| Name | Sep |
| Mfn2 mm5
[u][d][f]( 0.00, altCassette, 83, 2) | 7.0909 |
| Cacna2d1 mm5
[u][d][f]( 0.00, altCassette, 57, 0) | 6.3396 |
| App mm5
[u][d][f]( 0.49, altCassette, 168, 0) | 5.9513 |
| Cacna2d1 mm5
[u][d][f]( 0.96, altCassette, 21, 0) | -5.6855 |
| Ndrg2 mm5
[u][d][f]( 0.00, altCassette, 42, 0) | 5.5146 |
| Atp6v0a1 mm5
[u][d][f]( 0.00, altCassette, 18, 0) | -5.4031 |
| Epb4.1l3 mm5
[u][d][f]( 0.41, altCassette, 117, 0) | -5.3363 |
| Aplp2 mm5
[u][d][f]( 0.96, altCassette, 36, 0) | -4.6848 |
| AF340029 mm5
[u][d][f]( 0.58, altCassette, 84, 0) | 4.6194 |
| BC027791 mm5
[u][d][f]( 0.00, altCassette, 15, 0) | -4.3725 |
| Mapk8ip mm2
[u][d][f]( 0.00, altTxStart, 564, 0) | 4.3483 |
| Ptprk mm5
[u][d][f]( 0.00, altCassette, 36, 0) | -4.2350 |
| Kif1b mm5
[u][d][f]( 0.00, altCassette, 18, 0) | -4.2161 |
| Schip1 mm5
[u][d][f]( 0.00, altTxStart, 244, 1) | -4.1716 |
| G7125552_RC_a_at mm5
[u][d][f]( 0.00, altCassette, 15, 0) | -4.1268 |
| D030028O16Rik mm5
[u][d][f]( 0.00, altCassette, 536, 2) | 3.9991 |
| Slc25a3 mm5
[u][d][f]( 0.27, altCassette, 125, 2) | 3.9645 |
| Cpe mm5
[u][d][f]( 0.00, altTxStart, 376, 1) | 3.8872 |
| Mapk8ip3 mm5
[u][d][f]( 0.00, alt5Prime, 27, 0) | -3.8870 |
| Dncic2 mm5
[u][d][f]( 0.66, altCassette, 60, 0) | -3.7508 |
| Ank3 mm5
[u][d][f]( 0.65, altCassette, 27, 0) | -3.6610 |
| Ablim1 mm5
[u][d][f]( 0.20, altCassette, 141, 0) | 3.6529 |
| Eif4a2 mm5
[u][d][f]( 0.85, altCassette, 111, 0) | 3.5804 |
| Gnas mm5
[u][d][f]( 0.00, altCassette, 45, 0) | -3.5742 |
| 4921528E07Rik mm5
[u][d][f]( 0.00, altCassette, 84, 0) | 3.5491 |
| Mark3 mm5
[u][d][f]( 0.00, altCassette, 27, 0) | 3.4598 |
| Syngr1 mm5
[u][d][f]( 0.00, altTxEnd, 266, 2) | 3.4487 |
| Pacsin2 mm5
[u][d][f]( 0.22, altCassette, 123, 0) | 3.4430 |
| G7094107_RC_a_at mm5
[u][d][f]( 0.00, altCassette, 33, 0) | -3.4057 |
| Kns2 mm5
[u][d][f]( 0.00, altTxEnd, 451, 1) | 3.3663 |
| Slc25a25 mm5
[u][d][f]( 0.00, altTxStart, 257, 2) | 3.3620 |
| Fgfr1 mm5
[u][d][f]( 0.18, altCassette, 267, 0) | -3.3256 |
| Epb4.1l3 mm5
[u][d][f]( 0.00, altCassette, 123, 0) | -3.2996 |
| Eif4a2 mm5
[u][d][f]( 0.00, altTxEnd, 882, 0) | 3.2640 |
| Bin1 mm5
[u][d][f]( 0.00, altCassette, 129, 0) | -3.2355 |
| Vldlr mm5
[u][d][f]( 0.00, altCassette, 84, 0) | 3.1920 |
| Ppp1r9b mm5
[u][d][f]( 0.00, altCassette, 104, 2) | 2.9867 |
| Bclaf1 mm5
[u][d][f]( 0.29, altCassette, 147, 0) | -2.9735 |
| Dgkz mm5
[u][d][f]( 0.00, altTxStart, 158, 2) | 2.9666 |
| Add1 mm5
[u][d][f]( 0.00, alt5Prime, 93, 0) | -2.9588 |
| BC062096 mm5
[u][d][f]( 0.00, altCassette, 70, 1) | -2.9504 |
| Rap1gds1 mm5
[u][d][f]( 0.56, altCassette, 147, 0) | 2.9487 |
| Stk25 mm5
[u][d][f]( 0.00, altTxStart, 89, 2) | 2.9313 |
| Ablim1 mm5
[u][d][f]( 0.00, altTxStart, 175, 1) | 2.9215 |
| AK040750 mm5
[u][d][f]( 0.00, altTxEnd, 1023, 0) | -2.9103 |
| Trim2 mm5
[u][d][f]( 0.00, altTxStart, 389, 2) | 2.9084 |
| Add3 mm5
[u][d][f]( 0.00, altCassette, 62, 2) | 2.9005 |
| Pbx1 mm5
[u][d][f]( 0.71, altCassette, 113, 2) | -2.8773 |
| Mxi1 mm5
[u][d][f]( 0.00, altTxStart, 134, 2) | 2.8604 |
| 3632413B07Rik mm5
[u][d][f]( 0.00, alt5Prime, 156, 0) | -2.8296 |
| Kif2a mm5
[u][d][f]( 0.41, altCassette, 114, 0) | -2.8161 |
| Ogt mm5
[u][d][f]( 0.00, alt3Prime, 30, 0) | 2.8153 |
| Rnf14 mm5
[u][d][f]( 0.77, altCassette, 152, 2) | -2.7690 |
| Fnbp3 mm5
[u][d][f]( 0.89, altCassette, 54, 0) | 2.7670 |
| Clstn1 mm5
[u][d][f]( 0.00, altCassette, 57, 0) | -2.7640 |
| Enpp2 mm5
[u][d][f]( 0.00, altTxStart, 335, 2) | 2.7613 |
| Pja2 mm5
[u][d][f]( 0.00, altCassette, 186, 0) | 2.7402 |
| AA536749 mm5
[u][d][f]( 0.00, altCassette, 66, 0) | 2.7242 |
| Mef2d mm5
[u][d][f]( 0.00, altMutEx, 3, 0) | -2.7182 |
| Btbd9 mm5
[u][d][f]( 0.04, altCassette, 212, 2) | -2.6663 |
| Azi2 mm5
[u][d][f]( 0.00, altCassette, 47, 2) | 2.6661 |
| Baiap1 mm5
[u][d][f]( 1.00, altCassette, 89, 2) | -2.6359 |
| Sdfr1 mm5
[u][d][f]( 0.00, altCassette, 134, 2) | -2.6356 |
| Immt mm5
[u][d][f]( 0.00, altCassette, 96, 0) | -2.6188 |
| Arhgap5 mm5
[u][d][f]( 0.20, altCassette, 145, 1) | -2.6146 |
| 3632413B07Rik mm5
[u][d][f]( 0.00, altCassette, 80, 2) | 2.5736 |
| Kpna1 mm5
[u][d][f]( 0.00, altTxStart, 64, 1) | 2.5668 |
| Epb4.1l3 mm5
[u][d][f]( 0.00, altCassette, 36, 0) | -2.5414 |
| Fnbp3 mm5
[u][d][f]( 0.00, altTxStart, 91, 1) | 2.5186 |
| Dctn6 mm5
[u][d][f]( 0.00, altTxStart, 219, 0) | 2.5062 |
| Camk2g mm5
[u][d][f]( 0.00, altCassette, 33, 0) | -2.4834 |
| Nars mm5
[u][d][f]( 0.00, altCassette, 50, 2) | 2.4806 |
| Lysal1 mm5
[u][d][f]( 0.00, alt5Prime, 24, 0) | 2.4381 |
| Pcbp4 mm5
[u][d][f]( 0.00, altTxEnd, 170, 2) | -2.4210 |
| Stk2 mm5
[u][d][f]( 0.50, altCassette, 93, 0) | 2.4021 |
| Atp9a mm2
[u][d][f]( 0.00, altTxStart, 202, 1) | 1.7076 |
| Atp9a mm5
[u][d][f]( 0.00, altTxStart, 216, 0) | 2.3983 |
| Tcf12 mm5
[u][d][f]( 0.76, altCassette, 72, 0) | -2.3943 |
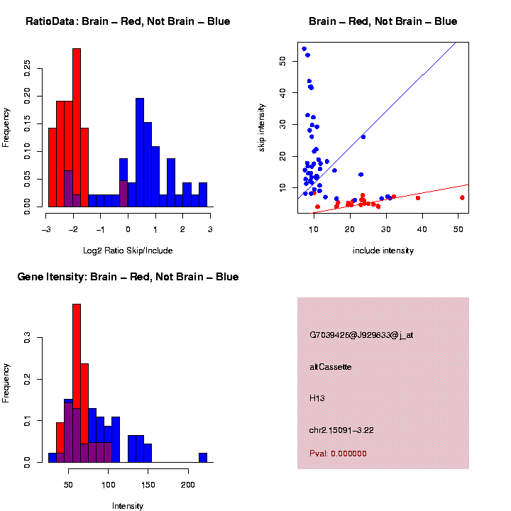
| H13 mm5
[u][d][f]( 0.10, altCassette, 200, 2) | -2.3849 |
| Myst2 mm5
[u][d][f]( 0.49, altCassette, 90, 0) | 2.3564 |
| AK122326 mm5
[u][d][f]( 0.00, altCassette, 107, 2) | 2.3192 |
| Gpsn2 mm5
[u][d][f]( 0.00, altCassette, 52, 1) | -2.3189 |
| BC062928 mm5
[u][d][f]( 0.00, altCassette, 51, 0) | -2.3161 |
| Csda mm5
[u][d][f]( 0.79, altCassette, 207, 0) | -2.3156 |
| 4732496O19Rik mm5
[u][d][f]( 0.66, altCassette, 91, 1) | -2.2902 |
| Mfge8 mm5
[u][d][f]( 0.00, altCassette, 111, 0) | 2.2583 |
| C80879 mm5
[u][d][f]( 0.00, altCassette, 41, 2) | 2.2572 |
| Eps15 mm5
[u][d][f]( 0.27, altCassette, 182, 2) | -2.2280 |
| Camk2d mm5
[u][d][f]( 0.00, altCassette, 89, 2) | 2.2266 |
| 3110052N05Rik mm2
[u][d][f]( 0.00, altTxStart, 49, 1) | 1.6817 |
| 3110052N05Rik mm5
[u][d][f]( 0.00, altTxStart, 120, 0) | 2.2225 |
| Chchd3 mm5
[u][d][f]( 0.00, altCassette, 94, 1) | -2.2083 |
| Sept7 mm5
[u][d][f]( 0.00, altTxStart, 147, 0) | 1.0231 |
| Sept7 mm5
[u][d][f]( 0.00, altTxStart, 673, 1) | 2.1756 |
| 1110063G11Rik mm5
[u][d][f]( 0.00, altTxStart, 241, 1) | 2.1731 |
| Map2k4 mm5
[u][d][f]( 0.97, altCassette, 33, 0) | -2.1692 |
| AK122326 mm5
[u][d][f]( 0.00, altCassette, 90, 0) | -2.1524 |
| Papola mm5
[u][d][f]( 0.00, altCassette, 63, 0) | 2.1499 |
| Mgrn1 mm5
[u][d][f]( 0.00, altCassette, 66, 0) | 2.1406 |
| Eps8 mm5
[u][d][f]( 0.00, altTxStart, 296, 2) | 2.1126 |
| E430034L04Rik mm5
[u][d][f]( 0.00, altTxStart, 210, 0) | 2.1113 |
| AK122487 mm5
[u][d][f]( 0.48, altCassette, 168, 0) | 2.0866 |
| Vldlr mm5
[u][d][f]( 0.41, altCassette, 123, 0) | 2.0765 |
| BC023143 mm5
[u][d][f]( 0.00, altCassette, 84, 0) | 2.0632 |
| Pqbp1 mm5
[u][d][f]( 0.00, altTxStart, 50, 2) | 1.1731 |
| Pqbp1 mm5
[u][d][f]( 0.00, altTxStart, 63, 0) | 2.0580 |
| G6875109_RC_a_at mm5
[u][d][f]( 0.00, altCassette, 24, 0) | -2.0576 |
| AK077133 mm5
[u][d][f]( 0.00, altTxStart, 68, 2) | 2.0498 |
| BC058645 mm5
[u][d][f]( 0.00, altCassette, 154, 1) | 2.0379 |
| Nt5c2 mm5
[u][d][f]( 0.00, altTxStart, 139, 1) | 2.0223 |
| 2310045A20Rik mm2
[u][d][f]( 0.00, altTxStart, 177, 0) | 2.0047 |
| Baiap1 mm2
[u][d][f]( 0.00, altTxStart, 991, 1) | 2.0022 |
| Arf3 mm5
[u][d][f]( 0.00, altCassette, 237, 0) | -1.9962 |
| Kif21a mm5
[u][d][f]( 0.00, altCassette, 108, 0) | 1.9837 |
| 2610018L09Rik mm5
[u][d][f]( 0.00, altTxStart, 131, 2) | 1.9828 |
| Dcn mm5
[u][d][f]( 0.00, altTxStart, 188, 2) | -1.9747 |
| Map4k6 mm5
[u][d][f]( 0.00, altCassette, 24, 0) | -1.9710 |
| Mark3 mm5
[u][d][f]( 0.00, altCassette, 45, 0) | -1.9692 |
| Psa mm5
[u][d][f]( 0.00, altCassette, 131, 2) | 1.9679 |
| Phr1 mm5
[u][d][f]( 0.35, altCassette, 75, 0) | -1.9664 |
| Map4k6 mm5
[u][d][f]( 0.72, altCassette, 111, 0) | 1.9636 |
| Ap3d mm5
[u][d][f]( 0.00, altCassette, 204, 0) | 1.9553 |
| AK078916 mm5
[u][d][f]( 0.00, altCassette, 80, 2) | 1.9459 |
| B830022L21Rik mm5
[u][d][f]( 0.00, altCassette, 102, 0) | 1.9428 |
| Atad1 mm5
[u][d][f]( 0.03, altCassette, 175, 1) | -1.9365 |
| Ttc3 mm5
[u][d][f]( 0.00, altCassette, 43, 1) | 1.9361 |
| Sfrs9 mm5
[u][d][f]( 0.90, altCassette, 79, 1) | -1.9331 |
| BC036286 mm5
[u][d][f]( 0.00, altTxEnd, 103, 1) | 1.9328 |
| BC019977 mm5
[u][d][f]( 0.68, altCassette, 111, 0) | -1.9149 |
| G7125552_RC_a_at mm5
[u][d][f]( 0.84, altCassette, 87, 0) | 1.9067 |
| Dlgh1 mm5
[u][d][f]( 0.97, altCassette, 34, 1) | -1.9035 |
| AY427822 mm5
[u][d][f]( 0.00, altCassette, 57, 0) | -1.8915 |
| AK031374 mm5
[u][d][f]( 0.00, altCassette, 108, 0) | 1.8859 |
| AF340029 mm5
[u][d][f]( 0.59, altCassette, 67, 1) | -1.8748 |
| Dnajc5 mm5
[u][d][f]( 0.00, altCassette, 53, 2) | 1.8744 |
| BC037661 mm5
[u][d][f]( 0.39, altCassette, 189, 0) | -1.8710 |
| AF133818 mm5
[u][d][f]( 0.00, altCassette, 109, 1) | -1.8639 |
| AK122487 mm5
[u][d][f]( 0.00, altCassette, 90, 0) | 1.8635 |
| Pkia mm5
[u][d][f]( 0.00, altTxStart, 107, 2) | -1.8568 |
| Cask mm5
[u][d][f]( 0.99, altCassette, 69, 0) | -1.8550 |
| Eif4a2 mm5
[u][d][f]( 0.00, altCassette, 90, 0) | -1.8413 |
| BC056199 mm5
[u][d][f]( 0.00, altCassette, 106, 1) | -1.8219 |
| Ubl4 mm5
[u][d][f]( 0.00, altCassette, 106, 1) | 1.8160 |
| Hsp105 mm5
[u][d][f]( 0.00, altTxStart, 122, 2) | 1.8085 |
| AK079086 mm5
[u][d][f]( 0.00, altTxEnd, 32, 2) | -1.7828 |
| Pfkp mm5
[u][d][f]( 0.00, altCassette, 55, 1) | 1.7710 |
| Lmbr1 mm5
[u][d][f]( 0.00, altCassette, 286, 1) | 1.7527 |
| Kif2a mm5
[u][d][f]( 0.00, altTxStart, 384, 0) | 1.7468 |
| D8Ertd354e mm5
[u][d][f]( 0.00, altTxStart, 142, 1) | 1.7467 |
| Ddx24 mm5
[u][d][f]( 0.00, altTxStart, 245, 2) | 1.7448 |
| Dpp8 mm5
[u][d][f]( 0.00, altTxStart, 183, 0) | 1.7026 |
| Dpp8 mm5
[u][d][f]( 0.00, altTxStart, 195, 0) | 1.7352 |
| Zmynd11 mm5
[u][d][f]( 0.00, altTxStart, 96, 0) | 1.7323 |
| 3632413B07Rik mm5
[u][d][f]( 0.00, altTxStart, 53, 2) | 1.7323 |
| D10Ertd610e mm5
[u][d][f]( 0.00, altTxStart, 259, 1) | 1.7316 |
| Evl mm5
[u][d][f]( 0.00, altCassette, 63, 0) | 1.7294 |
| Ppp5c mm5
[u][d][f]( 0.23, altCassette, 242, 2) | -1.7162 |
| Wbp2 mm5
[u][d][f]( 0.19, altCassette, 135, 0) | 1.7081 |
| Mbnl2 mm5
[u][d][f]( 1.00, altCassette, 36, 0) | -1.7046 |
| A930008G19Rik mm5
[u][d][f]( 0.00, altTxStart, 121, 1) | 1.7015 |
| 1110054N06Rik mm5
[u][d][f]( 0.00, altTxStart, 301, 1) | 1.6873 |
| Akap7 mm5
[u][d][f]( 0.00, altTxStart, 135, 0) | 1.6792 |
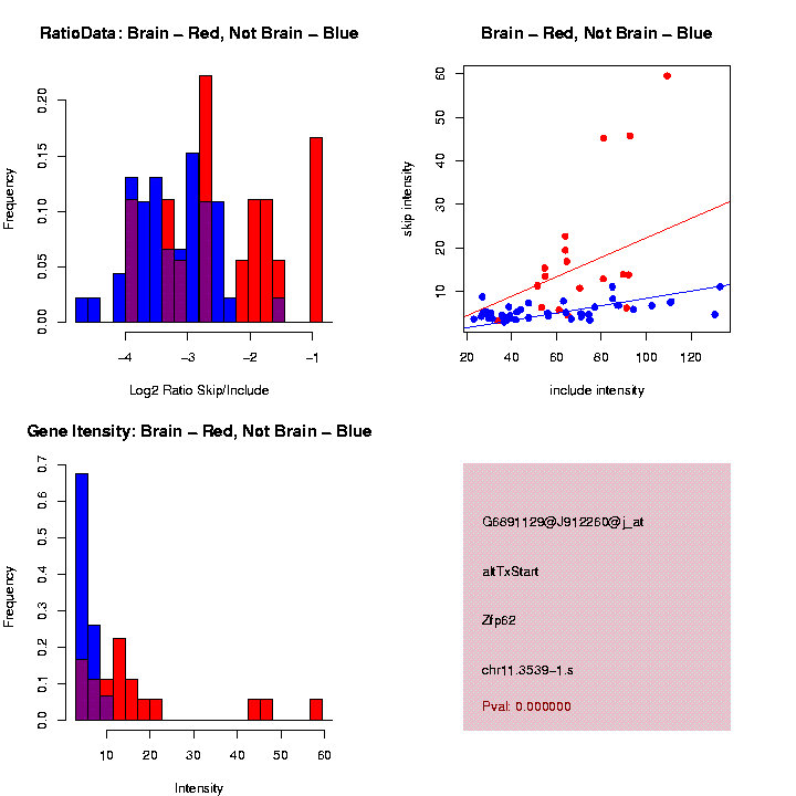
| Zfp62 mm5
[u][d][f]( 0.00, altCassette, 53, 2) | -1.6648 |
| Dlgap4 mm5
[u][d][f]( 0.00, altMutEx, 9, 0) | 1.6644 |
| Zfp62 mm5
[u][d][f]( 0.00, altTxStart, 237, 0) | 1.6581 |
| Fgd4 mm5
[u][d][f]( 0.00, altTxStart, 252, 0) | 1.6568 |
| Scoc mm5
[u][d][f]( 0.00, altTxStart, 126, 0) | 1.6558 |
| 4932431F02Rik mm5
[u][d][f]( 0.67, altCassette, 75, 0) | 1.6553 |
| AK014534 mm5
[u][d][f]( 0.00, altTxStart, 225, 0) | 1.6491 |
| 4632413K17Rik mm5
[u][d][f]( 0.30, altCassette, 165, 0) | 1.6394 |
| Ahsa1 mm5
[u][d][f]( 0.00, altTxStart, 170, 2) | 1.5203 |
| Ahsa1 mm5
[u][d][f]( 0.00, altTxStart, 282, 0) | 1.6292 |
| Ccar1 mm5
[u][d][f]( 0.00, altTxStart, 123, 0) | 1.6228 |
| G7180187_a_at mm2
[u][d][f]( 0.00, altCassette, 111, 0) | -1.6222 |
| 4930506D23Rik mm5
[u][d][f]( 0.00, altTxEnd, 242, 2) | -1.6179 |
| Gjb6 mm5
[u][d][f]( 0.00, altTxStart, 63, 0) | -1.6144 |
| 2610034E13Rik mm5
[u][d][f]( 0.00, altTxStart, 229, 1) | 1.6137 |
| 5730408C10Rik mm5
[u][d][f]( 0.00, altCassette, 81, 0) | -1.6135 |
| Dnm1l mm5
[u][d][f]( 0.00, altCassette, 47, 2) | -1.6105 |
| Fyn mm5
[u][d][f]( 0.00, altMutEx, 9, 0) | -1.6101 |
| 6330583M11Rik mm5
[u][d][f]( 0.00, altCassette, 41, 2) | 1.6095 |
| Atf2 mm5
[u][d][f]( 0.99, altCassette, 97, 1) | -1.6080 |
| G6869122_a_at mm5
[u][d][f]( 0.00, altCassette, 86, 2) | 1.6053 |
| Pcbp2 mm5
[u][d][f]( 0.85, altCassette, 39, 0) | 1.5970 |
| 5230400G24Rik mm5
[u][d][f]( 0.36, altCassette, 60, 0) | -1.5905 |
| Oxr1 mm5
[u][d][f]( 0.38, altCassette, 81, 0) | -1.5904 |
| AY026253 mm5
[u][d][f]( 0.00, altTxStart, 94, 1) | 1.1707 |
| AY026253 mm5
[u][d][f]( 0.00, altTxStart, 121, 1) | 1.5893 |
| BC028256 mm5
[u][d][f]( 0.00, altCassette, 117, 0) | 1.5823 |
| 5230400G24Rik mm5
[u][d][f]( 0.00, altCassette, 170, 2) | -1.5748 |
| Mgea5 mm5
[u][d][f]( 0.00, altTxStart, 75, 0) | 1.5676 |
| Scg3 mm5
[u][d][f]( 0.00, alt5Prime, 15, 0) | 1.5658 |
| Tlk1 mm5
[u][d][f]( 0.00, altCassette, 69, 0) | -1.5645 |
| Agpat1 mm5
[u][d][f]( 0.00, altTxStart, 85, 1) | 1.5601 |
| Fmnl1 mm2
[u][d][f]( 0.00, altTxStart, 511, 1) | 1.5562 |
| Senp6 mm5
[u][d][f]( 0.00, altCassette, 21, 0) | -1.5330 |
| AK129295 mm5
[u][d][f]( 0.00, altTxStart, 270, 0) | 1.5326 |
| Usp15 mm5
[u][d][f]( 0.39, altCassette, 87, 0) | 1.5297 |
| G6850160_RC_a_at mm5
[u][d][f]( 0.70, altCassette, 122, 2) | -1.5228 |
| 2610103J23Rik mm5
[u][d][f]( 0.48, altCassette, 99, 0) | 1.5191 |
| Atp2c1 mm5
[u][d][f]( 0.00, altTxStart, 227, 2) | 1.5182 |
| 2610007K22Rik mm5
[u][d][f]( 0.08, altCassette, 133, 1) | -1.5159 |
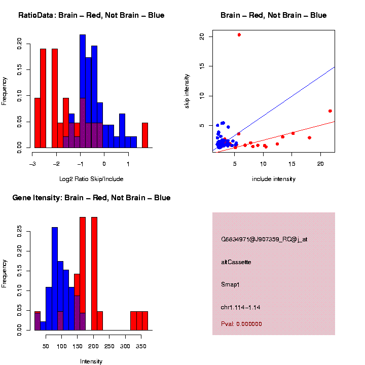
| Smap1 mm5
[u][d][f]( 0.00, altCassette, 81, 0) | -1.5063 |
| D13903 mm5
[u][d][f]( 0.00, altTxStart, 132, 0) | 1.4882 |
| Dnmt1 mm5
[u][d][f]( 0.00, altTxStart, 262, 1) | 1.2977 |
| Dnmt1 mm5
[u][d][f]( 0.00, altTxStart, 768, 0) | 1.4829 |
| Tm4sf8 mm5
[u][d][f]( 0.00, altTxStart, 202, 1) | 1.5062 |
| Tm4sf8 mm5
[u][d][f]( 0.00, altTxStart, 261, 0) | 1.4738 |
| Zfp397 mm5
[u][d][f]( 0.00, altTxStart, 124, 1) | 1.4660 |
| Gpi1 mm5
[u][d][f]( 0.00, altTxEnd, 408, 0) | 1.4605 |
| Zfp162 mm5
[u][d][f]( 1.00, altCassette, 76, 1) | -1.4586 |
| 9030409E16Rik mm5
[u][d][f]( 0.00, altTxStart, 217, 1) | 1.4552 |
| BC017520 mm5
[u][d][f]( 0.25, altCassette, 160, 1) | -1.4530 |
| D10Ertd641e mm5
[u][d][f]( 0.00, altTxEnd, 199, 1) | 1.4520 |
| Ndel1 mm5
[u][d][f]( 0.00, altTxStart, 65, 2) | 1.4490 |
| Thra mm5
[u][d][f]( 0.06, altCassette, 349, 1) | -1.4456 |
| Gabarapl1 mm5
[u][d][f]( 0.00, altTxStart, 133, 1) | 2.3188 |
| Gabarapl1 mm5
[u][d][f]( 0.00, altTxStart, 362, 2) | 1.4431 |
| Hnrpa2b1 mm5
[u][d][f]( 1.00, altCassette, 136, 1) | -1.4337 |
| Drpla mm5
[u][d][f]( 0.24, altCassette, 144, 0) | -1.4086 |
| 0910001A06Rik mm5
[u][d][f]( 0.00, altTxStart, 159, 0) | 1.4073 |
| Ptpn4 mm5
[u][d][f]( 0.00, altCassette, 108, 0) | -1.4054 |
| Anp32a mm5
[u][d][f]( 0.00, altTxStart, 125, 2) | 1.4045 |
| Ttc4 mm5
[u][d][f]( 0.00, altTxStart, 177, 0) | 1.3999 |
| Zdhhc3 mm5
[u][d][f]( 0.00, altTxEnd, 569, 2) | 1.3997 |
| Eif4el3 mm5
[u][d][f]( 0.00, altTxEnd, 253, 1) | 1.3819 |
| C330016H24Rik mm5
[u][d][f]( 0.00, altTxStart, 298, 1) | 1.3815 |
| D17Wsu155e mm5
[u][d][f]( 0.00, altTxStart, 135, 0) | 1.3814 |
| BC061486 mm5
[u][d][f]( 0.00, altTxEnd, 2122, 1) | 1.3757 |
| Tsc2 mm5
[u][d][f]( 0.96, altCassette, 129, 0) | 1.3705 |
| BC047531 mm5
[u][d][f]( 0.00, altCassette, 116, 2) | -1.3697 |
| BC062928 mm5
[u][d][f]( 0.00, altCassette, 119, 2) | -1.3687 |
| Srr mm5
[u][d][f]( 0.00, altTxStart, 125, 2) | 1.3651 |
| Rbx1 mm5
[u][d][f]( 0.00, altTxStart, 44, 2) | 1.3526 |
| Fntb mm2
[u][d][f]( 0.00, altTxEnd, 221, 2) | -1.3453 |
| Mat2b mm5
[u][d][f]( 0.00, altTxStart, 205, 1) | 1.3400 |
| Mtch1 mm5
[u][d][f]( 0.00, alt5Prime, 51, 0) | -1.3366 |
| Kif2a mm5
[u][d][f]( 0.00, alt5Prime, 57, 0) | -1.3345 |
| Rnf14 mm5
[u][d][f]( 0.00, altCassette, 110, 2) | 1.3309 |
| Clk3 mm5
[u][d][f]( 0.00, alt3Prime, 30, 0) | -1.3289 |
| Dbn1 mm5
[u][d][f]( 1.00, altCassette, 138, 0) | -1.3266 |
| Ranbp2 mm5
[u][d][f]( 0.00, altTxStart, 120, 0) | 0.7678 |
| Ranbp2 mm5
[u][d][f]( 0.00, altTxStart, 165, 0) | 1.3161 |
| Dpm1 mm5
[u][d][f]( 0.00, altCassette, 69, 0) | 1.3136 |
| Sept8 mm5
[u][d][f]( 0.00, altTxEnd, 2877, 0) | 1.3069 |
| BC017520 mm5
[u][d][f]( 0.25, altCassette, 160, 1) | -1.3027 |
| Sars1 mm5
[u][d][f]( 0.00, altCassette, 72, 0) | -1.3026 |
| Kif21b mm5
[u][d][f]( 0.00, altCassette, 180, 0) | -1.2977 |
| Tacc2 mm5
[u][d][f]( 0.00, altCassette, 126, 0) | 1.2937 |
| Ncor1 mm5
[u][d][f]( 0.00, altTxStart, 64, 1) | 1.7361 |
| Ncor1 mm5
[u][d][f]( 0.00, altTxStart, 360, 0) | 1.2853 |
| D12Ertd553e mm5
[u][d][f]( 0.00, altTxStart, 64, 1) | 1.2844 |
| Ddef1 mm5
[u][d][f]( 0.47, altCassette, 171, 0) | 1.2778 |
| Hspa4 mm5
[u][d][f]( 0.00, altTxStart, 468, 0) | 1.2702 |
| AI461788 mm5
[u][d][f]( 0.00, altTxStart, 44, 2) | 1.2698 |
| Tcea2 mm5
[u][d][f]( 0.00, altTxStart, 156, 0) | 0.9936 |
| Tcea2 mm5
[u][d][f]( 0.00, altTxStart, 369, 0) | 1.2632 |
| Fbxl3a mm5
[u][d][f]( 0.00, altTxStart, 170, 2) | 1.3831 |
| Fbxl3a mm5
[u][d][f]( 0.00, altTxStart, 219, 0) | 1.2596 |
| Ralbp1 mm5
[u][d][f]( 0.00, altTxStart, 85, 1) | 1.2530 |
| Fgfr1op2 mm5
[u][d][f]( 0.00, altTxEnd, 2122, 1) | 1.2420 |
| Mxi1 mm5
[u][d][f]( 0.00, alt3Prime, 41, 2) | 1.2407 |
| Cnot2 mm2
[u][d][f]( 0.00, altTxStart, 162, 0) | 1.7752 |
| Cnot2 mm2
[u][d][f]( 0.00, altTxStart, 183, 0) | 1.2334 |
| G7088259_RC_a_at mm2
[u][d][f]( 0.00, altTxStart, 149, 2) | 1.2271 |
| 5133401N09Rik mm5
[u][d][f]( 0.00, altCassette, 44, 2) | 1.2256 |
| BC037132 mm5
[u][d][f]( 0.00, altTxStart, 163, 1) | 1.2132 |
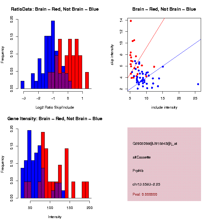
| Prpf4b mm5
[u][d][f]( 0.61, altCassette, 141, 0) | 1.2116 |
| Fut8 mm5
[u][d][f]( 0.00, altTxStart, 65, 2) | 1.5467 |
| Fut8 mm5
[u][d][f]( 0.00, altTxStart, 398, 2) | 1.2053 |
| D930046M03 mm5
[u][d][f]( 0.00, altTxStart, 259, 1) | 1.1947 |
| Fntb mm5
[u][d][f]( 0.00, altTxStart, 266, 2) | 1.1944 |
| Fars1 mm5
[u][d][f]( 0.00, altTxEnd, 283, 1) | 1.1840 |
| Ube2j1 mm5
[u][d][f]( 0.00, altCassette, 120, 0) | 1.1821 |
| 2810409H07Rik mm5
[u][d][f]( 0.00, altTxStart, 152, 2) | 0.9829 |
| 2810409H07Rik mm5
[u][d][f]( 0.00, altTxStart, 447, 0) | 1.1794 |
| Sf3b1 mm5
[u][d][f]( 0.00, altTxStart, 518, 2) | 1.1780 |
| Ncor1 mm5
[u][d][f]( 0.04, altCassette, 141, 0) | 1.1771 |
| Acin1 mm5
[u][d][f]( 0.00, alt3Prime, 36, 0) | -1.1762 |
| Dtna mm5
[u][d][f]( 0.00, altTxEnd, 396, 0) | -1.1718 |
| Ptp4a2 mm5
[u][d][f]( 0.00, altTxStart, 44, 2) | 1.1671 |
| 2610110G12Rik mm5
[u][d][f]( 0.00, altTxStart, 137, 2) | 1.1649 |
| Znrd1 mm5
[u][d][f]( 0.00, alt3Prime, 9, 0) | -1.1644 |
| Hnrpd mm5
[u][d][f]( 1.00, altCassette, 107, 2) | 1.1623 |
| Nck1 mm5
[u][d][f]( 0.00, altTxStart, 130, 1) | 1.1619 |
| Hip2 mm5
[u][d][f]( 0.00, altCassette, 83, 2) | -1.1611 |
| AK129214 mm5
[u][d][f]( 1.00, altCassette, 175, 1) | 1.1603 |
| Mbd3 mm5
[u][d][f]( 0.00, altTxStart, 352, 1) | 1.1591 |
| AK052697 mm5
[u][d][f]( 0.00, altTxEnd, 106, 1) | 1.7051 |
| AK052697 mm5
[u][d][f]( 0.00, altTxEnd, 294, 0) | 1.1581 |
| BC062107 mm5
[u][d][f]( 0.00, altCassette, 150, 0) | 1.1576 |
| Rbbp4 mm5
[u][d][f]( 0.04, altCassette, 148, 1) | -1.1507 |
| Thra mm5
[u][d][f]( 0.00, altTxEnd, 120, 0) | 1.1380 |
| Rnf14 mm5
[u][d][f]( 0.00, altCassette, 87, 0) | 1.1342 |
| 1300007B12Rik mm5
[u][d][f]( 0.72, altCassette, 163, 1) | 1.1286 |
| Arfgap1 mm5
[u][d][f]( 0.00, altTxEnd, 343, 1) | 1.1211 |
| AW547365 mm5
[u][d][f]( 0.00, altTxEnd, 874, 1) | -1.1206 |
| G6995877_a_at mm5
[u][d][f]( 0.00, altCassette, 67, 1) | -1.1127 |
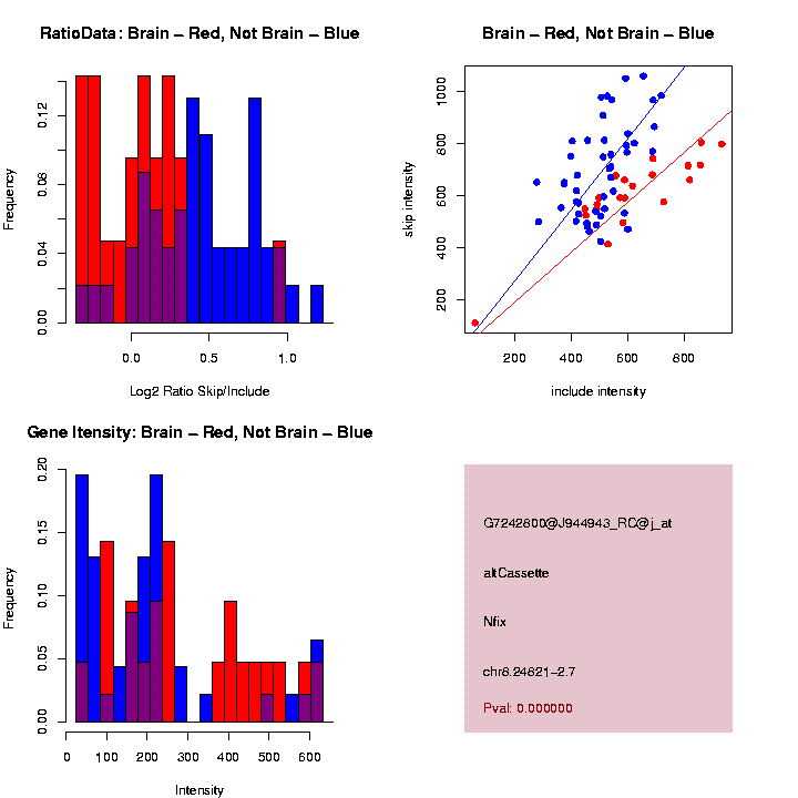
| Nfix mm5
[u][d][f]( 0.00, altCassette, 148, 1) | -1.1124 |
| Nfe2l2 mm5
[u][d][f]( 0.00, altTxStart, 290, 2) | -1.1055 |
| Hipk3 mm5
[u][d][f]( 0.00, altTxStart, 135, 0) | 1.9158 |
| Hipk3 mm5
[u][d][f]( 0.00, altTxStart, 287, 2) | 1.0991 |
| A2lp mm5
[u][d][f]( 0.00, altTxStart, 52, 1) | 1.4019 |
| A2lp mm5
[u][d][f]( 0.00, altTxStart, 465, 0) | 1.0984 |
| Polg mm5
[u][d][f]( 0.00, altTxStart, 158, 2) | 1.0964 |
| Kifap3 mm5
[u][d][f]( 0.00, altCassette, 66, 0) | -1.0881 |
| Mark2 mm2
[u][d][f]( 0.00, altTxStart, 185, 2) | 1.0879 |
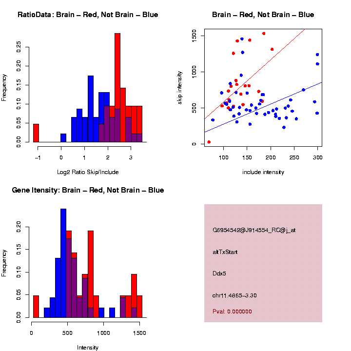
| Ddx5 mm5
[u][d][f]( 0.00, altTxStart, 159, 0) | 1.0845 |
| Zyx mm5
[u][d][f]( 0.00, altCassette, 93, 0) | 1.0830 |
| Htatip mm5
[u][d][f]( 0.00, alt3Prime, 9, 0) | -1.0813 |
| 4921528E07Rik mm5
[u][d][f]( 0.00, alt3Prime, 64, 1) | -1.0782 |
| Pld3 mm5
[u][d][f]( 0.00, altCassette, 143, 2) | -1.0746 |
| Samhd1 mm5
[u][d][f]( 0.00, altCassette, 123, 0) | 1.0726 |
| Snx3 mm5
[u][d][f]( 0.00, altCassette, 96, 0) | -1.0687 |
| G7046357_a_at mm5
[u][d][f]( 0.00, altTxStart, 124, 1) | 1.0646 |
| Stub1 mm5
[u][d][f]( 0.00, altTxStart, 196, 1) | 1.0636 |
| 2810404F18Rik mm5
[u][d][f]( 0.00, altCassette, 154, 1) | -1.0535 |
| Kns2 mm5
[u][d][f]( 0.00, altCassette, 51, 0) | -1.0512 |
| Fgf1 mm5
[u][d][f]( 0.00, altTxStart, 383, 2) | -1.0508 |
| Bap1 mm5
[u][d][f]( 0.00, altCassette, 93, 0) | -1.0494 |
| Usf2 mm5
[u][d][f]( 0.16, altCassette, 201, 0) | -1.0429 |
| G6911212_a_at mm5
[u][d][f]( 0.00, altCassette, 107, 2) | 1.0350 |
| Comt mm5
[u][d][f]( 0.00, altCassette, 57, 0) | 1.0226 |
| Whsc1l1 mm5
[u][d][f]( 0.00, altTxStart, 354, 0) | 1.0223 |
| Fn1 mm5
[u][d][f]( 0.69, altCassette, 273, 0) | -1.0213 |
| Fkbp8 mm5
[u][d][f]( 0.00, altTxEnd, 584, 2) | 1.0200 |
| BC011468 mm5
[u][d][f]( 0.00, altTxStart, 57, 0) | 1.0195 |
| Hmox2 mm5
[u][d][f]( 0.00, altTxStart, 75, 0) | 1.0142 |
| G7230559_RC_a_at mm5
[u][d][f]( 0.00, altTxStart, 273, 0) | 1.0081 |
| Kras2 mm5
[u][d][f]( 0.24, altCassette, 124, 1) | 1.0071 |
| Mark2 mm5
[u][d][f]( 0.27, altCassette, 162, 0) | -0.9992 |
| Add1 mm5
[u][d][f]( 0.00, altCassette, 279, 0) | 0.9955 |
| 2310076K21Rik mm5
[u][d][f]( 0.00, altTxStart, 84, 0) | 0.9856 |
| Mlf2 mm5
[u][d][f]( 0.00, alt3Prime, 21, 0) | -0.9849 |
| Pum1 mm5
[u][d][f]( 0.00, altTxStart, 75, 0) | 2.1908 |
| Pum1 mm5
[u][d][f]( 0.00, altTxStart, 92, 2) | 0.9820 |
| 4933421G18Rik mm5
[u][d][f]( 0.00, altTxStart, 75, 0) | 0.9814 |
| Epha7 mm5
[u][d][f]( 0.00, altTxStart, 340, 1) | 0.9716 |
| AK122316 mm5
[u][d][f]( 0.00, altCassette, 135, 0) | -0.9615 |
| Ctbp1 mm5
[u][d][f]( 0.00, altCassette, 193, 1) | -0.9477 |
| Jarid2 mm5
[u][d][f]( 0.00, altCassette, 136, 1) | -0.9404 |
| A930014C21Rik mm5
[u][d][f]( 0.00, altCassette, 81, 0) | -0.9364 |
| Brd2 mm5
[u][d][f]( 0.00, altCassette, 92, 2) | 0.9287 |
| Ppp2r5c mm5
[u][d][f]( 0.00, altCassette, 117, 0) | 0.9246 |
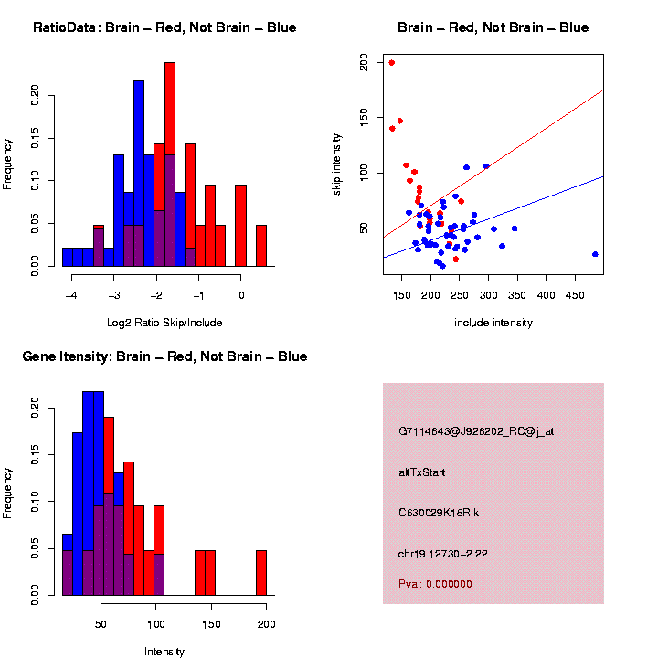
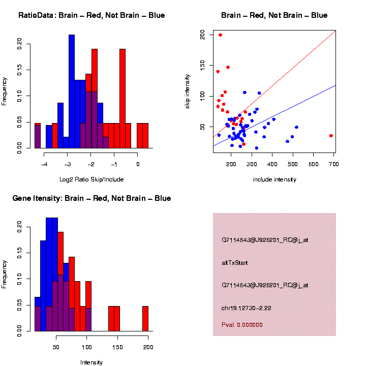
| C630029K18Rik mm5
[u][d][f]( 0.00, altTxStart, 146, 2) | 1.1471 |
| C630029K18Rik mm5
[u][d][f]( 0.00, altTxStart, 213, 0) | 0.9216 |
| G7151644_RC_a_at mm2
[u][d][f]( 0.00, alt5Prime, 150, 0) | -0.9215 |
| AK032084 mm5
[u][d][f]( 0.00, altCassette, 145, 1) | -0.9194 |
| Stim1 mm5
[u][d][f]( 0.00, altTxEnd, 1992, 0) | 0.9181 |
| AK122523 mm5
[u][d][f]( 0.00, altTxEnd, 443, 2) | -0.9162 |
| Add1 mm5
[u][d][f]( 0.30, altCassette, 87, 0) | -0.9116 |
| G7156121_RC_a_at mm5
[u][d][f]( 0.00, altTxEnd, 85, 1) | 0.9073 |
| AI854408 mm5
[u][d][f]( 0.00, altTxEnd, 382, 1) | 0.9009 |
| Rtn4 mm5
[u][d][f]( 0.29, altCassette, 57, 0) | -0.8966 |
| 4632412E09Rik mm5
[u][d][f]( 0.00, altTxStart, 97, 1) | -0.8813 |
| Opa1 mm5
[u][d][f]( 0.63, altCassette, 111, 0) | 0.8789 |
| 5830434P21Rik mm5
[u][d][f]( 0.00, altTxStart, 250, 1) | -0.8764 |
| Mea1 mm5
[u][d][f]( 0.00, altTxStart, 72, 0) | 0.8447 |
| Mea1 mm5
[u][d][f]( 0.00, altTxStart, 111, 0) | 0.8686 |
| Ash2l mm5
[u][d][f]( 0.00, altTxStart, 186, 0) | 0.8682 |
| Nol5a mm5
[u][d][f]( 0.00, altTxEnd, 92, 2) | 0.8659 |
| Arcp mm5
[u][d][f]( 0.00, altTxEnd, 274, 1) | 0.8656 |
| Coro1b mm5
[u][d][f]( 0.04, altCassette, 203, 2) | 0.8612 |
| Csnk1d mm5
[u][d][f]( 0.18, altCassette, 63, 0) | 0.8512 |
| Nnp1 mm5
[u][d][f]( 0.00, altCassette, 83, 2) | -0.8485 |
| G7091230_a_at mm5
[u][d][f]( 0.08, altCassette, 129, 0) | -0.8443 |
| G7133846_a_at mm2
[u][d][f]( 0.00, altTxEnd, 244, 1) | 0.8425 |
| 2210021A15Rik mm5
[u][d][f]( 0.00, altCassette, 48, 0) | 0.8386 |
| Snx1 mm5
[u][d][f]( 0.00, altCassette, 75, 0) | 0.8321 |
| Slc6a6 mm5
[u][d][f]( 0.00, altTxEnd, 772, 1) | 0.8179 |
| AK078916 mm5
[u][d][f]( 0.00, altTxEnd, 605, 2) | 0.8103 |
| Hip2 mm5
[u][d][f]( 0.66, altCassette, 94, 1) | -0.8076 |
| 2400003B06Rik mm5
[u][d][f]( 0.00, altTxStart, 205, 1) | -0.8042 |
| G6981819_a_at mm5
[u][d][f]( 0.00, altCassette, 290, 2) | -0.7978 |
| E430039K05Rik mm5
[u][d][f]( 0.00, altTxStart, 216, 0) | -0.7879 |
| BC054358 mm5
[u][d][f]( 0.09, altCassette, 336, 0) | -0.7765 |
| G6835501_RC_a_at mm5
[u][d][f]( 0.00, altCassette, 115, 1) | -0.7682 |
| Mgrn1 mm5
[u][d][f]( 0.00, altCassette, 50, 2) | -0.7196 |
| Bat3 mm5
[u][d][f]( 0.64, altCassette, 147, 0) | -0.7195 |
| Ddx50 mm5
[u][d][f]( 0.00, altCassette, 110, 2) | 0.7030 |
| Kras2 mm5
[u][d][f]( 0.00, altCassette, 114, 0) | 0.7006 |
| Anp32e mm5
[u][d][f]( 0.00, altTxStart, 362, 2) | 0.6895 |
| Copg mm5
[u][d][f]( 0.00, altCassette, 53, 2) | -0.6794 |
| Dnm1l mm5
[u][d][f]( 0.00, altTxStart, 67, 1) | 2.3516 |
| Dnm1l mm5
[u][d][f]( 0.00, altTxStart, 245, 2) | 0.6669 |
| 2300004C15Rik mm5
[u][d][f]( 0.08, altCassette, 213, 0) | -0.6608 |
| Arl2bp mm5
[u][d][f]( 0.00, altTxEnd, 1582, 1) | 0.6358 |
| Nr3c1 mm5
[u][d][f]( 0.00, altTxStart, 88, 1) | 0.6349 |
| Gnai3 mm5
[u][d][f]( 0.00, altTxStart, 249, 0) | -0.6327 |
| Camk2g mm5
[u][d][f]( 0.00, altCassette, 69, 0) | -0.6215 |
| Gstm5 mm5
[u][d][f]( 0.00, alt3Prime, 9, 0) | -0.6154 |
| Bat3 mm5
[u][d][f]( 0.00, altCassette, 54, 0) | -0.6093 |
| Ufd1l mm5
[u][d][f]( 0.00, altCassette, 165, 0) | 0.5995 |
| G7139746_a_at mm5
[u][d][f]( 0.00, altTxEnd, 307, 1) | 0.5677 |
| Gna13 mm2
[u][d][f]( 0.00, altTxEnd, 1774, 1) | 0.5547 |
| Gnaq mm2
[u][d][f]( 0.00, altTxEnd, 965, 2) | -0.5507 |
| 1200013I08Rik mm5
[u][d][f]( 0.00, altTxStart, 208, 1) | 0.5292 |
| YWHAG mm5
[u][d][f]( 0.00, altTxEnd, 831, 0) | -0.5131 |
| UBE2G1 mm5
[u][d][f]( 0.00, altTxStart, 400, 1) | 0.4915 |
| Nfix mm5
[u][d][f]( 0.28, altCassette, 123, 0) | -0.4703 |
| 0910001A06Rik mm5
[u][d][f]( 0.00, altCassette, 39, 0) | -0.4007 |
| Chka mm5
[u][d][f]( 0.00, altCassette, 111, 0) | -0.3350 |