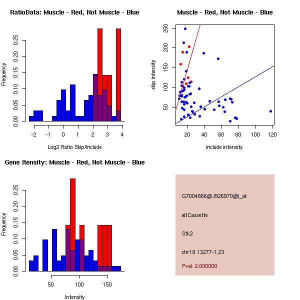
| Stk2 mm5
[u][d][f](50.00%, altCassette) | 2.5202 |
| Smyd1 mm5
[u][d][f]( 0.00%, altTxStart) | 2.3836 |
| Smyd1 mm5
[u][d][f]( 0.00%, altTxStart) | 2.3836 |
| G7029640_RC_a_at mm5
[u][d][f]( 0.00%, altTxStart) | 2.3591 |
| Ndufa10 mm5
[u][d][f]( 0.00%, altTxEnd) | 2.3512 |
| Ndufa10 mm5
[u][d][f]( 0.00%, altTxEnd) | 2.3512 |
| BC003331 mm5
[u][d][f]( 0.00%, alt3Prime) | 2.3454 |
| Mbnl1 mm5
[u][d][f](80.50%, altCassette) | 2.3436 |
| AK052001 mm5
[u][d][f]( 0.00%, altTxStart) | 2.3399 |
| BC060501 mm5
[u][d][f]( 0.00%, altCassette) | 2.3113 |
| Dlgh1 mm5
[u][d][f](96.50%, altCassette) | 2.3010 |
| AK017507 mm5
[u][d][f](26.50%, altCassette) | 2.2631 |
| Gyg1 mm2
[u][d][f]( 0.00%, altTxStart) | 2.2529 |
| Phkb mm5
[u][d][f]( 0.00%, altCassette) | 2.2298 |
| Vldlr mm5
[u][d][f](40.50%, altCassette) | -2.1925 |
| G6875109_RC_a_at mm5
[u][d][f]( 0.00%, altCassette) | 2.1855 |
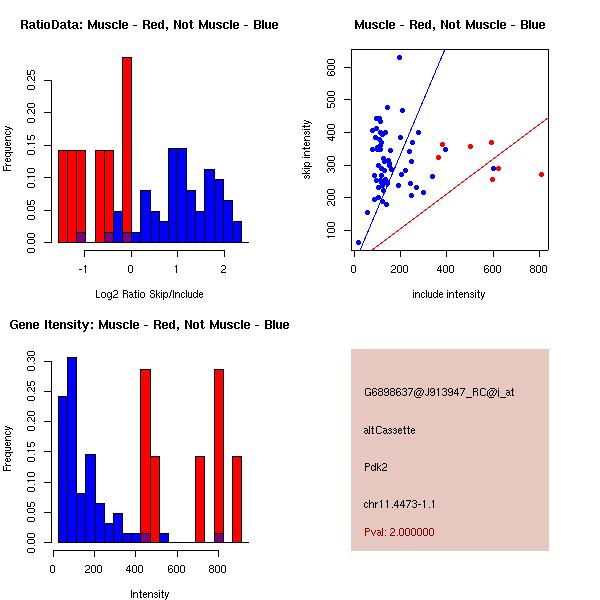
| Pdk2 mm5
[u][d][f]( 0.00%, altTxStart) | 2.1757 |
| Pdk2 mm5
[u][d][f]( 0.00%, altTxStart) | 2.1757 |
| Pmm1 mm5
[u][d][f]( 0.00%, altMutEx) | 2.1619 |
| BC062096 mm5
[u][d][f]( 0.00%, altCassette) | 2.1426 |
| Pnlip mm5
[u][d][f]( 0.00%, alt5Prime) | 2.1392 |
| Zfp162 mm5
[u][d][f](100.00%, altCassette) | 2.1287 |
| Park7 mm5
[u][d][f]( 0.00%, altTxStart) | 2.1165 |
| Park7 mm5
[u][d][f]( 0.00%, altTxStart) | 2.1165 |
| Lpin1 mm5
[u][d][f]( 0.00%, altTxEnd) | 2.1157 |
| Smtn mm5
[u][d][f](17.00%, altCassette) | -2.1155 |
| AK129295 mm5
[u][d][f]( 0.00%, altTxStart) | 2.1147 |
| BC056448 mm5
[u][d][f]( 0.00%, altCassette) | 2.1143 |
| Slc25a15 mm5
[u][d][f]( 0.00%, alt5Prime) | 2.1111 |
| Ddx50 mm5
[u][d][f]( 0.00%, alt5Prime) | 2.0783 |
| Rtn4 mm5
[u][d][f](29.00%, altCassette) | 2.0701 |
| Lpin1 mm5
[u][d][f]( 0.00%, altTxStart) | 2.0615 |
| Lpin1 mm5
[u][d][f]( 0.00%, altTxStart) | 2.0615 |
| Lpin1 mm5
[u][d][f]( 0.00%, altTxStart) | 2.0615 |
| BC004580 mm5
[u][d][f]( 0.00%, altTxEnd) | 2.0535 |
| BC004580 mm5
[u][d][f]( 0.00%, altTxEnd) | 2.0535 |
| BC004580 mm5
[u][d][f]( 0.00%, altTxEnd) | 2.0535 |
| BC004580 mm5
[u][d][f]( 0.00%, altTxEnd) | 2.0535 |
| BC004580 mm5
[u][d][f]( 0.00%, altTxEnd) | 2.0535 |
| Nudt4 mm5
[u][d][f]( 0.00%, altTxStart) | 2.0208 |
| G7151644_RC_a_at mm2
[u][d][f]( 0.00%, alt5Prime) | 2.0052 |
| AK078916 mm5
[u][d][f]( 0.00%, alt3Prime) | 1.9674 |
| Dag1 mm5
[u][d][f]( 0.00%, altTxStart) | 1.9661 |
| Dag1 mm5
[u][d][f]( 0.00%, altTxStart) | 1.9661 |
| Dag1 mm5
[u][d][f]( 0.00%, altTxStart) | 1.9661 |
| Pck1 mm2
[u][d][f]( 0.00%, altMutEx) | 1.9518 |
| Cyc1 mm5
[u][d][f]( 0.00%, alt3Prime) | 1.9374 |
| Ramp2 mm5
[u][d][f]( 0.00%, alt3Prime) | -1.9330 |
| Tpm1 mm5
[u][d][f](45.50%, altCassette) | -1.9265 |
| Sdfr1 mm5
[u][d][f]( 0.00%, altCassette) | 1.9214 |
| Trp53inp2 mm5
[u][d][f]( 0.00%, altTxEnd) | 1.9153 |
| Prkacb mm5
[u][d][f]( 0.00%, altTxStart) | -1.9129 |
| BC031849 mm5
[u][d][f]( 0.00%, altTxStart) | 1.9030 |
| Atp5j mm5
[u][d][f]( 0.00%, altTxStart) | 1.8870 |
| Gfm mm5
[u][d][f]( 0.00%, altTxEnd) | 1.8820 |
| Idh3a mm5
[u][d][f]( 0.00%, altCassette) | 1.8811 |
| 2210409M21Rik mm5
[u][d][f]( 0.00%, alt5Prime) | -1.8760 |
| Pkia mm5
[u][d][f]( 0.00%, altTxStart) | 1.8696 |
| Dnm1l mm5
[u][d][f]( 0.00%, altCassette) | 1.8548 |
| AF340029 mm5
[u][d][f](59.50%, altCassette) | 1.8540 |
| Got1 mm5
[u][d][f]( 0.00%, altTxEnd) | 1.8282 |
| Chchd3 mm5
[u][d][f]( 0.00%, altTxStart) | 1.8230 |
| Dlst mm5
[u][d][f]( 0.00%, altTxEnd) | 1.8196 |
| AK122487 mm5
[u][d][f](48.00%, altCassette) | -1.8184 |
| Zfp106 mm5
[u][d][f]( 3.00%, altCassette) | -1.7958 |
| Kpna1 mm5
[u][d][f]( 0.00%, altTxStart) | 1.7914 |
| Mme mm5
[u][d][f]( 0.00%, altTxStart) | -1.7677 |
| Mme mm5
[u][d][f]( 0.00%, altTxStart) | -1.7677 |
| Mme mm5
[u][d][f]( 0.00%, altTxStart) | -1.7677 |
| Nfe2l1 mm5
[u][d][f]( 0.00%, altTxStart) | 1.7635 |
| Idh3g mm5
[u][d][f]( 0.00%, altTxStart) | 1.7534 |
| Atp5b mm5
[u][d][f]( 0.00%, altTxEnd) | 1.7419 |
| Tpcn1 mm2
[u][d][f]( 0.00%, altTxStart) | 1.7369 |
| Dcn mm5
[u][d][f]( 0.00%, altTxStart) | 1.7203 |
| Map2k4 mm5
[u][d][f](96.50%, altCassette) | 1.7140 |
| Ndrg2 mm5
[u][d][f]( 0.00%, altTxStart) | 1.7049 |
| Ndrg2 mm5
[u][d][f]( 0.00%, altTxStart) | 1.7049 |
| Chchd3 mm5
[u][d][f]( 0.00%, altCassette) | 1.6852 |
| Fxyd1 mm5
[u][d][f]( 0.00%, altTxStart) | 1.6758 |
| Ndufs1 mm5
[u][d][f]( 0.00%, altTxStart) | 1.6757 |
| Ndufs1 mm5
[u][d][f]( 0.00%, altTxStart) | 1.6757 |
| Fxyd1 mm5
[u][d][f]( 0.00%, altCassette) | -1.6609 |
| Nucb mm5
[u][d][f]( 0.00%, altCassette) | 1.6582 |
| BC031181 mm5
[u][d][f]( 0.00%, altMutEx) | 1.6567 |
| Bnip2 mm5
[u][d][f]( 0.00%, altTxStart) | 1.6516 |
| Cdc42 mm2
[u][d][f]( 0.00%, altTxEnd) | 1.6375 |
| Ndufs1 mm5
[u][d][f]( 0.00%, altMutEx) | -1.6369 |
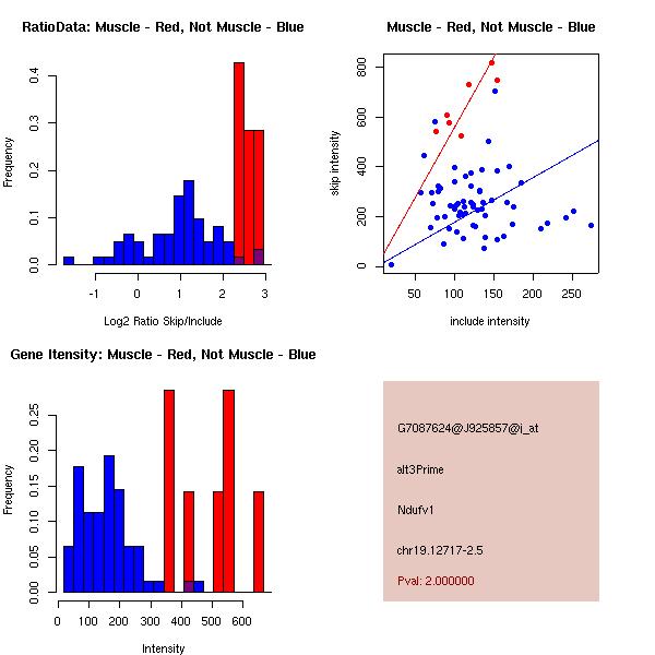
| Ndufv1 mm5
[u][d][f]( 0.00%, alt3Prime) | 1.6345 |
| 1810056O20Rik mm5
[u][d][f]( 0.00%, altTxStart) | 1.6303 |
| Bzw2 mm5
[u][d][f]( 0.00%, altTxEnd) | 1.6261 |
| Immt mm5
[u][d][f]( 0.00%, altCassette) | -1.6168 |
| Ctsb mm5
[u][d][f]( 0.00%, altTxStart) | 1.6151 |
| AK078654 mm5
[u][d][f]( 0.00%, altTxStart) | -1.6094 |
| Etfb mm5
[u][d][f]( 0.00%, altTxEnd) | 1.5936 |
| Psme4 mm5
[u][d][f]( 0.00%, altTxEnd) | 1.5811 |
| Gtf2i mm5
[u][d][f]( 0.00%, altCassette) | 1.5746 |
| UBE2G1 mm5
[u][d][f]( 0.00%, altTxStart) | 1.5709 |
| AK076348 mm5
[u][d][f]( 0.00%, alt3Prime) | -1.5658 |
| Sdfr1 mm5
[u][d][f]( 0.00%, altCassette) | 1.5619 |
| Uqcrc2 mm5
[u][d][f]( 0.00%, altCassette) | 1.5499 |
| 5730454B08Rik mm5
[u][d][f]( 0.00%, altTxStart) | 1.5469 |
| Spg7 mm5
[u][d][f]( 0.00%, alt5Prime) | 1.5354 |
| Pld3 mm5
[u][d][f]( 0.00%, altCassette) | 1.5323 |
| 2810441C07Rik mm5
[u][d][f]( 0.00%, altTxStart) | 1.5276 |
| Slc25a12 mm5
[u][d][f]( 0.00%, altTxStart) | 1.5165 |
| 9430077C05Rik mm2
[u][d][f]( 0.00%, altTxEnd) | 1.5146 |
| Picalm mm5
[u][d][f](100.00%, altCassette) | 1.5109 |
| Prkwnk1 mm5
[u][d][f]( 0.00%, altTxStart) | 1.5063 |
| Atf2 mm5
[u][d][f](99.00%, altCassette) | 1.5020 |
| Atp5g3 mm5
[u][d][f]( 0.00%, alt5Prime) | -1.4943 |
| G7180187_a_at mm2
[u][d][f]( 0.00%, altCassette) | 1.4886 |
| Vldlr mm5
[u][d][f]( 0.00%, altCassette) | -1.4822 |
| Nfix mm5
[u][d][f]( 0.00%, altCassette) | 1.4794 |
| Eps15 mm5
[u][d][f](26.50%, altCassette) | 1.4769 |
| 5530600A18Rik mm5
[u][d][f]( 0.00%, altTxEnd) | 1.4767 |
| 5530600A18Rik mm5
[u][d][f]( 0.00%, altTxEnd) | 1.4767 |
| 2900002H16Rik mm5
[u][d][f]( 0.00%, altTxStart) | 1.4536 |
| 2900002H16Rik mm5
[u][d][f]( 0.00%, altTxStart) | 1.4536 |
| Csda mm5
[u][d][f](79.00%, altCassette) | 1.4466 |
| Plekhc1 mm5
[u][d][f]( 0.00%, altTxStart) | 1.4462 |
| Npc2 mm5
[u][d][f]( 0.00%, altTxEnd) | 1.4460 |
| 4930455C21Rik mm5
[u][d][f]( 0.00%, altTxEnd) | 1.4445 |
| Camk2d mm5
[u][d][f]( 0.00%, altCassette) | -1.4431 |
| Immt mm5
[u][d][f]( 0.00%, altTxEnd) | 1.4389 |
| G7180187_a_at mm2
[u][d][f]( 0.00%, altCassette) | 1.4388 |
| Hagh mm5
[u][d][f]( 0.00%, altMutEx) | 1.4364 |
| Cxcl12 mm5
[u][d][f]( 0.00%, altTxEnd) | 1.4350 |
| Efemp1 mm5
[u][d][f]( 0.00%, alt3Prime) | 1.4348 |
| LOC114601 mm5
[u][d][f]( 0.00%, alt5Prime) | -1.4281 |
| BC019977 mm5
[u][d][f](68.00%, altCassette) | 1.4210 |
| Sh3kbp1 mm5
[u][d][f]( 0.00%, altCassette) | 1.4179 |
| AK033642 mm5
[u][d][f]( 0.00%, altTxEnd) | 1.4127 |
| M77003 mm5
[u][d][f]( 0.00%, altTxStart) | 1.4079 |
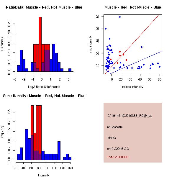
| Mark3 mm5
[u][d][f]( 0.00%, altCassette) | 1.4047 |
| Spg7 mm5
[u][d][f]( 0.00%, alt3Prime) | 1.4013 |
| AK122326 mm5
[u][d][f]( 0.00%, altCassette) | 1.4007 |
| BC055334 mm5
[u][d][f]( 0.00%, altTxStart) | -1.3976 |
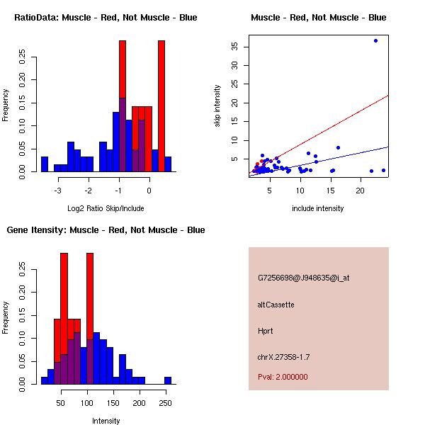
| Hprt mm5
[u][d][f]( 0.00%, altCassette) | 1.3961 |
| Pdk2 mm5
[u][d][f]( 0.00%, altCassette) | -1.3955 |
| AI314180 mm5
[u][d][f]( 0.00%, altTxStart) | 1.3900 |
| Fgd4 mm5
[u][d][f]( 0.00%, altTxStart) | 1.3862 |
| Cept1 mm5
[u][d][f]( 0.00%, altMutEx) | 1.3741 |
| Mapk14 mm5
[u][d][f]( 0.00%, altTxEnd) | 1.3715 |
| Sdcbp mm5
[u][d][f]( 0.00%, altTxEnd) | -1.3631 |
| BC060265 mm5
[u][d][f]( 0.00%, altCassette) | 1.3381 |
| A030012M09Rik mm5
[u][d][f]( 0.00%, altTxEnd) | 1.3324 |
| Bag1 mm5
[u][d][f]( 0.00%, altTxStart) | 1.3323 |
| Raf1 mm5
[u][d][f]( 0.00%, altTxStart) | 1.3273 |
| 4933435E07Rik mm5
[u][d][f]( 0.00%, altTxEnd) | 1.3215 |
| BC051169 mm5
[u][d][f]( 0.00%, alt5Prime) | 1.3185 |
| Stk11 mm5
[u][d][f]( 0.00%, altTxEnd) | 1.3142 |
| Stk11 mm5
[u][d][f]( 0.00%, altTxEnd) | 1.3142 |
| B230207H15Rik mm5
[u][d][f]( 0.00%, altTxEnd) | -1.3069 |
| B230207H15Rik mm5
[u][d][f]( 0.00%, altTxEnd) | -1.3069 |
| B230207H15Rik mm5
[u][d][f]( 0.00%, altTxEnd) | -1.3069 |
| Mtch1 mm5
[u][d][f]( 0.00%, alt5Prime) | 1.3052 |
| Rgs5 mm5
[u][d][f]( 0.00%, altTxEnd) | 1.2975 |
| 1700034P14Rik mm5
[u][d][f]( 7.50%, altCassette) | 1.2964 |
| Tmod1 mm5
[u][d][f]( 0.00%, altTxStart) | 1.2944 |
| Slc25a11 mm5
[u][d][f]( 0.00%, altTxStart) | 1.2933 |
| Slc25a11 mm5
[u][d][f]( 0.00%, altTxStart) | 1.2933 |
| 0910001K20Rik mm2
[u][d][f]( 0.00%, altMutEx) | 1.2916 |
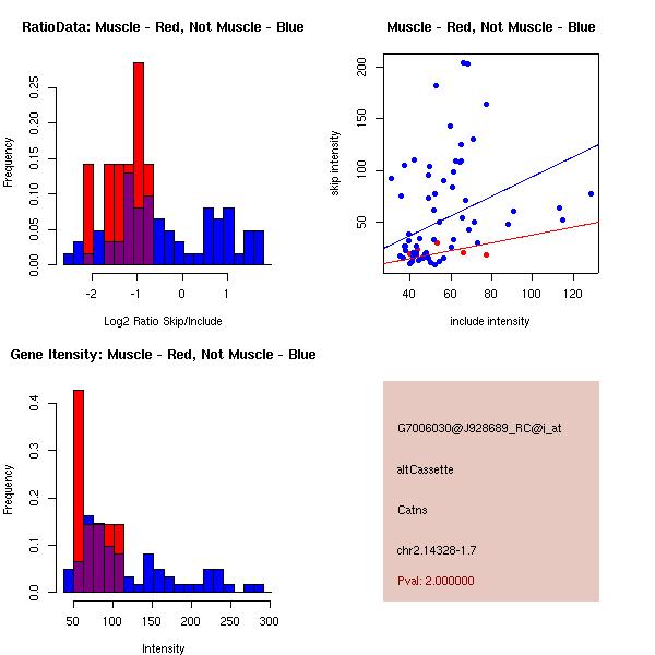
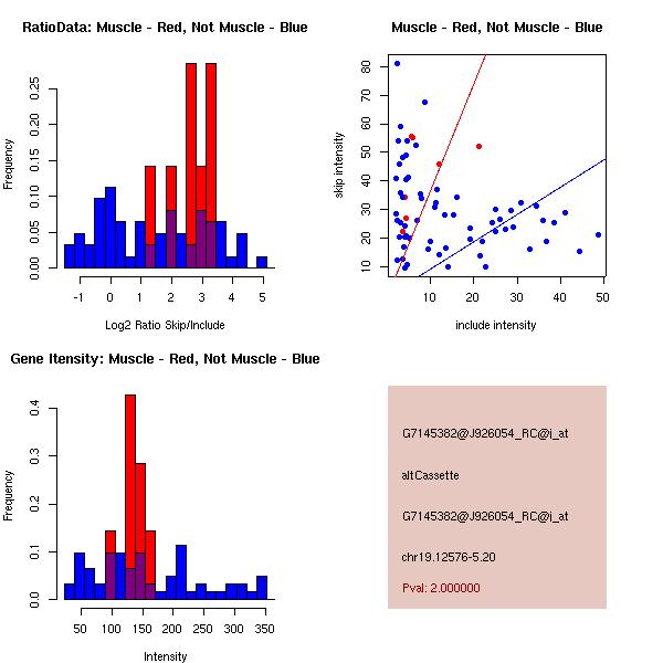
| Catns mm5
[u][d][f](22.50%, altCassette) | -1.2908 |
| D530020C15Rik mm5
[u][d][f]( 0.00%, altCassette) | -1.2819 |
| Mknk2 mm5
[u][d][f]( 0.00%, altTxStart) | 1.2806 |
| Ndufa10 mm5
[u][d][f]( 0.00%, altTxStart) | 1.2765 |
| Add3 mm5
[u][d][f](26.50%, altCassette) | 1.2694 |
| Dnajb5 mm5
[u][d][f](63.50%, altCassette) | 1.2651 |
| Ogt mm5
[u][d][f]( 0.00%, alt3Prime) | -1.2639 |
| AK031374 mm5
[u][d][f]( 0.00%, altCassette) | 1.2593 |
| Srrm1 mm5
[u][d][f](100.00%, altCassette) | 1.2584 |
| Dtna mm5
[u][d][f]( 0.00%, altTxEnd) | 1.2559 |
| Uqcrc1 mm5
[u][d][f]( 0.00%, altCassette) | -1.2559 |
| 1190006E07Rik mm5
[u][d][f]( 0.00%, altCassette) | -1.2505 |
| Slc25a26 mm5
[u][d][f]( 0.00%, alt5Prime) | 1.2458 |
| Suclg1 mm5
[u][d][f]( 0.00%, altMutEx) | -1.2340 |
| Lamp2 mm5
[u][d][f]( 0.00%, altTxEnd) | 1.2294 |
| C4 mm5
[u][d][f]( 0.00%, altCassette) | 1.2250 |
| Suclg1 mm5
[u][d][f]( 0.00%, altCassette) | 1.2217 |
| Rsn mm5
[u][d][f]( 0.00%, alt5Prime) | -1.2216 |
| Actr10 mm5
[u][d][f]( 0.00%, altCassette) | 1.2190 |
| Syngr1 mm5
[u][d][f]( 0.00%, altTxEnd) | -1.2179 |
| Syngr1 mm5
[u][d][f]( 0.00%, altTxEnd) | -1.2179 |
| Tlk1 mm5
[u][d][f]( 0.00%, altCassette) | 1.2036 |
| D530020C15Rik mm5
[u][d][f]( 0.00%, altTxEnd) | 1.2008 |
| Mobk1b mm5
[u][d][f]( 0.00%, altMutEx) | 1.1991 |
| Sel1h mm5
[u][d][f]( 0.00%, alt5Prime) | -1.1930 |
| 2610036N15Rik mm5
[u][d][f]( 0.00%, altTxStart) | 1.1901 |
| 2610036N15Rik mm5
[u][d][f]( 0.00%, altTxStart) | 1.1901 |
| 2610036N15Rik mm5
[u][d][f]( 0.00%, altTxStart) | 1.1901 |
| Idh3b mm5
[u][d][f]( 0.00%, alt3Prime) | -1.1857 |
| Dgkz mm5
[u][d][f]( 0.00%, altTxStart) | -1.1830 |
| Cops3 mm5
[u][d][f]( 0.00%, alt3Prime) | 1.1690 |
| Mrps28 mm5
[u][d][f]( 0.00%, altTxStart) | 1.1612 |
| L76193 mm5
[u][d][f]( 0.00%, altCassette) | 1.1587 |
| G7077638_a_at mm5
[u][d][f]( 0.00%, altCassette) | 1.1586 |
| Fbxw1b mm5
[u][d][f]( 0.00%, altMutEx) | 1.1460 |
| Ubqln1 mm5
[u][d][f]( 0.00%, altTxStart) | 1.1442 |
| Srebf1 mm5
[u][d][f]( 0.00%, alt5Prime) | 1.1415 |
| BC009659 mm5
[u][d][f]( 0.00%, altTxStart) | 1.1413 |
| Dppa3 mm5
[u][d][f]( 0.00%, altTxStart) | -1.1373 |
| Kif21a mm5
[u][d][f]( 0.00%, altCassette) | -1.1354 |
| Mrpl15 mm5
[u][d][f]( 0.00%, altCassette) | -1.1345 |
| Uqcrc2 mm5
[u][d][f]( 0.00%, altCassette) | -1.1339 |
| Sca2 mm5
[u][d][f]( 0.00%, alt5Prime) | -1.1315 |
| Ndufa5 mm5
[u][d][f]( 0.00%, altTxStart) | -1.1225 |
| 1110011D13Rik mm5
[u][d][f]( 0.00%, altTxStart) | 1.1158 |
| Ndufs7 mm5
[u][d][f]( 0.00%, altTxEnd) | 1.1124 |
| Ndufs7 mm5
[u][d][f]( 0.00%, altTxEnd) | 1.1124 |
| Svil mm5
[u][d][f]( 0.00%, altCassette) | -1.1086 |
| Rhot2 mm5
[u][d][f]( 0.00%, altCassette) | -1.1076 |
| Tex261 mm5
[u][d][f]( 0.00%, altTxStart) | 1.1052 |
| D17Wsu155e mm5
[u][d][f]( 0.00%, altTxStart) | 1.0991 |
| BC046514 mm5
[u][d][f](50.00%, altCassette) | 1.0965 |
| AI256456 mm2
[u][d][f]( 0.00%, altTxStart) | 1.0954 |
| Parvb mm5
[u][d][f]( 0.00%, altTxStart) | 1.0944 |
| Parvb mm5
[u][d][f]( 0.00%, altTxStart) | 1.0944 |
| Tacc2 mm5
[u][d][f]( 0.00%, altTxEnd) | 1.0923 |
| Tial1 mm5
[u][d][f]( 0.00%, alt3Prime) | -1.0888 |
| 2410166I05Rik mm5
[u][d][f]( 0.00%, altTxStart) | 1.0860 |
| G7019434_a_at mm5
[u][d][f]( 0.00%, alt5Prime) | 1.0841 |
| Cox4i1 mm5
[u][d][f]( 0.00%, altCassette) | 1.0833 |
| Hipk2 mm5
[u][d][f]( 0.00%, altTxStart) | 1.0776 |
| Actn4 mm5
[u][d][f]( 0.00%, altTxStart) | -1.0723 |
| Wbp2 mm5
[u][d][f](19.00%, altCassette) | -1.0638 |
| Hdlbp mm5
[u][d][f]( 0.00%, altTxStart) | 1.0624 |
| Hdlbp mm5
[u][d][f]( 0.00%, altTxStart) | 1.0624 |
| BC066103 mm5
[u][d][f]( 0.00%, alt5Prime) | 1.0607 |
| BC024662 mm5
[u][d][f]( 0.00%, altTxEnd) | 1.0535 |
| BC003323 mm5
[u][d][f]( 0.00%, altTxStart) | 1.0510 |
| BC048938 mm5
[u][d][f]( 0.00%, altTxStart) | 1.0465 |
| Mapk14 mm5
[u][d][f]( 0.00%, altCassette) | 1.0442 |
| BC048938 mm5
[u][d][f]( 0.00%, altTxEnd) | 1.0334 |
| G6855017_RC_a_at mm5
[u][d][f](26.00%, altCassette) | 1.0327 |
| Rpn1 mm5
[u][d][f]( 0.00%, altCassette) | 1.0267 |
| Synj2 mm5
[u][d][f]( 0.00%, altCassette) | 1.0208 |
| Actn4 mm5
[u][d][f]( 0.00%, alt3Prime) | 1.0176 |
| Ssbp4 mm5
[u][d][f]( 0.00%, altCassette) | 1.0158 |
| Zmynd11 mm5
[u][d][f]( 0.00%, altTxStart) | 1.0136 |
| BC066043 mm5
[u][d][f]( 0.00%, altTxStart) | 1.0091 |
| BC066043 mm5
[u][d][f]( 0.00%, altTxStart) | 1.0091 |
| Atf2 mm5
[u][d][f]( 0.00%, altMutEx) | -1.0013 |
| Ap2b1 mm5
[u][d][f](78.50%, altCassette) | 0.9977 |
| AK008201 mm5
[u][d][f]( 0.00%, altTxEnd) | 0.9886 |
| 2010311D03Rik mm5
[u][d][f]( 0.00%, altCassette) | 0.9885 |
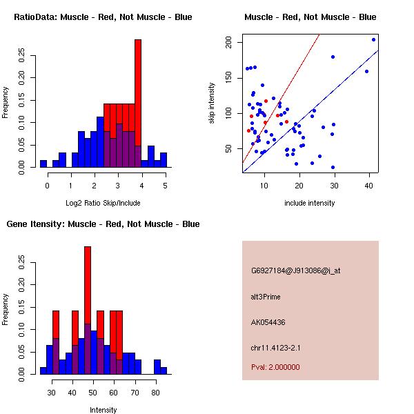
| AK054436 mm5
[u][d][f]( 0.00%, alt3Prime) | 0.9807 |
| Mrps24 mm5
[u][d][f]( 0.00%, altTxStart) | 0.9786 |
| Dhx32 mm5
[u][d][f]( 0.00%, altTxStart) | 0.9785 |
| Dhx32 mm5
[u][d][f]( 0.00%, altTxStart) | 0.9785 |
| Dhx32 mm5
[u][d][f]( 0.00%, altTxStart) | 0.9785 |
| AF133818 mm5
[u][d][f]( 0.00%, altCassette) | 0.9755 |
| Rabep1 mm5
[u][d][f]( 0.00%, altTxEnd) | -0.9724 |
| Fars1 mm5
[u][d][f]( 0.00%, altTxEnd) | -0.9681 |
| Ppp4c mm5
[u][d][f]( 0.00%, altTxEnd) | -0.9620 |
| Mgea6 mm5
[u][d][f]( 0.00%, altCassette) | 0.9616 |
| Grinl1a mm5
[u][d][f]( 0.00%, altTxStart) | 0.9591 |
| Spop mm5
[u][d][f]( 0.00%, altCassette) | 0.9578 |
| 2310022A10Rik mm5
[u][d][f]( 0.00%, altTxEnd) | 0.9573 |
| Gpt1 mm5
[u][d][f]( 0.00%, altMutEx) | 0.9451 |
| 2610103J23Rik mm5
[u][d][f]( 0.00%, alt3Prime) | 0.9437 |
| Capns1 mm5
[u][d][f]( 0.00%, altTxStart) | 0.9378 |
| Thra mm5
[u][d][f]( 0.00%, altTxEnd) | 0.9361 |
| 2210409M21Rik mm5
[u][d][f]( 0.00%, altTxEnd) | 0.9344 |
| Kifap3 mm5
[u][d][f]( 0.00%, altCassette) | 0.9257 |
| Gabarapl1 mm5
[u][d][f]( 0.00%, altTxStart) | -0.9230 |
| Gabarapl1 mm5
[u][d][f]( 0.00%, altTxStart) | -0.9230 |
| Zfpn1a5 mm5
[u][d][f]( 0.00%, altTxStart) | 0.9228 |
| Emd mm5
[u][d][f]( 0.00%, altTxEnd) | 0.9208 |
| S75970 mm5
[u][d][f]( 0.00%, alt5Prime) | 0.9154 |
| Nme1 mm5
[u][d][f]( 0.00%, altCassette) | 0.9061 |
| G7251210_RC_a_at mm5
[u][d][f]( 0.00%, altCassette) | -0.9042 |
| BC044772 mm5
[u][d][f]( 0.00%, altMutEx) | -0.9031 |
| Mtus1 mm5
[u][d][f]( 0.00%, altTxStart) | 0.9026 |
| Mtus1 mm5
[u][d][f]( 0.00%, altTxStart) | 0.9026 |
| Grsf1 mm5
[u][d][f]( 0.00%, altTxStart) | 0.9018 |
| AK129386 mm5
[u][d][f](11.00%, altCassette) | 0.8985 |
| Ptdss2 mm5
[u][d][f]( 0.00%, alt3Prime) | 0.8985 |
| D8Ertd531e mm5
[u][d][f]( 0.00%, altTxEnd) | 0.8830 |
| Tcf12 mm5
[u][d][f]( 0.00%, altCassette) | -0.8819 |
| AK129295 mm5
[u][d][f](56.00%, altCassette) | -0.8727 |
| Wdr1 mm2
[u][d][f]( 0.00%, altTxStart) | 0.8701 |
| Tex27 mm5
[u][d][f]( 0.00%, altTxStart) | 0.8694 |
| BC047531 mm5
[u][d][f]( 0.00%, altCassette) | 0.8682 |
| Luc7l2 mm5
[u][d][f]( 0.00%, altCassette) | -0.8547 |
| BC005469 mm5
[u][d][f]( 0.00%, alt3Prime) | 0.8526 |
| Gdi3 mm5
[u][d][f]( 0.00%, altCassette) | 0.8518 |
| Gstz1 mm5
[u][d][f]( 0.00%, altCassette) | 0.8468 |
| BC058418 mm5
[u][d][f]( 0.00%, altTxStart) | 0.8358 |
| BC058418 mm5
[u][d][f]( 0.00%, altTxStart) | 0.8358 |
| Rhot2 mm5
[u][d][f]( 0.00%, alt3Prime) | -0.8283 |
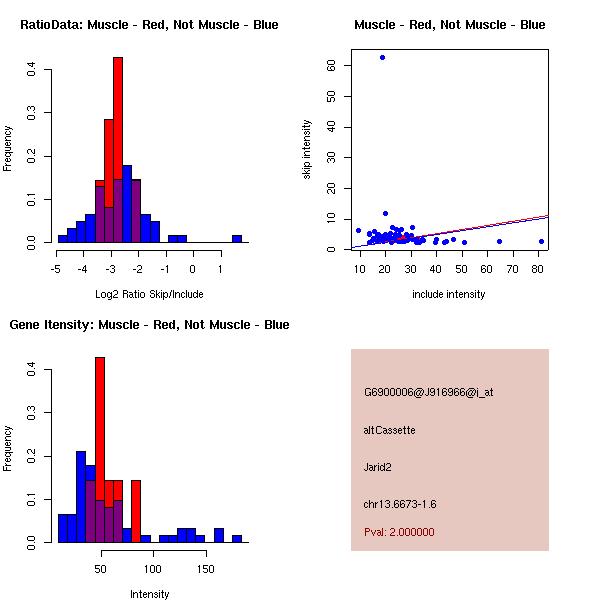
| Jarid2 mm5
[u][d][f]( 0.00%, altCassette) | 0.8244 |
| Mlf2 mm5
[u][d][f]( 0.00%, altMutEx) | 0.8220 |
| H13 mm5
[u][d][f]( 9.50%, altCassette) | 0.8180 |
| BC048905 mm5
[u][d][f]( 0.00%, alt3Prime) | 0.8154 |
| Raly mm5
[u][d][f]( 0.00%, altCassette) | -0.8147 |
| BC023187 mm5
[u][d][f](10.00%, altCassette) | 0.8109 |
| Gtpbp1 mm5
[u][d][f]( 0.00%, altTxStart) | -0.8016 |
| Lims1 mm5
[u][d][f]( 0.00%, alt5Prime) | -0.8006 |
| BC004580 mm5
[u][d][f]( 0.00%, alt3Prime) | -0.7960 |
| Prkaca mm5
[u][d][f]( 0.00%, altTxStart) | 0.7909 |
| AK034323 mm5
[u][d][f]( 0.00%, altTxStart) | 0.7903 |
| Gtpbp1 mm5
[u][d][f]( 0.00%, altTxEnd) | -0.7900 |
| Por mm5
[u][d][f]( 0.00%, altCassette) | 0.7881 |
| Gtf2a2 mm5
[u][d][f]( 0.00%, altCassette) | 0.7861 |
| Ivns1abp mm5
[u][d][f]( 0.00%, altTxEnd) | -0.7848 |
| Bub3 mm5
[u][d][f]( 0.00%, altTxStart) | -0.7815 |
| Gpi1 mm5
[u][d][f]( 0.00%, altTxEnd) | 0.7788 |
| Cast mm5
[u][d][f]( 0.00%, altTxStart) | 0.7788 |
| 2310075G12Rik mm5
[u][d][f]( 0.00%, altCassette) | 0.7781 |
| Rab24 mm5
[u][d][f]( 0.00%, altTxStart) | 0.7737 |
| Lrrfip1 mm5
[u][d][f]( 0.00%, altMutEx) | -0.7499 |
| Sfxn4 mm5
[u][d][f]( 0.00%, alt5Prime) | -0.7492 |
| Senp6 mm5
[u][d][f]( 0.00%, altCassette) | 0.7482 |
| Spg7 mm5
[u][d][f]( 0.00%, altCassette) | -0.7477 |
| Timm44 mm5
[u][d][f]( 0.00%, altCassette) | -0.7464 |
| Whsc1l1 mm5
[u][d][f]( 0.00%, altTxStart) | 0.7442 |
| YWHAE mm5
[u][d][f]( 5.00%, altCassette) | 0.7382 |
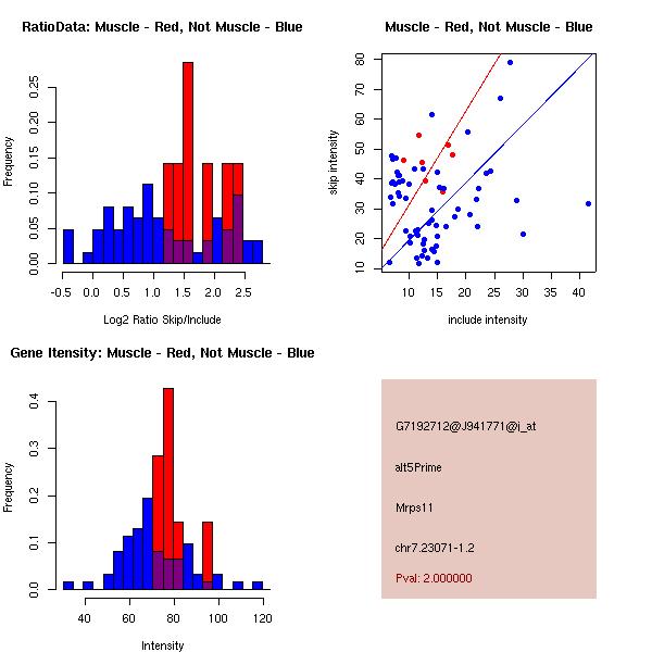
| Mrps11 mm5
[u][d][f]( 0.00%, alt5Prime) | 0.7349 |
| G6945979_RC_a_at mm2
[u][d][f]( 0.00%, altTxStart) | 0.7311 |
| Commd1 mm5
[u][d][f]( 0.00%, altTxStart) | 0.7287 |
| Hip2 mm5
[u][d][f](66.00%, altCassette) | 0.7286 |
| Rapgef1 mm5
[u][d][f](61.00%, altCassette) | 0.7210 |
| Uros mm5
[u][d][f]( 0.00%, altTxStart) | 0.7192 |
| Cox6b mm5
[u][d][f]( 0.00%, altCassette) | -0.7168 |
| AK090138 mm5
[u][d][f]( 0.00%, alt3Prime) | 0.7160 |
| Plod1 mm5
[u][d][f]( 0.00%, altCassette) | 0.7148 |
| G7133846_a_at mm2
[u][d][f]( 0.00%, altTxEnd) | -0.7133 |
| Hsp105 mm5
[u][d][f](53.50%, altCassette) | 0.7125 |
| Atp6ap1 mm5
[u][d][f]( 0.00%, altCassette) | 0.7105 |
| Aldh7a1 mm5
[u][d][f]( 0.00%, altTxStart) | -0.6950 |
| Alas1 mm5
[u][d][f]( 0.00%, altTxStart) | 0.6787 |
| H6pd mm5
[u][d][f]( 0.00%, altTxStart) | 0.6779 |
| C330023M02Rik mm5
[u][d][f]( 0.00%, altTxEnd) | -0.6698 |
| Gstm5 mm5
[u][d][f]( 0.00%, altMutEx) | 0.6610 |
| 9030409E16Rik mm2
[u][d][f]( 0.00%, altTxStart) | -0.6576 |
| AA407526 mm5
[u][d][f]( 0.00%, altTxEnd) | 0.6502 |
| A2lp mm5
[u][d][f]( 0.00%, altTxStart) | -0.6485 |
| A2lp mm5
[u][d][f]( 0.00%, altTxStart) | -0.6485 |
| Ap1b1 mm5
[u][d][f](12.00%, altCassette) | 0.6433 |
| AK080321 mm5
[u][d][f]( 0.00%, altTxStart) | -0.6396 |
| A530088I07Rik mm5
[u][d][f]( 0.00%, altMutEx) | 0.6360 |
| Rbms1 mm5
[u][d][f]( 0.00%, altTxStart) | 0.6051 |
| Atp5d mm5
[u][d][f]( 0.00%, alt3Prime) | -0.6031 |
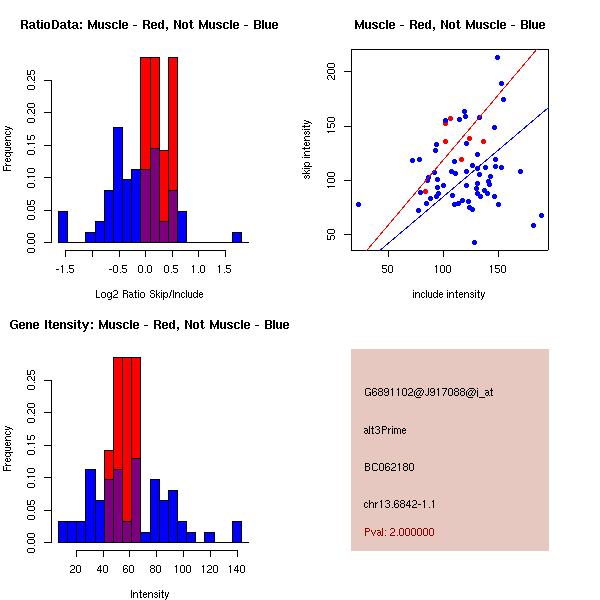
| BC062180 mm5
[u][d][f]( 0.00%, alt3Prime) | 0.5951 |
| Usp4 mm5
[u][d][f]( 8.50%, altCassette) | -0.5846 |
| Hmox2 mm5
[u][d][f]( 0.00%, altTxStart) | 0.5839 |
| Add1 mm5
[u][d][f](30.00%, altCassette) | -0.5680 |
| Eif4el3 mm5
[u][d][f]( 0.00%, altTxEnd) | 0.5657 |
| Pdcd6 mm5
[u][d][f]( 0.00%, alt5Prime) | 0.5587 |
| Tex261 mm5
[u][d][f]( 0.00%, alt5Prime) | 0.5511 |
| Pcyt1a mm2
[u][d][f]( 0.00%, altTxEnd) | 0.5467 |
| 3110038B19Rik mm5
[u][d][f]( 0.00%, altTxStart) | 0.5431 |
| Hbp1 mm5
[u][d][f]( 0.00%, altTxStart) | 0.5361 |
| Mgea5 mm5
[u][d][f]( 0.00%, altTxStart) | -0.5280 |
| Ndufs8 mm5
[u][d][f]( 0.00%, altTxStart) | 0.5248 |
| Nf2 mm5
[u][d][f]( 0.00%, altTxStart) | 0.5175 |
| Phf10 mm5
[u][d][f]( 0.00%, alt3Prime) | 0.5149 |
| AK034075 mm5
[u][d][f]( 0.00%, altCassette) | -0.5025 |
| Pik3r1 mm5
[u][d][f]( 0.00%, altTxStart) | -0.4905 |
| Eif2ak3 mm5
[u][d][f]( 0.00%, altTxEnd) | -0.4676 |
| Eif2ak3 mm5
[u][d][f]( 0.00%, altTxEnd) | -0.4676 |
| Mccc1 mm5
[u][d][f]( 0.00%, altMutEx) | -0.4447 |
| AK052697 mm5
[u][d][f]( 0.00%, altTxEnd) | -0.4400 |
| AK052697 mm5
[u][d][f]( 0.00%, altTxEnd) | -0.4400 |
| Brd2 mm5
[u][d][f]( 0.00%, altCassette) | -0.4275 |
| Psap mm5
[u][d][f]( 0.00%, altTxStart) | 0.4223 |
| Upp2 mm5
[u][d][f]( 0.00%, altTxEnd) | -0.4194 |
| Txnl1 mm5
[u][d][f]( 0.00%, altTxStart) | 0.4126 |
| Txnl1 mm5
[u][d][f]( 0.00%, altTxStart) | 0.4126 |
| Fntb mm2
[u][d][f]( 0.00%, altMutEx) | 0.4123 |
| YWHAG mm5
[u][d][f]( 0.00%, altTxEnd) | 0.4016 |
| Hsp105 mm5
[u][d][f]( 0.00%, altTxStart) | -0.3984 |
| Ndel1 mm5
[u][d][f]( 0.00%, altCassette) | -0.3659 |
| Ppp1r9b mm5
[u][d][f]( 0.00%, altTxStart) | -0.3628 |
| Rbmxrt mm5
[u][d][f]( 0.00%, altTxEnd) | -0.3593 |
| Eef2k mm5
[u][d][f]( 0.00%, altTxStart) | -0.3281 |
| Fliih mm5
[u][d][f]( 0.00%, altTxStart) | 0.2398 |