| Name | Sep |
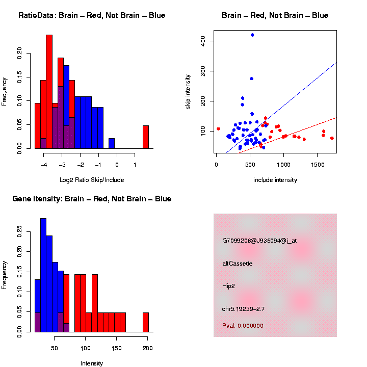
| Mfn2 mm5
[u][d][f]( 0.00, altCassette, 83, 2) | 6.3888 |
| Cacna2d1 mm5
[u][d][f]( 0.96, altCassette, 21, 0) | -5.5791 |
| Cacna2d1 mm5
[u][d][f]( 0.00, altCassette, 57, 0) | 5.4599 |
| App mm5
[u][d][f]( 0.49, altCassette, 168, 0) | 5.1718 |
| Ndrg2 mm5
[u][d][f]( 0.00, altCassette, 42, 0) | 4.9973 |
| Atp6v0a1 mm5
[u][d][f]( 0.00, altCassette, 18, 0) | -4.6495 |
| Bcas1 mm5
[u][d][f]( 0.00, altCassette, 138, 0) | -4.6250 |
| Aplp2 mm5
[u][d][f]( 0.96, altCassette, 36, 0) | -4.5001 |
| Vldlr mm5
[u][d][f]( 0.00, altCassette, 84, 0) | 4.2668 |
| Syngr1 mm5
[u][d][f]( 0.00, altTxStart, 167, 2) | 4.2486 |
| BC027791 mm5
[u][d][f]( 0.00, altCassette, 15, 0) | -4.2471 |
| Slc22a17 mm5
[u][d][f]( 0.60, altCassette, 41, 2) | -4.2391 |
| Acdc mm5
[u][d][f]( 0.00, altTxStart, 79, 1) | -4.1695 |
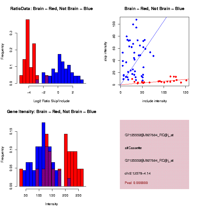
| G7125552_RC_a_at mm5
[u][d][f]( 0.00, altCassette, 15, 0) | -4.1570 |
| Car3 mm5
[u][d][f]( 0.00, altCassette, 156, 0) | 3.9998 |
| Cpe mm5
[u][d][f]( 0.00, altTxStart, 376, 1) | 3.9978 |
| Epb4.1l3 mm5
[u][d][f]( 0.41, altCassette, 117, 0) | -3.9751 |
| Schip1 mm5
[u][d][f]( 0.00, altTxStart, 209, 2) | 3.6447 |
| Slc25a3 mm5
[u][d][f]( 0.27, altCassette, 125, 2) | 3.5636 |
| Kif1b mm5
[u][d][f]( 0.00, altCassette, 18, 0) | -3.5246 |
| Dcn mm5
[u][d][f]( 0.00, altTxStart, 188, 2) | -3.4420 |
| Rab15 mm5
[u][d][f]( 0.00, altTxStart, 47, 2) | 3.4123 |
| AF340029 mm5
[u][d][f]( 0.59, altCassette, 67, 1) | -3.3943 |
| Syngr1 mm5
[u][d][f]( 0.00, altTxEnd, 266, 2) | 3.2802 |
| Syngr1 mm5
[u][d][f]( 0.00, altTxEnd, 406, 1) | 3.3322 |
| Gnas mm5
[u][d][f]( 0.00, altCassette, 45, 0) | -3.3298 |
| Eif4a2 mm5
[u][d][f]( 0.85, altCassette, 111, 0) | 3.2186 |
| Rap1gds1 mm5
[u][d][f]( 0.56, altCassette, 147, 0) | 3.2109 |
| Bcas1 mm2
[u][d][f]( 0.00, altTxStart, 977, 2) | 3.2100 |
| D130074J02Rik mm5
[u][d][f]( 0.00, altTxEnd, 242, 2) | 3.0683 |
| Eif4a2 mm5
[u][d][f]( 0.00, altTxEnd, 882, 0) | 2.9796 |
| Ank3 mm5
[u][d][f]( 0.65, altCassette, 27, 0) | -2.9609 |
| Dncic2 mm5
[u][d][f]( 0.66, altCassette, 60, 0) | -2.9363 |
| Bin1 mm5
[u][d][f]( 0.00, altCassette, 129, 0) | -2.9164 |
| Snca mm5
[u][d][f]( 0.00, altTxStart, 175, 1) | 2.8894 |
| G7094107_RC_a_at mm5
[u][d][f]( 0.00, altCassette, 33, 0) | -2.8581 |
| Dgkz mm5
[u][d][f]( 0.00, altTxStart, 158, 2) | 2.8445 |
| Pacsin2 mm5
[u][d][f]( 0.22, altCassette, 123, 0) | 2.8344 |
| BC062957 mm5
[u][d][f]( 0.00, altTxEnd, 460, 1) | -2.8068 |
| 4921528E07Rik mm5
[u][d][f]( 0.00, altCassette, 84, 0) | 2.7610 |
| Ii mm5
[u][d][f]( 0.00, altTxEnd, 101, 2) | -2.7499 |
| Abcc5 mm5
[u][d][f]( 0.00, altTxStart, 97, 1) | 2.7261 |
| Grcc3f mm5
[u][d][f]( 0.00, altCassette, 107, 2) | 2.7085 |
| Trim2 mm5
[u][d][f]( 0.00, altTxStart, 389, 2) | 2.7028 |
| Ppp1r9b mm5
[u][d][f]( 0.00, altCassette, 104, 2) | 2.6315 |
| G6872891_a_at mm5
[u][d][f]( 0.00, altCassette, 158, 2) | 2.6267 |
| AK034496 mm5
[u][d][f]( 0.00, altTxStart, 204, 0) | 2.0403 |
| AK034496 mm5
[u][d][f]( 0.00, altTxStart, 390, 0) | 2.6080 |
| Pkia mm5
[u][d][f]( 0.00, altTxStart, 40, 1) | 2.5646 |
| Nkiras1 mm5
[u][d][f]( 0.00, altCassette, 258, 0) | 2.5534 |
| Enpp2 mm5
[u][d][f]( 0.00, altTxStart, 335, 2) | 2.5461 |
| Immt mm5
[u][d][f]( 0.00, altCassette, 96, 0) | -2.4805 |
| 4632412I24Rik mm5
[u][d][f]( 0.00, altTxEnd, 232, 1) | -2.4764 |
| D10Ertd610e mm5
[u][d][f]( 0.00, altTxStart, 259, 1) | 2.4608 |
| AA536749 mm5
[u][d][f]( 0.00, altCassette, 66, 0) | 2.4568 |
| BC056199 mm5
[u][d][f]( 0.00, altCassette, 106, 1) | -2.4305 |
| Epb4.1l3 mm5
[u][d][f]( 0.00, altCassette, 123, 0) | -2.4269 |
| Actr1b mm5
[u][d][f]( 0.00, altTxStart, 66, 0) | 2.4203 |
| Reps1 mm5
[u][d][f]( 0.96, altCassette, 81, 0) | -2.3883 |
| Adfp mm2
[u][d][f]( 0.00, altTxStart, 348, 0) | -2.3717 |
| Pcbp4 mm5
[u][d][f]( 0.00, altTxEnd, 170, 2) | -2.3655 |
| AK011541 mm5
[u][d][f]( 0.00, altCassette, 110, 2) | 2.3629 |
| BC024804 mm5
[u][d][f]( 0.00, altTxStart, 448, 1) | 2.3362 |
| BC024804 mm5
[u][d][f]( 0.00, altTxStart, 448, 1) | 2.3362 |
| G7081441_RC_a_at mm5
[u][d][f]( 0.00, altTxEnd, 1019, 2) | 2.3298 |
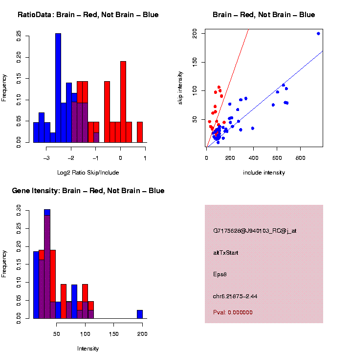
| Ogt mm5
[u][d][f]( 0.00, alt3Prime, 30, 0) | 2.3264 |
| Madd mm5
[u][d][f]( 0.00, altCassette, 63, 0) | -2.3080 |
| Azi2 mm5
[u][d][f]( 0.00, altCassette, 47, 2) | 2.3075 |
| Bgn mm5
[u][d][f]( 0.00, altCassette, 64, 1) | -2.2691 |
| Mef2d mm5
[u][d][f]( 0.00, altMutEx, 3, 0) | -2.2691 |
| AK007688 mm5
[u][d][f]( 0.00, altTxStart, 498, 0) | 2.2392 |
| Fnbp3 mm5
[u][d][f]( 0.89, altCassette, 54, 0) | 2.2327 |
| Myst2 mm5
[u][d][f]( 0.49, altCassette, 90, 0) | 2.2263 |
| Clstn1 mm5
[u][d][f]( 0.00, altCassette, 57, 0) | -2.2209 |
| AK079086 mm5
[u][d][f]( 0.00, altTxEnd, 32, 2) | -2.2149 |
| Pbx1 mm5
[u][d][f]( 0.71, altCassette, 113, 2) | -2.1875 |
| Lysal1 mm5
[u][d][f]( 0.00, alt5Prime, 24, 0) | 2.1855 |
| 1110063G11Rik mm5
[u][d][f]( 0.00, altTxStart, 182, 2) | 2.7446 |
| 1110063G11Rik mm5
[u][d][f]( 0.00, altTxStart, 241, 1) | 2.7824 |
| 1110063G11Rik mm5
[u][d][f]( 0.00, altTxStart, 819, 0) | 2.1774 |
| Arf3 mm5
[u][d][f]( 0.00, altCassette, 237, 0) | -2.1570 |
| Dctn6 mm5
[u][d][f]( 0.00, altTxStart, 219, 0) | 2.1498 |
| Atp9a mm2
[u][d][f]( 0.00, altTxStart, 202, 1) | 1.5474 |
| Atp9a mm5
[u][d][f]( 0.00, altTxStart, 216, 0) | 2.1471 |
| Rpn2 mm2
[u][d][f]( 0.00, altCassette, 48, 0) | -2.1414 |
| Mfge8 mm5
[u][d][f]( 0.00, altCassette, 111, 0) | 2.1157 |
| 3110052N05Rik mm2
[u][d][f]( 0.00, altTxStart, 49, 1) | 1.6246 |
| 3110052N05Rik mm5
[u][d][f]( 0.00, altTxStart, 120, 0) | 2.0956 |
| BC037661 mm5
[u][d][f]( 0.39, altCassette, 189, 0) | -2.0937 |
| Atp6v1h mm5
[u][d][f]( 0.00, altCassette, 54, 0) | 2.0743 |
| Ppp5c mm5
[u][d][f]( 0.23, altCassette, 242, 2) | -2.0585 |
| Scg3 mm5
[u][d][f]( 0.00, alt5Prime, 15, 0) | 2.0500 |
| AF133818 mm5
[u][d][f]( 0.00, altCassette, 109, 1) | -2.0464 |
| BC036286 mm5
[u][d][f]( 0.00, altTxEnd, 103, 1) | 2.0396 |
| Pi4k2a mm5
[u][d][f]( 0.00, altTxEnd, 619, 1) | 2.0253 |
| Kif2a mm5
[u][d][f]( 0.00, altTxStart, 384, 0) | 2.0102 |
| AF424697 mm2
[u][d][f]( 0.00, altTxStart, 242, 2) | 1.9991 |
| AK076170 mm5
[u][d][f]( 0.00, altTxStart, 385, 1) | 1.9985 |
| Fgfr1 mm5
[u][d][f]( 0.18, altCassette, 267, 0) | -1.9953 |
| Sept7 mm5
[u][d][f]( 0.00, altTxStart, 147, 0) | 1.0261 |
| Sept7 mm5
[u][d][f]( 0.00, altTxStart, 673, 1) | 1.9880 |
| D13903 mm5
[u][d][f]( 0.00, altTxStart, 132, 0) | 1.9871 |
| Scoc mm5
[u][d][f]( 0.00, altTxStart, 126, 0) | 1.9858 |
| Gcn5l2 mm5
[u][d][f]( 0.00, alt5Prime, 195, 0) | 1.9850 |
| Hipk3 mm5
[u][d][f]( 0.00, altTxStart, 135, 0) | 1.9557 |
| Camk2d mm5
[u][d][f]( 0.00, altCassette, 89, 2) | 1.9504 |
| Eps15 mm5
[u][d][f]( 0.27, altCassette, 182, 2) | -1.9497 |
| Zfp397 mm5
[u][d][f]( 0.00, altTxStart, 124, 1) | 1.9194 |
| D18Wsu98e mm5
[u][d][f]( 0.00, altTxEnd, 44, 2) | 1.9081 |
| Stk2 mm5
[u][d][f]( 0.50, altCassette, 93, 0) | 1.9033 |
| G7029640_RC_a_at mm5
[u][d][f]( 0.00, altTxStart, 105, 0) | 1.8729 |
| D630045E04Rik mm5
[u][d][f]( 0.00, altTxEnd, 166, 1) | 1.8684 |
| Csda mm5
[u][d][f]( 0.79, altCassette, 207, 0) | -1.8555 |
| 5230400G24Rik mm5
[u][d][f]( 0.40, altCassette, 159, 0) | -1.8419 |
| 1200013P24Rik mm5
[u][d][f]( 0.00, altCassette, 125, 2) | 1.8394 |
| BC058645 mm5
[u][d][f]( 0.00, altCassette, 154, 1) | 1.8389 |
| Pqbp1 mm5
[u][d][f]( 0.00, altTxStart, 50, 2) | 0.9986 |
| Pqbp1 mm5
[u][d][f]( 0.00, altTxStart, 63, 0) | 1.8174 |
| 6330583M11Rik mm5
[u][d][f]( 0.00, altCassette, 41, 2) | 1.8094 |
| Ddx24 mm5
[u][d][f]( 0.00, altTxStart, 245, 2) | 1.7988 |
| Cask mm5
[u][d][f]( 0.99, altCassette, 69, 0) | -1.7873 |
| Hsp105 mm5
[u][d][f]( 0.00, altTxStart, 122, 2) | 1.7763 |
| C330023F11Rik mm5
[u][d][f]( 0.00, altCassette, 57, 0) | -1.7716 |
| Usp5 mm5
[u][d][f]( 0.00, alt5Prime, 69, 0) | -1.7616 |
| AK122326 mm5
[u][d][f]( 0.00, altCassette, 107, 2) | 1.7613 |
| Dnajc5 mm5
[u][d][f]( 0.00, altCassette, 53, 2) | 1.7595 |
| Map2k4 mm5
[u][d][f]( 0.97, altCassette, 33, 0) | -1.7493 |
| Fgd4 mm5
[u][d][f]( 0.00, altTxStart, 252, 0) | 1.7477 |
| Rbx1 mm5
[u][d][f]( 0.00, altTxStart, 44, 2) | 1.7323 |
| AK031374 mm5
[u][d][f]( 0.00, altCassette, 108, 0) | 1.7293 |
| Btbd9 mm5
[u][d][f]( 0.04, altCassette, 212, 2) | -1.7266 |
| Dpm1 mm5
[u][d][f]( 0.00, altCassette, 69, 0) | 1.7249 |
| AF188124 mm5
[u][d][f]( 0.53, altCassette, 96, 0) | -1.7209 |
| Wbp2 mm5
[u][d][f]( 0.19, altCassette, 135, 0) | 1.7135 |
| Psa mm5
[u][d][f]( 0.00, altCassette, 131, 2) | 1.7035 |
| Eif4a2 mm5
[u][d][f]( 0.00, altCassette, 90, 0) | -1.6921 |
| Pfkp mm5
[u][d][f]( 0.00, altCassette, 55, 1) | 1.6919 |
| Eno2 mm5
[u][d][f]( 0.00, altTxStart, 102, 0) | 1.6825 |
| Papola mm5
[u][d][f]( 0.00, altCassette, 63, 0) | 1.6578 |
| Ndel1 mm5
[u][d][f]( 0.00, altTxStart, 65, 2) | 1.6571 |
| Map4k6 mm5
[u][d][f]( 0.72, altCassette, 111, 0) | 1.6382 |
| Kif21a mm5
[u][d][f]( 0.00, altCassette, 108, 0) | 1.6286 |
| AY026253 mm5
[u][d][f]( 0.00, altTxStart, 94, 1) | 1.1333 |
| AY026253 mm5
[u][d][f]( 0.00, altTxStart, 121, 1) | 1.6267 |
| Xdh mm5
[u][d][f]( 0.00, altTxStart, 77, 2) | -1.6241 |
| Ptdss2 mm5
[u][d][f]( 0.00, altCassette, 110, 2) | 1.6235 |
| Gabarapl1 mm5
[u][d][f]( 0.00, altTxStart, 362, 2) | 1.6216 |
| BC019977 mm5
[u][d][f]( 0.68, altCassette, 111, 0) | -1.5934 |
| Thra mm5
[u][d][f]( 0.00, altTxEnd, 120, 0) | 1.5489 |
| Zmynd11 mm5
[u][d][f]( 0.00, altTxStart, 96, 0) | 1.5485 |
| Dpp8 mm5
[u][d][f]( 0.00, altTxStart, 183, 0) | 1.5347 |
| Net1 mm5
[u][d][f]( 0.00, altTxStart, 356, 2) | -1.5284 |
| 2610018L09Rik mm5
[u][d][f]( 0.00, altTxStart, 131, 2) | 1.5206 |
| 4632413K17Rik mm5
[u][d][f]( 0.30, altCassette, 165, 0) | 1.4978 |
| BC026370 mm5
[u][d][f]( 0.00, altCassette, 39, 0) | 1.4932 |
| Dpp9 mm5
[u][d][f]( 0.00, altCassette, 119, 2) | 1.4926 |
| 2810409H07Rik mm5
[u][d][f]( 0.00, altTxStart, 152, 2) | 1.4493 |
| 2810409H07Rik mm5
[u][d][f]( 0.00, altTxStart, 447, 0) | 1.4902 |
| AK014534 mm5
[u][d][f]( 0.00, altTxStart, 225, 0) | 1.4863 |
| BC028256 mm5
[u][d][f]( 0.00, altCassette, 117, 0) | 1.4860 |
| AF459099 mm5
[u][d][f]( 0.30, altCassette, 131, 2) | -1.4777 |
| Arpc1a mm5
[u][d][f]( 0.00, altTxEnd, 133, 1) | 1.4748 |
| Ahsa1 mm5
[u][d][f]( 0.00, altTxStart, 170, 2) | 1.2670 |
| Ahsa1 mm5
[u][d][f]( 0.00, altTxStart, 282, 0) | 1.4658 |
| G6995877_a_at mm5
[u][d][f]( 0.00, altCassette, 67, 1) | -1.4646 |
| Tlk1 mm5
[u][d][f]( 0.00, altCassette, 69, 0) | -1.4584 |
| Nol5a mm5
[u][d][f]( 0.00, altTxEnd, 92, 2) | 1.4577 |
| 4932431F02Rik mm5
[u][d][f]( 0.67, altCassette, 75, 0) | 1.4548 |
| Stxbp2 mm5
[u][d][f]( 0.00, altCassette, 82, 1) | 1.4330 |
| Dgat2 mm5
[u][d][f]( 0.00, altTxStart, 316, 1) | -1.4275 |
| Bzrp mm5
[u][d][f]( 0.00, altTxStart, 62, 2) | -1.4240 |
| BC062928 mm5
[u][d][f]( 0.00, altCassette, 119, 2) | -1.4104 |
| D15Wsu75e mm5
[u][d][f]( 0.00, altCassette, 70, 1) | -1.4100 |
| Map4k6 mm5
[u][d][f]( 0.00, altCassette, 24, 0) | -1.4087 |
| Fyn mm5
[u][d][f]( 0.00, altMutEx, 9, 0) | -1.4079 |
| Ndufs1 mm5
[u][d][f]( 0.00, altTxStart, 198, 0) | 1.4033 |
| Drpla mm5
[u][d][f]( 0.24, altCassette, 144, 0) | -1.3920 |
| Zdhhc3 mm5
[u][d][f]( 0.00, altTxEnd, 569, 2) | 1.3769 |
| Usp15 mm5
[u][d][f]( 0.39, altCassette, 87, 0) | 1.3734 |
| 2010005J08Rik mm5
[u][d][f]( 0.00, altTxStart, 44, 2) | 1.3666 |
| Senp6 mm5
[u][d][f]( 0.00, altCassette, 21, 0) | -1.3609 |
| C330016H24Rik mm5
[u][d][f]( 0.00, altTxStart, 298, 1) | 1.3520 |
| Dlgap4 mm5
[u][d][f]( 0.00, altMutEx, 9, 0) | 1.3483 |
| Catns mm5
[u][d][f]( 0.23, altCassette, 289, 1) | -1.3319 |
| BC011468 mm5
[u][d][f]( 0.00, altTxStart, 57, 0) | 1.3312 |
| Arfgap1 mm5
[u][d][f]( 0.00, altTxEnd, 343, 1) | 1.3290 |
| Anp32a mm5
[u][d][f]( 0.00, altTxStart, 125, 2) | 1.3239 |
| AK129295 mm5
[u][d][f]( 0.00, altTxStart, 270, 0) | 1.3221 |
| Mtch1 mm5
[u][d][f]( 0.00, alt5Prime, 51, 0) | -1.3211 |
| Oxr1 mm5
[u][d][f]( 0.38, altCassette, 81, 0) | -1.3127 |
| AK032084 mm5
[u][d][f]( 0.00, altCassette, 145, 1) | -1.3114 |
| 9030409E16Rik mm5
[u][d][f]( 0.00, altTxStart, 217, 1) | 1.2973 |
| A2lp mm5
[u][d][f]( 0.00, altTxStart, 52, 1) | 1.7552 |
| A2lp mm5
[u][d][f]( 0.00, altTxStart, 465, 0) | 1.2887 |
| Eps8 mm5
[u][d][f]( 0.00, altTxStart, 296, 2) | 1.2861 |
| BC047531 mm5
[u][d][f]( 0.00, altCassette, 116, 2) | -1.2817 |
| BC017520 mm5
[u][d][f]( 0.25, altCassette, 160, 1) | -1.2784 |
| AY427822 mm5
[u][d][f]( 0.00, altCassette, 57, 0) | -1.2637 |
| 2810404F18Rik mm5
[u][d][f]( 0.00, altCassette, 313, 1) | -1.2614 |
| Dnmt1 mm5
[u][d][f]( 0.00, altTxStart, 262, 1) | 1.2197 |
| Dnmt1 mm5
[u][d][f]( 0.00, altTxStart, 768, 0) | 1.2588 |
| Fntb mm2
[u][d][f]( 0.00, altTxEnd, 221, 2) | -1.2350 |
| Pcbp2 mm5
[u][d][f]( 0.85, altCassette, 39, 0) | 1.2310 |
| D17Wsu155e mm5
[u][d][f]( 0.00, altTxStart, 135, 0) | 1.2248 |
| Acin1 mm5
[u][d][f]( 0.00, alt3Prime, 36, 0) | -1.2230 |
| Mbd3 mm5
[u][d][f]( 0.00, altTxStart, 352, 1) | 1.2197 |
| Pscd1 mm5
[u][d][f]( 0.00, altTxStart, 88, 1) | 1.2163 |
| Srr mm5
[u][d][f]( 0.00, altTxStart, 125, 2) | 1.2095 |
| Rnf14 mm5
[u][d][f]( 0.00, altCassette, 110, 2) | 1.2083 |
| Klhdc3 mm5
[u][d][f]( 0.00, altCassette, 153, 0) | -1.2036 |
| Mat2b mm5
[u][d][f]( 0.00, altTxStart, 205, 1) | 1.1948 |
| G7136979_RC_a_at mm5
[u][d][f]( 0.00, altTxStart, 127, 1) | 1.1923 |
| Ncor1 mm5
[u][d][f]( 0.04, altCassette, 141, 0) | 1.1908 |
| G6897510_a_at mm5
[u][d][f]( 0.00, altCassette, 84, 0) | -1.1898 |
| Pex14 mm5
[u][d][f]( 0.00, altCassette, 126, 0) | 1.1883 |
| C330023M02Rik mm5
[u][d][f]( 0.00, altTxEnd, 617, 2) | 1.1657 |
| Lypla2 mm5
[u][d][f]( 0.00, altTxStart, 87, 0) | 1.1577 |
| Atf2 mm5
[u][d][f]( 0.99, altCassette, 97, 1) | -1.1558 |
| Ncoa2 mm5
[u][d][f]( 0.43, altCassette, 207, 0) | -1.1545 |
| 6430601K09Rik mm5
[u][d][f]( 0.00, altTxStart, 121, 1) | 3.3901 |
| 6430601K09Rik mm5
[u][d][f]( 0.00, altTxStart, 175, 1) | 1.1510 |
| Rbbp4 mm5
[u][d][f]( 0.04, altCassette, 148, 1) | -1.1438 |
| Fbxl3a mm5
[u][d][f]( 0.00, altTxStart, 170, 2) | 1.0693 |
| Fbxl3a mm5
[u][d][f]( 0.00, altTxStart, 219, 0) | 1.1339 |
| AI854408 mm5
[u][d][f]( 0.00, altTxEnd, 382, 1) | 1.1315 |
| Hspa4 mm5
[u][d][f]( 0.00, altTxStart, 468, 0) | 1.1268 |
| Pld3 mm5
[u][d][f]( 0.00, altCassette, 143, 2) | -1.1151 |
| 2810404F18Rik mm5
[u][d][f]( 0.00, altCassette, 154, 1) | -1.1090 |
| Nans mm5
[u][d][f]( 0.00, altTxEnd, 1210, 1) | -1.1077 |
| Add1 mm5
[u][d][f]( 0.00, altCassette, 279, 0) | 1.1063 |
| BC061486 mm5
[u][d][f]( 0.00, altTxEnd, 2122, 1) | 1.1032 |
| Fn1 mm5
[u][d][f]( 0.69, altCassette, 273, 0) | -1.0834 |
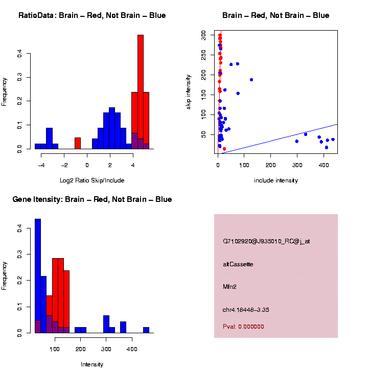
| Hip2 mm5
[u][d][f]( 0.00, altCassette, 83, 2) | -1.0791 |
| BC023143 mm5
[u][d][f]( 0.00, altCassette, 84, 0) | 1.0631 |
| Surf4 mm5
[u][d][f]( 0.00, altCassette, 77, 2) | 1.0547 |
| G7133846_a_at mm2
[u][d][f]( 0.00, altTxEnd, 244, 1) | 1.0454 |
| Myo1c mm5
[u][d][f]( 0.00, altTxStart, 146, 2) | -0.8088 |
| Myo1c mm5
[u][d][f]( 0.00, altTxStart, 210, 0) | -1.0281 |
| Comt mm5
[u][d][f]( 0.00, altCassette, 57, 0) | 1.0272 |
| Ranbp2 mm5
[u][d][f]( 0.00, altTxStart, 165, 0) | 1.0226 |
| Usp5 mm5
[u][d][f]( 0.00, altTxStart, 190, 1) | 1.0204 |
| Kifc3 mm2
[u][d][f]( 0.00, altTxStart, 384, 0) | 1.0180 |
| AK013560 mm5
[u][d][f]( 0.00, altTxStart, 74, 2) | 1.2349 |
| AK013560 mm5
[u][d][f]( 0.00, altTxStart, 176, 2) | 1.0151 |
| AL022610 mm5
[u][d][f]( 0.00, altTxStart, 79, 1) | 1.0091 |
| Fntb mm5
[u][d][f]( 0.00, altTxStart, 266, 2) | 1.0059 |
| Cnot2 mm2
[u][d][f]( 0.00, altTxStart, 183, 0) | 1.0012 |
| Dhrs3 mm5
[u][d][f]( 0.25, altCassette, 120, 0) | 0.9998 |
| Igfbp4 mm5
[u][d][f]( 0.00, altCassette, 135, 0) | 0.9992 |
| BC054358 mm5
[u][d][f]( 0.00, altCassette, 78, 0) | -0.9982 |
| Arcp mm5
[u][d][f]( 0.00, altTxEnd, 274, 1) | 0.9929 |
| Ap3d mm5
[u][d][f]( 0.00, altCassette, 204, 0) | 0.9916 |
| Sars1 mm5
[u][d][f]( 0.00, altCassette, 72, 0) | -0.9819 |
| Tcea2 mm5
[u][d][f]( 0.00, altTxStart, 156, 0) | 0.9957 |
| Tcea2 mm5
[u][d][f]( 0.00, altTxStart, 369, 0) | 0.9722 |
| Usf2 mm5
[u][d][f]( 0.16, altCassette, 201, 0) | -0.9693 |
| Samhd1 mm5
[u][d][f]( 0.00, altCassette, 123, 0) | 0.9645 |
| Brd2 mm5
[u][d][f]( 0.00, altCassette, 92, 2) | 0.9627 |
| Sf3b1 mm5
[u][d][f]( 0.00, altTxStart, 518, 2) | 0.9624 |
| Polg mm5
[u][d][f]( 0.00, altTxStart, 158, 2) | 0.9579 |
| G6898185_a_at mm5
[u][d][f]( 0.00, altTxStart, 98, 2) | 0.9504 |
| Pum1 mm5
[u][d][f]( 0.00, altTxStart, 75, 0) | 1.8622 |
| Pum1 mm5
[u][d][f]( 0.00, altTxStart, 92, 2) | 0.9502 |
| Hnrpd mm5
[u][d][f]( 1.00, altCassette, 107, 2) | 0.9429 |
| Ttc4 mm5
[u][d][f]( 0.00, altTxStart, 177, 0) | 0.9412 |
| BC060501 mm5
[u][d][f]( 0.00, altCassette, 75, 0) | -0.9103 |
| Kctd2 mm5
[u][d][f]( 0.00, altTxEnd, 952, 1) | -0.9082 |
| Ufd1l mm5
[u][d][f]( 0.00, altCassette, 165, 0) | 0.9080 |
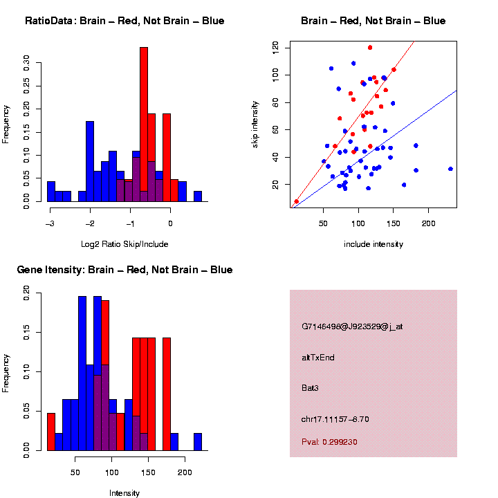
| Bat3 mm5
[u][d][f]( 0.00, altTxEnd, 318, 0) | 0.9015 |
| G7046357_a_at mm5
[u][d][f]( 0.00, altTxStart, 124, 1) | 0.9002 |
| 2010005A06Rik mm5
[u][d][f]( 0.00, altTxStart, 126, 0) | 0.8900 |
| Fkbp8 mm5
[u][d][f]( 0.00, altTxEnd, 584, 2) | 0.8831 |
| Ctbp1 mm5
[u][d][f]( 0.00, altCassette, 193, 1) | -0.8757 |
| BC058682 mm5
[u][d][f]( 0.00, alt5Prime, 48, 0) | -0.8661 |
| G7151644_RC_a_at mm2
[u][d][f]( 0.00, alt5Prime, 150, 0) | -0.8625 |
| Mxi1 mm5
[u][d][f]( 0.00, altTxStart, 134, 2) | 2.0269 |
| Mxi1 mm5
[u][d][f]( 0.00, altTxStart, 139, 1) | 0.8573 |
| Add1 mm5
[u][d][f]( 0.30, altCassette, 87, 0) | -0.8569 |
| G7091230_a_at mm5
[u][d][f]( 0.08, altCassette, 129, 0) | -0.8503 |
| Eif4el3 mm5
[u][d][f]( 0.00, altTxEnd, 253, 1) | 0.9401 |
| Eif4el3 mm5
[u][d][f]( 0.00, altTxEnd, 645, 0) | -0.8471 |
| Mark2 mm2
[u][d][f]( 0.00, altTxStart, 185, 2) | 0.8457 |
| 2310076K21Rik mm5
[u][d][f]( 0.00, altTxStart, 84, 0) | 0.8415 |
| BC008155 mm5
[u][d][f]( 0.00, altTxStart, 44, 2) | 0.8341 |
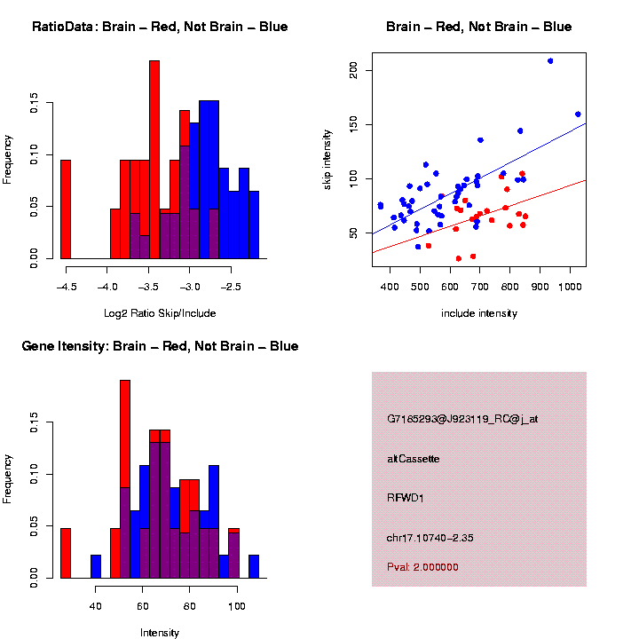
| RFWD1 mm5
[u][d][f]( 0.05, altCassette, 117, 0) | -0.8188 |
| Ash2l mm5
[u][d][f]( 0.00, altTxStart, 186, 0) | 0.7992 |
| Nfe2l2 mm5
[u][d][f]( 0.00, altTxStart, 290, 2) | -0.7982 |
| AK122316 mm5
[u][d][f]( 0.00, altCassette, 135, 0) | -0.7965 |
| Nnp1 mm5
[u][d][f]( 0.00, altCassette, 83, 2) | -0.7533 |
| Dnm1l mm5
[u][d][f]( 0.00, altTxStart, 67, 1) | 2.2327 |
| Dnm1l mm5
[u][d][f]( 0.00, altTxStart, 245, 2) | 0.7485 |
| Hip2 mm5
[u][d][f]( 0.66, altCassette, 94, 1) | -0.7375 |
| Brd4 mm5
[u][d][f]( 0.00, altTxStart, 51, 0) | 0.7307 |
| 1200013I08Rik mm5
[u][d][f]( 0.00, altTxStart, 208, 1) | 0.7246 |
| Tcea1 mm5
[u][d][f]( 0.00, altCassette, 32, 2) | 0.7145 |
| Mea1 mm5
[u][d][f]( 0.00, altTxStart, 72, 0) | 0.6661 |
| Mea1 mm5
[u][d][f]( 0.00, altTxStart, 111, 0) | 0.7088 |
| E430039K05Rik mm5
[u][d][f]( 0.00, altTxStart, 216, 0) | -0.7062 |
| Ddx50 mm5
[u][d][f]( 0.00, altCassette, 110, 2) | 0.7029 |
| Tceb1 mm5
[u][d][f]( 0.00, altTxStart, 79, 1) | -0.6938 |
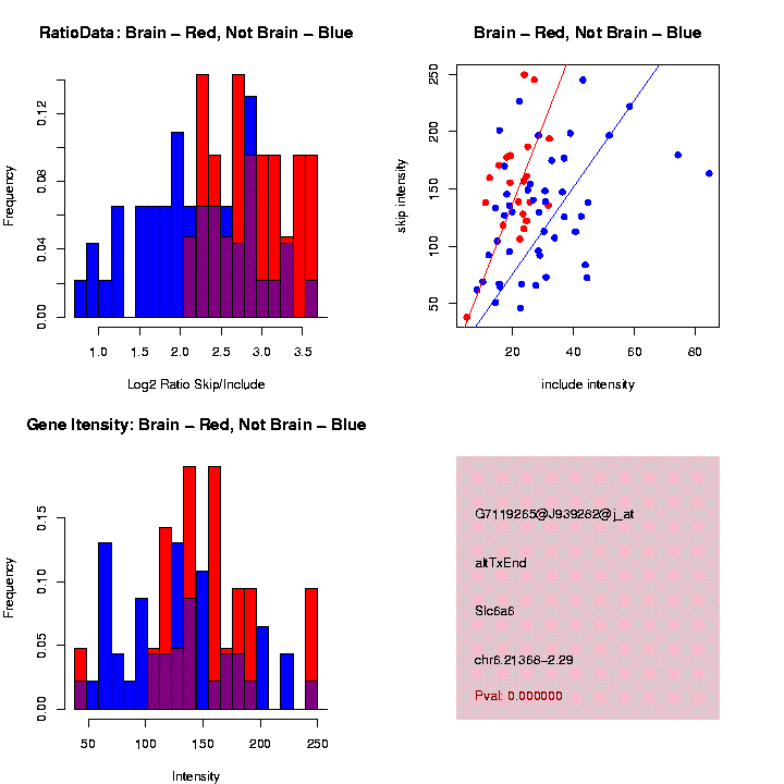
| Slc6a6 mm5
[u][d][f]( 0.00, altTxEnd, 772, 1) | 0.6879 |
| AK032600 mm5
[u][d][f]( 0.00, altTxEnd, 101, 2) | 0.6760 |
| Trim24 mm5
[u][d][f]( 0.00, altTxStart, 654, 0) | 0.6734 |
| AK049359 mm5
[u][d][f]( 0.00, altTxStart, 239, 2) | 1.8014 |
| AK049359 mm5
[u][d][f]( 0.00, altTxStart, 415, 1) | 0.6687 |
| G7097186_RC_a_at mm5
[u][d][f]( 0.00, altTxStart, 121, 1) | 0.6558 |
| BC054358 mm5
[u][d][f]( 0.09, altCassette, 336, 0) | -0.6447 |
| Anp32e mm5
[u][d][f]( 0.00, altTxStart, 362, 2) | 0.6363 |
| G7139746_a_at mm5
[u][d][f]( 0.00, altTxEnd, 307, 1) | 0.6351 |
| Nr3c1 mm5
[u][d][f]( 0.00, altTxStart, 88, 1) | 0.6226 |
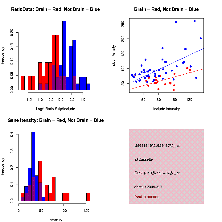
| G6981819_a_at mm5
[u][d][f]( 0.00, altCassette, 290, 2) | -0.5842 |
| Copg mm5
[u][d][f]( 0.00, altCassette, 53, 2) | -0.5686 |
| Gna13 mm2
[u][d][f]( 0.00, altTxEnd, 1774, 1) | 0.5538 |
| YWHAG mm5
[u][d][f]( 0.00, altTxEnd, 831, 0) | -0.5423 |
| Kpnb3 mm5
[u][d][f]( 0.00, altCassette, 81, 0) | -0.5325 |
| Bat1a mm5
[u][d][f]( 0.00, altTxEnd, 225, 0) | -0.5051 |
| Rangap1 mm5
[u][d][f]( 0.00, altTxEnd, 1433, 2) | -0.4965 |
| G430041M01Rik mm5
[u][d][f]( 0.00, alt3Prime, 593, 2) | 0.4695 |
| AK076170 mm5
[u][d][f]( 0.00, altTxEnd, 778, 1) | 0.4421 |
| UBE2G1 mm5
[u][d][f]( 0.00, altTxStart, 400, 1) | 0.4108 |
| Abhd3 mm5
[u][d][f]( 0.00, altTxEnd, 815, 2) | 0.4025 |