| Name | Sep |
| Idh3b mm5
[u][d][f]( 0.00%, 0.00000) | 7.0107 |
| G6926528@J913333@j_at mm5
[u][d][f]( 0.00%, 0.00000) | 6.1103 |
| Mfn2 mm5
[u][d][f]( 0.00%, 0.00067) | -5.2621 |
| Kif1b mm5
[u][d][f]( 0.00%, 0.00067) | 4.3076 |
| Slc25a3 mm5
[u][d][f](27.00%, 0.00000) | -4.2953 |
| Mpp6 mm5
[u][d][f]( 0.00%, 0.00000) | -3.9407 |
| Fxr1h mm5
[u][d][f]( 0.00%, 0.00000) | -3.6760 |
| Azi2 mm5
[u][d][f]( 0.00%, 0.00000) | -3.6731 |
| AF340029 mm5
[u][d][f](58.50%, 0.00000) | -3.5037 |
| Tpm1 mm5
[u][d][f](45.50%, 0.00000) | -3.2443 |
| Capzb mm5
[u][d][f](39.50%, 0.00067) | -3.1033 |
| Camk2g mm5
[u][d][f]( 0.00%, 0.00033) | 2.7684 |
| AK122487 mm5
[u][d][f]( 0.00%, 0.00000) | -2.5614 |
| AK017507 mm5
[u][d][f](26.50%, 0.00000) | 2.2370 |
| Mbnl1 mm5
[u][d][f](80.50%, 0.00067) | 2.2084 |
| Phkb mm5
[u][d][f]( 0.00%, 0.00000) | 2.1807 |
| Vldlr mm5
[u][d][f](40.50%, 0.00000) | -2.1448 |
| Smtn mm5
[u][d][f](17.00%, 0.00000) | -2.1278 |
| AK122487 mm5
[u][d][f](48.00%, 0.00000) | -1.9353 |
| Zfp106 mm5
[u][d][f]( 3.00%, 0.00000) | -1.8350 |
| Fxyd1 mm5
[u][d][f]( 0.00%, 0.00000) | -1.6877 |
| Immt mm5
[u][d][f]( 0.00%, 0.00000) | -1.6535 |
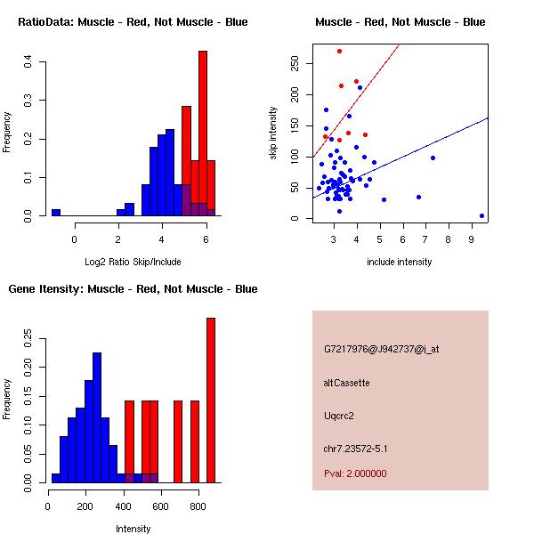
| Uqcrc2 mm5
[u][d][f]( 0.00%, 0.00067) | 1.5713 |
| Nkiras1 mm5
[u][d][f]( 0.00%, 0.00033) | -1.4082 |
| Nfix mm5
[u][d][f]( 0.00%, 0.00000) | 1.3710 |
| 1700034P14Rik mm5
[u][d][f]( 7.50%, 0.00033) | 1.2901 |
| Dnajb5 mm5
[u][d][f](63.50%, 0.00067) | 1.2481 |
| Svil mm5
[u][d][f]( 0.00%, 0.00033) | -1.1363 |
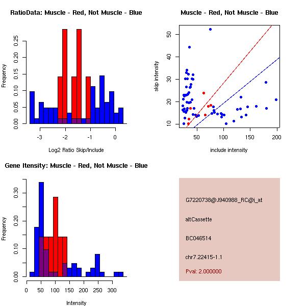
| BC046514 mm5
[u][d][f](50.00%, 0.00033) | 1.0799 |
| Cox4i1 mm5
[u][d][f]( 0.00%, 0.00000) | 1.0746 |
| Ssbp4 mm5
[u][d][f]( 0.00%, 0.00067) | 0.9744 |
| Spg7 mm5
[u][d][f]( 0.00%, 0.00000) | -0.7464 |
| Plod1 mm5
[u][d][f]( 0.00%, 0.00000) | 0.7236 |