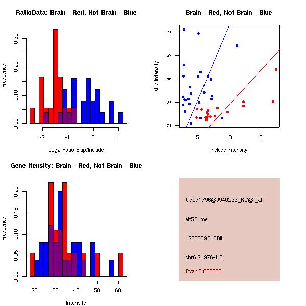
| Name | Sep |
| Mfn2 mm5
[u][d][f]( 0.65, altCassette, 83, 2) | 6.8519 |
| Bcas1 mm5
[u][d][f]( 0.06, altCassette, 138, 0) | -6.6965 |
| G6926528_a_at mm5
[u][d][f]( 0.62, altCassette, 27, 0) | -6.3024 |
| Tpm1 mm5
[u][d][f]( 0.53, altCassette, 79, 1) | 6.1083 |
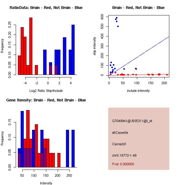
| Cacna2d1 mm5
[u][d][f]( 0.99, altCassette, 21, 0) | -5.6855 |
| Ndrg2 mm5
[u][d][f]( 0.40, altCassette, 42, 0) | 5.4675 |
| Slc22a17 mm5
[u][d][f]( 0.00, alt3Prime, 125, 2) | -5.3464 |
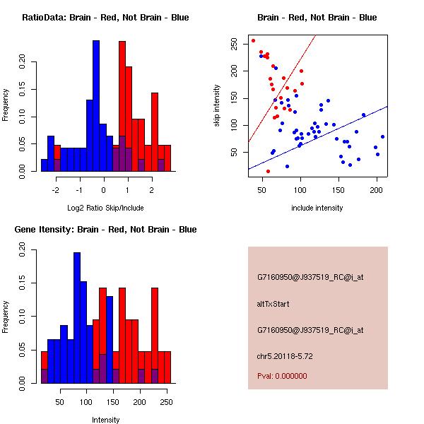
| Epb4.1l3 mm5
[u][d][f]( 0.83, altCassette, 117, 0) | -4.8509 |
| Mapk8ip mm2
[u][d][f]( 0.00, altTxStart, 564, 0) | 4.7272 |
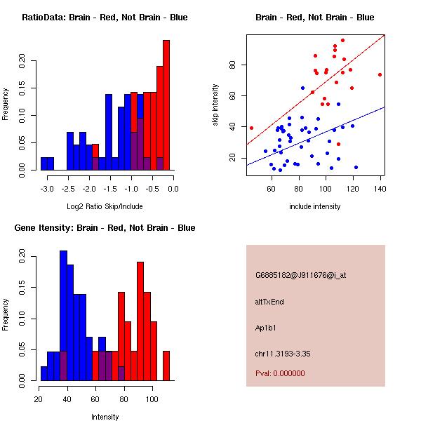
| Aplp2 mm5
[u][d][f]( 0.94, altCassette, 36, 0) | -4.4984 |
| BC027791 mm5
[u][d][f]( 0.42, altCassette, 15, 0) | -4.3725 |
| Slc25a3 mm5
[u][d][f]( 0.16, altCassette, 125, 2) | 4.1600 |
| Kif1b mm5
[u][d][f]( 0.13, altCassette, 18, 0) | -4.1382 |
| G7125552_RC_a_at mm5
[u][d][f]( 0.93, altCassette, 15, 0) | -4.1268 |
| D030028O16Rik mm5
[u][d][f]( 0.60, altCassette, 536, 2) | 4.0781 |
| Madd mm5
[u][d][f]( 0.44, altCassette, 63, 0) | -4.0323 |
| Snca mm5
[u][d][f]( 0.00, altTxStart, 175, 1) | 4.0137 |
| Mapk8ip3 mm5
[u][d][f]( 0.00, alt5Prime, 27, 0) | -3.9532 |
| Cpe mm5
[u][d][f]( 0.00, altTxStart, 376, 1) | 3.9083 |
| Adar mm5
[u][d][f]( 0.00, alt5Prime, 78, 0) | -3.8983 |
| Gnas mm5
[u][d][f]( 0.71, altCassette, 45, 0) | -3.7961 |
| Dncic2 mm5
[u][d][f]( 0.93, altCassette, 60, 0) | -3.7774 |
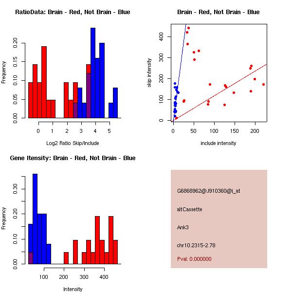
| Ank3 mm5
[u][d][f]( 0.73, altCassette, 27, 0) | -3.6610 |
| BC029759 mm5
[u][d][f]( 0.00, altTxStart, 89, 2) | 3.6400 |
| AF340029 mm5
[u][d][f]( 0.76, altCassette, 84, 0) | 3.5576 |
| Rtn2 mm5
[u][d][f]( 0.00, alt3Prime, 6, 0) | 3.5401 |
| Clstn1 mm5
[u][d][f]( 0.57, altCassette, 57, 0) | -3.4833 |
| Syngr1 mm5
[u][d][f]( 0.00, altTxEnd, 266, 2) | 3.4487 |
| Rap1gds1 mm5
[u][d][f]( 0.60, altCassette, 147, 0) | 3.4148 |
| G7094107_RC_a_at mm5
[u][d][f]( 0.33, altCassette, 33, 0) | -3.4057 |
| 4921528E07Rik mm5
[u][d][f]( 0.46, altCassette, 84, 0) | 3.3916 |
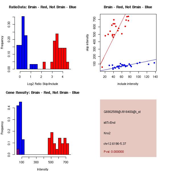
| Kns2 mm5
[u][d][f]( 0.00, altTxEnd, 451, 1) | 3.3614 |
| Slc25a25 mm5
[u][d][f]( 0.00, altTxStart, 257, 2) | 3.3404 |
| Dcn mm5
[u][d][f]( 0.00, altTxStart, 188, 2) | -3.3321 |
| Eif4a2 mm5
[u][d][f]( 0.00, altTxEnd, 882, 0) | 3.3037 |
| Pbx1 mm5
[u][d][f]( 0.67, altCassette, 113, 2) | -3.2609 |
| Pacsin2 mm5
[u][d][f]( 0.48, altCassette, 123, 0) | 3.2496 |
| Rtn4 mm5
[u][d][f]( 0.26, altCassette, 57, 0) | -3.2183 |
| Fgfr1 mm5
[u][d][f]( 0.54, altCassette, 267, 0) | -3.2070 |
| Vldlr mm5
[u][d][f]( 0.30, altCassette, 84, 0) | 3.1845 |
| Cask mm5
[u][d][f]( 0.98, altCassette, 18, 0) | -3.0764 |
| Dgkz mm5
[u][d][f]( 0.00, altTxStart, 158, 2) | 3.0464 |
| Madd mm5
[u][d][f]( 0.95, altCassette, 54, 0) | -3.0272 |
| Trim9 mm5
[u][d][f]( 0.00, altTxEnd, 89, 2) | 3.2897 |
| Trim9 mm5
[u][d][f]( 0.00, altTxEnd, 180, 0) | 1.8023 |
| Trim9 mm5
[u][d][f]( 0.00, altTxEnd, 1068, 0) | 3.0248 |
| Bclaf1 mm5
[u][d][f]( 0.79, altCassette, 147, 0) | -2.9735 |
| BC030435 mm2
[u][d][f]( 0.00, altTxStart, 884, 2) | 2.9628 |
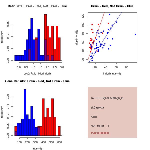
| Add1 mm5
[u][d][f]( 0.00, alt5Prime, 93, 0) | -2.9588 |
| Camk2g mm5
[u][d][f]( 0.97, altCassette, 33, 0) | -2.9454 |
| Ppp1r9b mm5
[u][d][f]( 0.10, altCassette, 104, 2) | 2.9436 |
| Stk25 mm5
[u][d][f]( 0.00, altTxStart, 89, 2) | 2.9313 |
| Igfbp7 mm5
[u][d][f]( 0.19, altCassette, 93, 0) | -2.8797 |
| 4930485D02Rik mm5
[u][d][f]( 0.00, altTxEnd, 83, 2) | 2.8775 |
| Ablim1 mm5
[u][d][f]( 0.00, altTxStart, 175, 1) | 2.8762 |
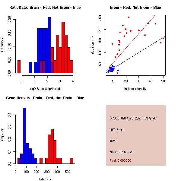
| Trim2 mm5
[u][d][f]( 0.00, altTxStart, 236, 2) | 0.9418 |
| Trim2 mm5
[u][d][f]( 0.00, altTxStart, 389, 2) | 2.8428 |
| AA536749 mm5
[u][d][f]( 0.17, altCassette, 66, 0) | 2.8353 |
| Arfgap1 mm5
[u][d][f]( 0.00, altMutEx, 66, 0) | 2.8119 |
| Add3 mm5
[u][d][f]( 0.08, altCassette, 62, 2) | 2.7977 |
| Ogt mm5
[u][d][f]( 0.00, alt3Prime, 30, 0) | 2.7733 |
| Sdbcag84 mm5
[u][d][f]( 0.84, altCassette, 15, 0) | -2.7645 |
| 3632413B07Rik mm5
[u][d][f]( 0.00, alt5Prime, 156, 0) | -2.7260 |
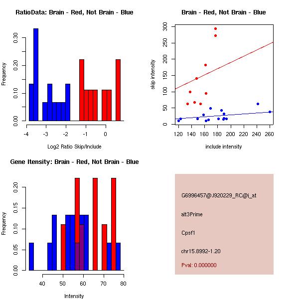
| Cpsf1 mm5
[u][d][f]( 0.00, alt3Prime, 76, 1) | 2.6876 |
| Got1 mm5
[u][d][f]( 0.00, altTxEnd, 143, 2) | 2.6834 |
| Pja1 mm5
[u][d][f]( 0.00, altMutEx, 286, 1) | 2.6706 |
| Sdfr1 mm5
[u][d][f]( 0.27, altCassette, 134, 2) | -2.6287 |
| Dctn6 mm5
[u][d][f]( 0.00, altTxStart, 219, 0) | 2.6130 |
| Enpp2 mm5
[u][d][f]( 0.00, altTxStart, 335, 2) | 2.6014 |
| 5730410E15Rik mm5
[u][d][f]( 0.00, altTxStart, 465, 0) | 2.5971 |
| Kpna1 mm5
[u][d][f]( 0.00, altTxStart, 64, 1) | 2.5668 |
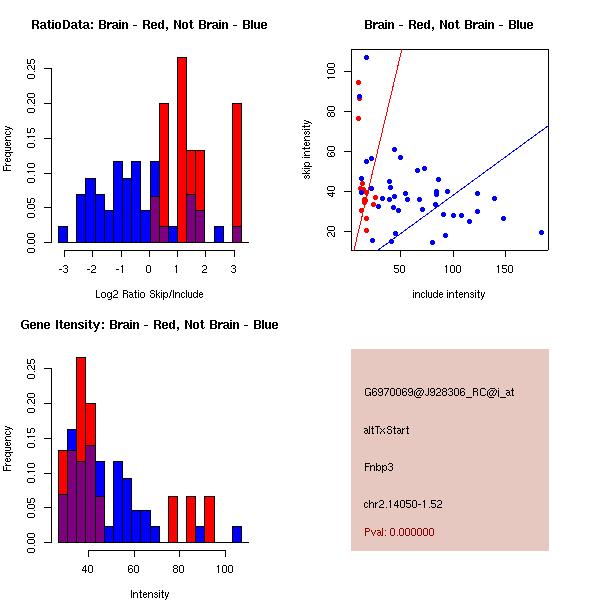
| Fnbp3 mm5
[u][d][f]( 0.98, altCassette, 54, 0) | 2.5640 |
| Cdc42 mm5
[u][d][f]( 0.00, altTxEnd, 280, 1) | -1.1805 |
| Cdc42 mm5
[u][d][f]( 0.00, altTxEnd, 848, 2) | -2.5582 |
| Epb4.1l3 mm5
[u][d][f]( 0.15, altCassette, 36, 0) | -2.5414 |
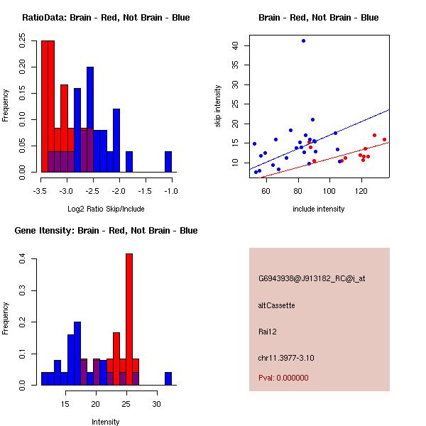
| Baiap1 mm5
[u][d][f]( 0.99, altCassette, 89, 2) | -2.5250 |
| Schip1 mm5
[u][d][f]( 0.00, altTxStart, 209, 2) | 2.5828 |
| Schip1 mm5
[u][d][f]( 0.00, altTxStart, 244, 1) | -2.5063 |
| 1110051M20Rik mm5
[u][d][f]( 0.52, altCassette, 138, 0) | 2.4886 |
| 1110019O13Rik mm5
[u][d][f]( 0.39, altCassette, 116, 2) | 2.4823 |
| BC062096 mm5
[u][d][f]( 0.78, altCassette, 70, 1) | -2.4362 |
| Lysal1 mm5
[u][d][f]( 0.00, alt5Prime, 24, 0) | 2.4257 |
| Pcbp4 mm5
[u][d][f]( 0.00, altTxEnd, 170, 2) | -2.4210 |
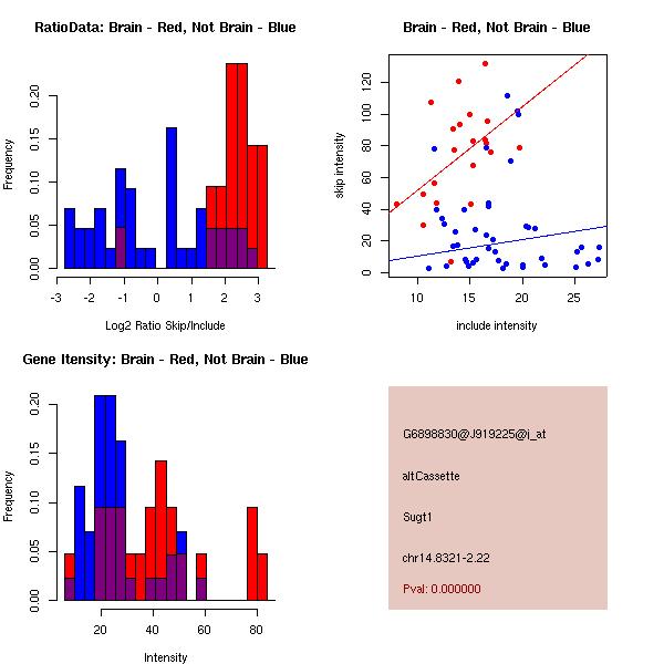
| Sugt1 mm5
[u][d][f]( 0.09, altCassette, 108, 0) | 2.4195 |
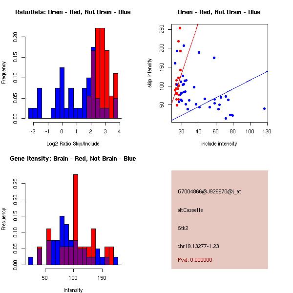
| Stk2 mm5
[u][d][f]( 0.53, altCassette, 93, 0) | 2.4144 |
| 2900010J23Rik mm5
[u][d][f]( 0.00, altTxStart, 27, 0) | 2.4049 |
| Atp9a mm2
[u][d][f]( 0.00, altTxStart, 202, 1) | 1.7076 |
| Atp9a mm5
[u][d][f]( 0.00, altTxStart, 216, 0) | 2.3983 |
| Oxr1 mm5
[u][d][f]( 0.76, altCassette, 81, 0) | -2.3976 |
| 4432404J10Rik mm5
[u][d][f]( 0.00, alt5Prime, 43, 1) | -2.3746 |
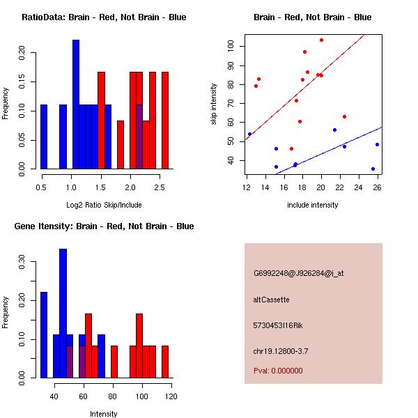
| 5730453I16Rik mm5
[u][d][f]( 0.00, alt5Prime, 27, 0) | 2.3700 |
| Acadm mm5
[u][d][f]( 0.00, alt3Prime, 7, 1) | 2.3508 |
| Nsf mm5
[u][d][f]( 0.15, altCassette, 48, 0) | 2.3495 |
| Csda mm5
[u][d][f]( 0.97, altCassette, 207, 0) | -2.3493 |
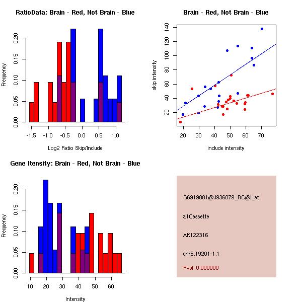
| AK122326 mm5
[u][d][f]( 0.10, altCassette, 107, 2) | 2.3290 |
| BC044772 mm5
[u][d][f]( 0.00, altTxEnd, 221, 2) | 2.3269 |
| Azi2 mm5
[u][d][f]( 0.06, altCassette, 47, 2) | 2.3152 |
| Arf3 mm5
[u][d][f]( 0.45, altCassette, 237, 0) | -2.3128 |
| Dnm1l mm5
[u][d][f]( 0.00, alt5Prime, 18, 0) | 2.3126 |
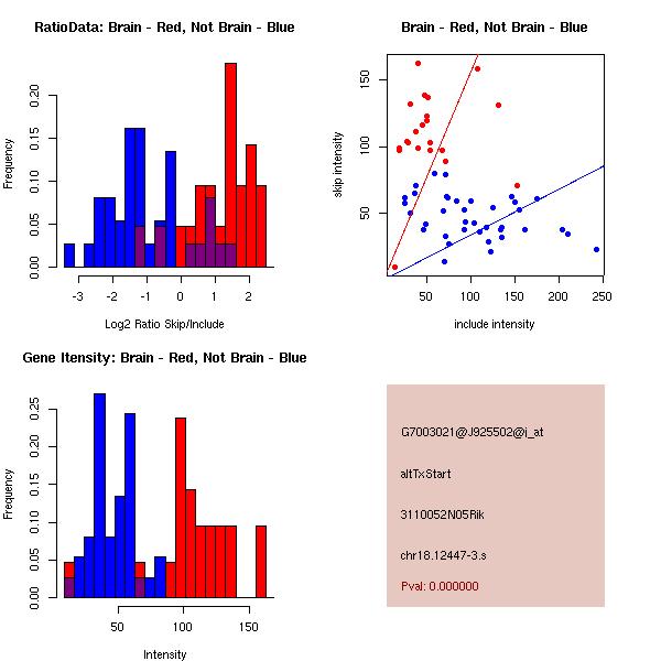
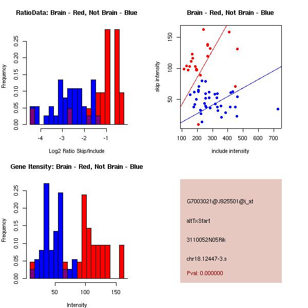
| 3110052N05Rik mm2
[u][d][f]( 0.00, altTxStart, 49, 1) | 1.7524 |
| 3110052N05Rik mm5
[u][d][f]( 0.00, altTxStart, 120, 0) | 2.3114 |
| BC056448 mm5
[u][d][f]( 0.38, altCassette, 161, 2) | 2.2894 |
| 4732496O19Rik mm5
[u][d][f]( 0.84, altCassette, 91, 1) | -2.2851 |
| Scg3 mm5
[u][d][f]( 0.00, alt5Prime, 15, 0) | 2.2800 |
| Glcci1 mm2
[u][d][f]( 0.00, altTxEnd, 5685, 0) | 2.2758 |
| BC027163 mm5
[u][d][f]( 0.00, altTxEnd, 466, 1) | -2.2639 |
| AK011541 mm5
[u][d][f]( 0.39, altCassette, 110, 2) | 2.2598 |
| H13 mm5
[u][d][f]( 0.09, altCassette, 200, 2) | -2.2584 |
| Pmm1 mm5
[u][d][f]( 0.00, altMutEx, 180, 0) | -2.2457 |
| AK043288 mm5
[u][d][f]( 0.10, altCassette, 98, 2) | 2.2415 |
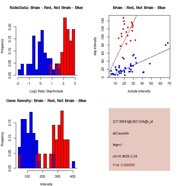
| Mgrn1 mm5
[u][d][f]( 0.21, altCassette, 66, 0) | 2.2375 |
| Adss mm5
[u][d][f]( 0.00, alt3Prime, 69, 0) | -2.2225 |
| Mfge8 mm5
[u][d][f]( 0.13, altCassette, 111, 0) | 2.1962 |
| Lpin1 mm5
[u][d][f]( 0.04, altCassette, 99, 0) | 2.1936 |
| AK078654 mm5
[u][d][f]( 0.00, altTxStart, 393, 0) | 2.1753 |
| Map2k4 mm5
[u][d][f]( 0.97, altCassette, 33, 0) | -2.1692 |
| Prkacb mm5
[u][d][f]( 0.00, altTxStart, 313, 1) | 2.1685 |
| AK122326 mm5
[u][d][f]( 0.02, altCassette, 90, 0) | -2.1667 |
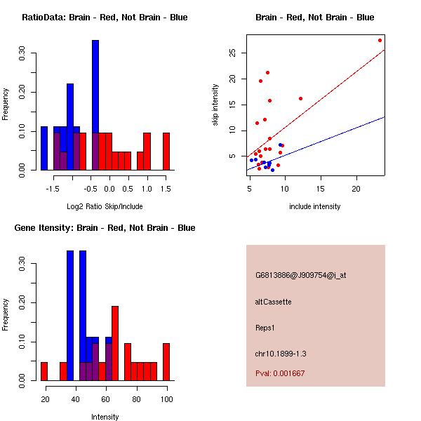
| Reps1 mm5
[u][d][f]( 0.99, altCassette, 81, 0) | -2.1666 |
| Camk2d mm5
[u][d][f]( 0.58, altCassette, 89, 2) | 2.1619 |
| Ppm1d mm5
[u][d][f]( 0.04, altCassette, 85, 1) | 2.1571 |
| Bcas1 mm2
[u][d][f]( 0.00, altTxStart, 977, 2) | 2.1563 |
| Btbd9 mm5
[u][d][f]( 0.19, altCassette, 212, 2) | -2.1471 |
| AK043551 mm5
[u][d][f]( 0.00, altTxEnd, 1026, 0) | 2.1334 |
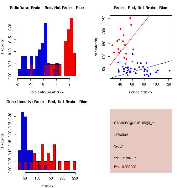
| Sept7 mm5
[u][d][f]( 0.00, altTxStart, 147, 0) | 1.1010 |
| Sept7 mm5
[u][d][f]( 0.00, altTxStart, 673, 1) | 2.1320 |
| Mef2d mm5
[u][d][f]( 0.00, altMutEx, 3, 0) | -2.1237 |
| Vldlr mm5
[u][d][f]( 0.61, altCassette, 123, 0) | 2.1217 |
| AK083192 mm5
[u][d][f]( 0.00, altTxEnd, 278, 2) | 2.1185 |
| AK077133 mm5
[u][d][f]( 0.00, altTxStart, 68, 2) | 2.1116 |
| E430034L04Rik mm5
[u][d][f]( 0.00, altTxStart, 210, 0) | 2.1113 |
| G6872891_a_at mm5
[u][d][f]( 0.10, altCassette, 158, 2) | 2.1089 |
| Ttc3 mm5
[u][d][f]( 0.27, altCassette, 43, 1) | 2.0951 |
| 6330415F13Rik mm5
[u][d][f]( 0.00, altTxStart, 91, 1) | 2.0920 |
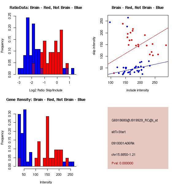
| 0910001A06Rik mm5
[u][d][f]( 0.00, altTxStart, 159, 0) | 1.6598 |
| 0910001A06Rik mm5
[u][d][f]( 0.00, altTxStart, 230, 2) | 2.0901 |
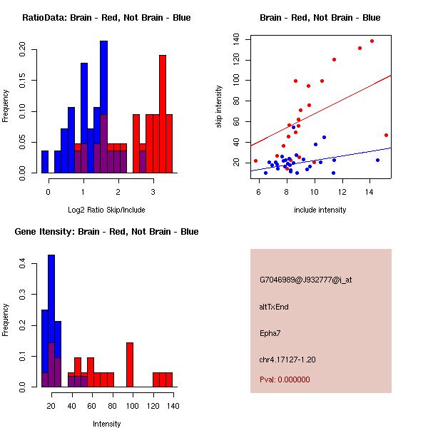
| Epha7 mm5
[u][d][f]( 0.00, altTxStart, 340, 1) | 0.9260 |
| Epha7 mm5
[u][d][f]( 0.00, altTxStart, 372, 0) | 2.0803 |
| AF340029 mm5
[u][d][f]( 0.54, altCassette, 67, 1) | -2.0436 |
| Atf2 mm5
[u][d][f]( 0.95, altCassette, 97, 1) | -2.0435 |
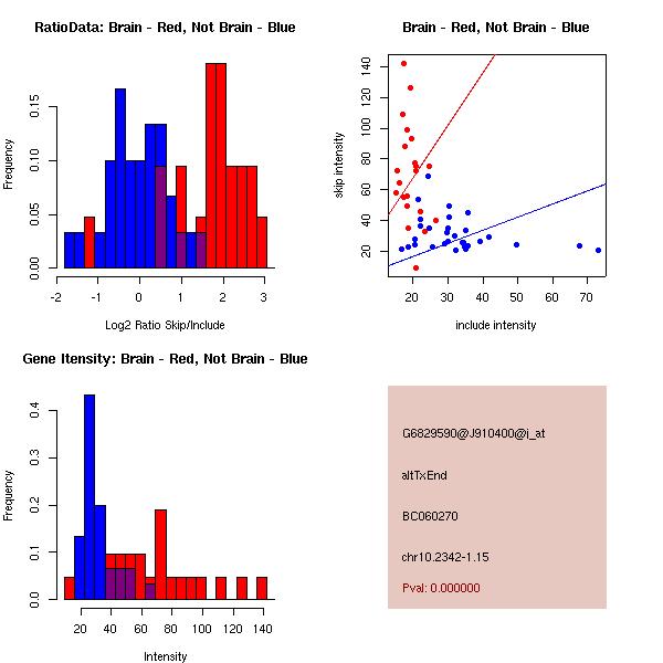
| G6829590_a_at mm5
[u][d][f]( 0.00, altTxEnd, 204, 0) | 2.0424 |
| Pi4k2a mm5
[u][d][f]( 0.00, altTxEnd, 619, 1) | 2.0177 |
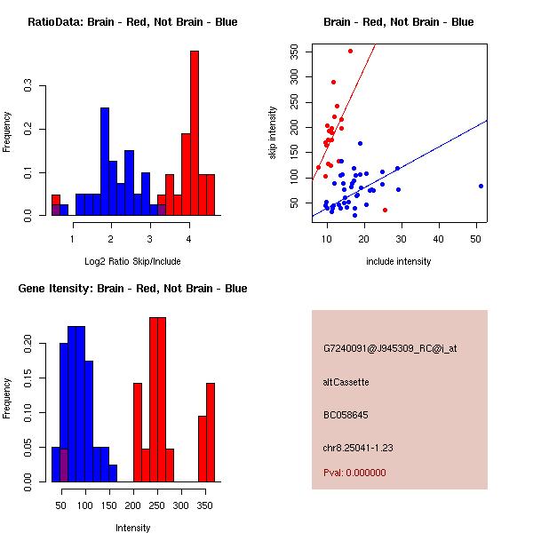
| BC058645 mm5
[u][d][f]( 0.06, altCassette, 154, 1) | 2.0173 |
| Tcf12 mm5
[u][d][f]( 0.91, altCassette, 72, 0) | -2.0169 |
| Eps15 mm5
[u][d][f]( 0.63, altCassette, 182, 2) | -2.0146 |
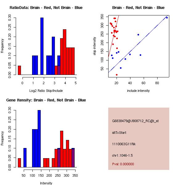
| 1110063G11Rik mm5
[u][d][f]( 0.00, altTxStart, 241, 1) | 2.0105 |
| Map4k6 mm5
[u][d][f]( 0.19, altCassette, 24, 0) | -2.0042 |
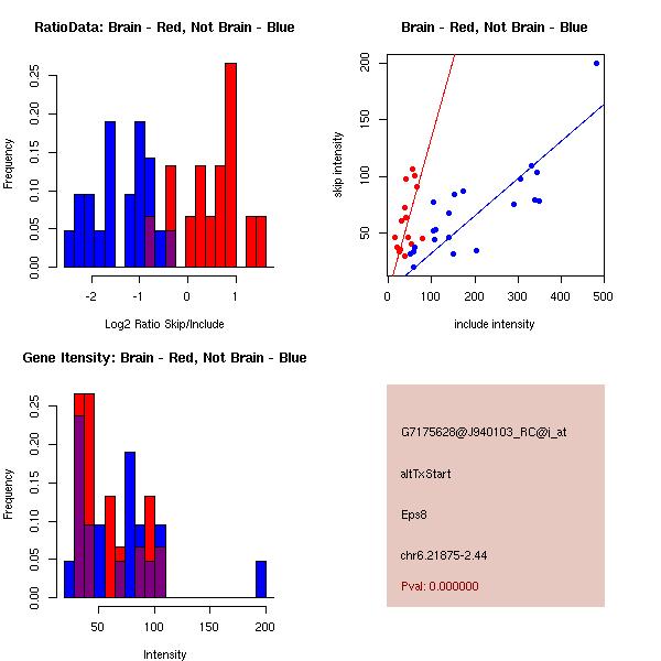
| Eps8 mm5
[u][d][f]( 0.00, altTxStart, 296, 2) | 1.9938 |
| BC036286 mm5
[u][d][f]( 0.00, altTxEnd, 103, 1) | 1.9935 |
| G6875109_RC_a_at mm5
[u][d][f]( 0.26, altCassette, 24, 0) | -1.9925 |
| Atad1 mm5
[u][d][f]( 0.06, altCassette, 175, 1) | -1.9904 |
| Map4k6 mm5
[u][d][f]( 0.85, altCassette, 111, 0) | 1.9822 |
| Rbx1 mm5
[u][d][f]( 0.00, altTxStart, 44, 2) | 1.9787 |
| Dlgh1 mm5
[u][d][f]( 0.98, altCassette, 34, 1) | -1.9742 |
| AF133818 mm5
[u][d][f]( 0.06, altCassette, 109, 1) | -1.9572 |
| AK122487 mm5
[u][d][f]( 0.83, altCassette, 168, 0) | 1.9552 |
| Papss1 mm5
[u][d][f]( 0.05, altCassette, 111, 0) | 1.9511 |
| Ap3d mm5
[u][d][f]( 0.03, altCassette, 204, 0) | 1.9375 |
| Pja2 mm5
[u][d][f]( 0.07, altCassette, 186, 0) | 1.9352 |
| Hsp105 mm5
[u][d][f]( 0.00, altTxStart, 122, 2) | 1.9345 |
| Psa mm5
[u][d][f]( 0.57, altCassette, 131, 2) | 1.9154 |
| Kif21a mm5
[u][d][f]( 0.01, altCassette, 108, 0) | 1.9130 |
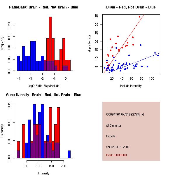
| Papola mm5
[u][d][f]( 0.40, altCassette, 63, 0) | 1.9108 |
| 3632413B07Rik mm5
[u][d][f]( 0.00, alt3Prime, 75, 0) | -1.9090 |
| BC019977 mm5
[u][d][f]( 0.89, altCassette, 111, 0) | -1.9007 |
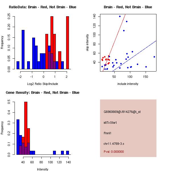
| Fmnl1 mm2
[u][d][f]( 0.00, altTxStart, 511, 1) | 1.8960 |
| D10Ertd610e mm5
[u][d][f]( 0.00, altTxStart, 259, 1) | 1.8943 |
| D8Ertd325e mm5
[u][d][f]( 0.00, altTxEnd, 817, 1) | 1.8866 |
| Baiap1 mm2
[u][d][f]( 0.00, altTxStart, 991, 1) | 1.8862 |
| 2310045A20Rik mm2
[u][d][f]( 0.00, altTxStart, 177, 0) | 1.8848 |
| 1110054N06Rik mm5
[u][d][f]( 0.00, altTxStart, 301, 1) | 1.8829 |
| Rtn1 mm5
[u][d][f]( 0.00, altTxStart, 186, 0) | -1.8823 |
| AK079086 mm5
[u][d][f]( 0.00, altTxEnd, 32, 2) | -1.8761 |
| Ncor2 mm5
[u][d][f]( 0.00, alt5Prime, 114, 0) | -1.8600 |
| Pkia mm5
[u][d][f]( 0.00, altTxStart, 107, 2) | -1.8568 |
| Sbk mm5
[u][d][f]( 0.00, altTxEnd, 849, 0) | 1.8541 |
| G7204760_a_at mm2
[u][d][f]( 0.00, altTxStart, 207, 0) | 1.8394 |
| Fgd4 mm5
[u][d][f]( 0.00, altTxStart, 252, 0) | 1.8260 |
| Dnajc5 mm5
[u][d][f]( 0.37, altCassette, 53, 2) | 1.8247 |
| Nt5c2 mm5
[u][d][f]( 0.00, altTxStart, 139, 1) | 1.8163 |
| Phr1 mm5
[u][d][f]( 0.57, altCassette, 75, 0) | -1.8073 |
| Chchd3 mm5
[u][d][f]( 0.09, altCassette, 94, 1) | -1.8066 |
| Gtf2i mm2
[u][d][f]( 0.00, altTxStart, 63, 0) | 1.8055 |
| AK122487 mm5
[u][d][f]( 0.55, altCassette, 90, 0) | 1.8053 |
| Zmynd11 mm5
[u][d][f]( 0.00, altTxStart, 96, 0) | 1.8037 |
| Kif2a mm5
[u][d][f]( 0.00, altTxStart, 384, 0) | 1.7786 |
| 3632413B07Rik mm5
[u][d][f]( 0.00, altTxStart, 53, 2) | 1.7660 |
| Lamp2 mm5
[u][d][f]( 0.00, altTxEnd, 267, 0) | -1.7613 |
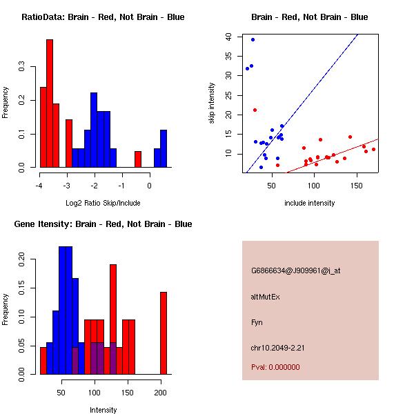
| Fyn mm5
[u][d][f]( 0.00, altMutEx, 9, 0) | -1.7517 |
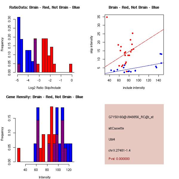
| Ubl4 mm5
[u][d][f]( 0.42, altCassette, 106, 1) | 1.7494 |
| AK031374 mm5
[u][d][f]( 0.83, altCassette, 108, 0) | 1.7475 |
| Ddx24 mm5
[u][d][f]( 0.00, altTxStart, 245, 2) | 1.7448 |
| Dpp8 mm5
[u][d][f]( 0.00, altTxStart, 183, 0) | 1.7026 |
| Dpp8 mm5
[u][d][f]( 0.00, altTxStart, 195, 0) | 1.7430 |
| AF340029 mm5
[u][d][f]( 0.35, altCassette, 132, 0) | 1.7331 |
| B230378H13Rik mm5
[u][d][f]( 0.00, altTxStart, 190, 1) | -1.7296 |
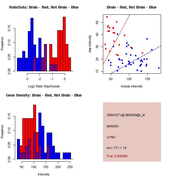
| Lrrfip1 mm5
[u][d][f]( 0.00, altMutEx, 144, 0) | 1.7287 |
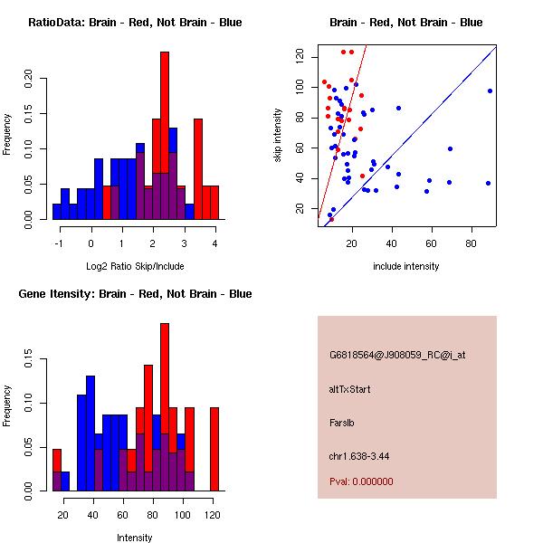
| Farslb mm5
[u][d][f]( 0.00, altTxStart, 59, 2) | 1.7273 |
| Ssx2ip mm5
[u][d][f]( 0.02, altCassette, 104, 2) | 1.7220 |
| G6869122_a_at mm5
[u][d][f]( 0.19, altCassette, 86, 2) | 1.7208 |
| Fnbp3 mm5
[u][d][f]( 0.00, altTxStart, 91, 1) | 2.5186 |
| Fnbp3 mm5
[u][d][f]( 0.00, altTxStart, 182, 2) | 1.7194 |
| 2610018L09Rik mm5
[u][d][f]( 0.00, altTxStart, 131, 2) | 1.7193 |
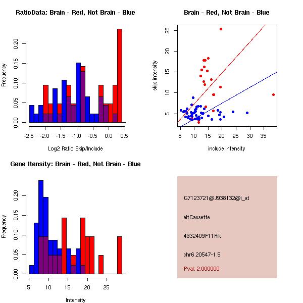
| 4932409F11Rik mm5
[u][d][f]( 0.95, altCassette, 769, 1) | 1.7164 |
| G6850160_RC_a_at mm5
[u][d][f]( 0.54, altCassette, 122, 2) | -1.7040 |
| Sars1 mm5
[u][d][f]( 0.73, altCassette, 72, 0) | -1.6980 |
| Arpc1a mm5
[u][d][f]( 0.00, altTxEnd, 133, 1) | 1.6962 |
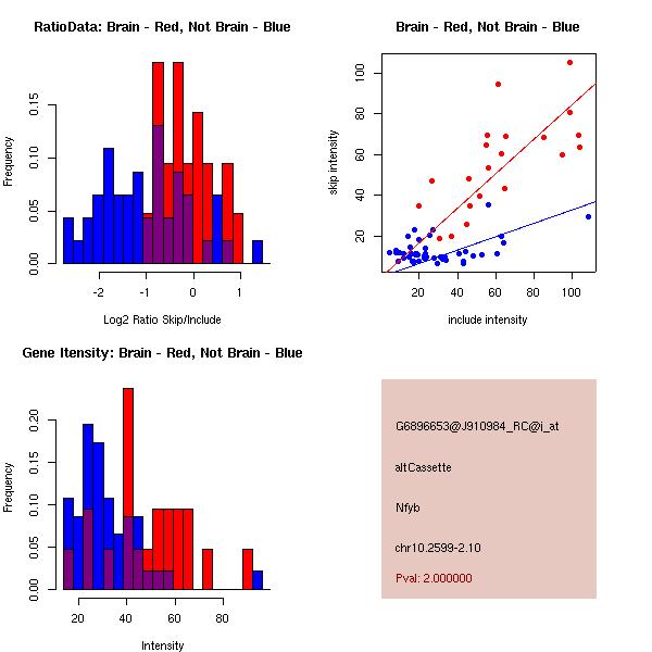
| Nfyb mm5
[u][d][f]( 0.32, altCassette, 131, 2) | 1.6948 |
| Dhx30 mm5
[u][d][f]( 0.00, altTxStart, 72, 0) | 1.7160 |
| Dhx30 mm5
[u][d][f]( 0.00, altTxStart, 239, 2) | 1.6866 |
| 6330415F13Rik mm5
[u][d][f]( 0.00, altTxEnd, 160, 1) | 1.6809 |
| Lmbr1 mm5
[u][d][f]( 0.10, altCassette, 286, 1) | 1.6736 |
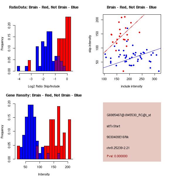
| 9030409E16Rik mm5
[u][d][f]( 0.00, altTxStart, 217, 1) | 1.4552 |
| 9030409E16Rik mm5
[u][d][f]( 0.00, altTxStart, 378, 0) | 1.6699 |
| Ptpn4 mm5
[u][d][f]( 0.06, altCassette, 108, 0) | -1.6661 |
| 2010106G01Rik mm5
[u][d][f]( 0.96, altCassette, 54, 0) | 1.6610 |
| Apc mm5
[u][d][f]( 0.00, altTxEnd, 7240, 1) | 1.6589 |
| Scoc mm5
[u][d][f]( 0.00, altTxStart, 126, 0) | 1.6558 |
| Nudt3 mm5
[u][d][f]( 0.00, alt3Prime, 27, 0) | -1.6543 |
| BC048407 mm5
[u][d][f]( 0.00, altTxEnd, 405, 0) | -1.6483 |
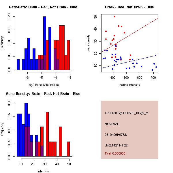
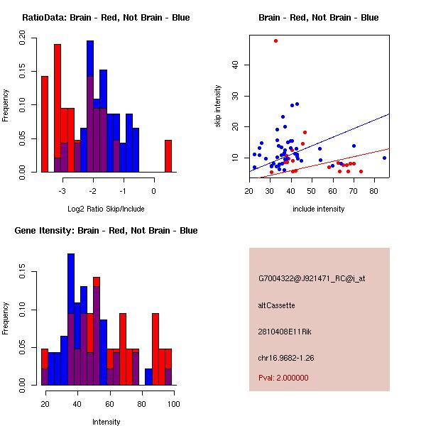
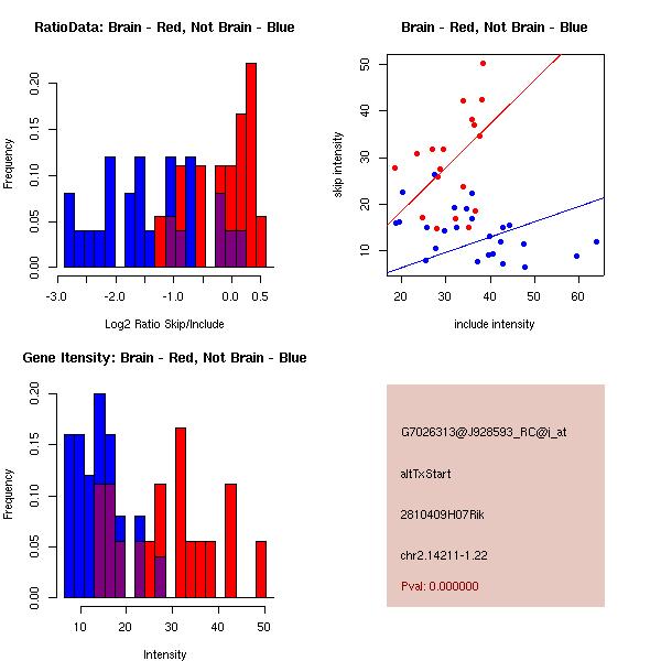
| 2810409H07Rik mm5
[u][d][f]( 0.00, altTxStart, 152, 2) | 1.4096 |
| 2810409H07Rik mm5
[u][d][f]( 0.00, altTxStart, 447, 0) | 1.6415 |
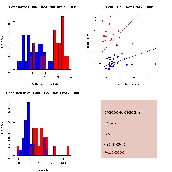
| Bcas2 mm5
[u][d][f]( 0.00, alt3Prime, 41, 2) | 1.6401 |
| Zfp62 mm5
[u][d][f]( 0.00, altTxStart, 237, 0) | 1.6305 |
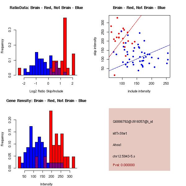
| Ahsa1 mm5
[u][d][f]( 0.00, altTxStart, 170, 2) | 1.4694 |
| Ahsa1 mm5
[u][d][f]( 0.00, altTxStart, 282, 0) | 1.6292 |
| Wbp2 mm5
[u][d][f]( 0.27, altCassette, 135, 0) | 1.5971 |
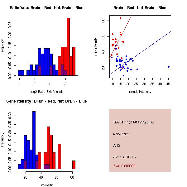
| Arf2 mm5
[u][d][f]( 0.00, altTxStart, 334, 1) | 1.5900 |
| Tm4sf8 mm5
[u][d][f]( 0.00, altTxStart, 202, 1) | 1.6194 |
| Tm4sf8 mm5
[u][d][f]( 0.00, altTxStart, 261, 0) | 1.5874 |
| 4632413K17Rik mm5
[u][d][f]( 0.39, altCassette, 165, 0) | 1.5864 |
| Pik3r1 mm5
[u][d][f]( 0.00, altTxStart, 43, 1) | 1.5858 |
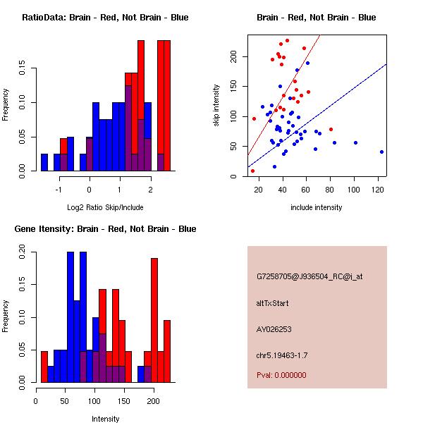
| AY026253 mm5
[u][d][f]( 0.00, altTxStart, 94, 1) | 1.2553 |
| AY026253 mm5
[u][d][f]( 0.00, altTxStart, 121, 1) | 1.5850 |
| AY427822 mm5
[u][d][f]( 0.77, altCassette, 57, 0) | -1.5769 |
| Sept8 mm5
[u][d][f]( 0.00, altTxEnd, 2877, 0) | 1.5745 |
| Atp2c1 mm5
[u][d][f]( 0.00, altTxStart, 129, 0) | 1.3601 |
| Atp2c1 mm5
[u][d][f]( 0.00, altTxStart, 227, 2) | 1.5717 |
| Dlgap4 mm5
[u][d][f]( 0.00, altMutEx, 9, 0) | 1.5717 |
| 2410002O22Rik mm5
[u][d][f]( 0.99, altCassette, 18, 0) | 1.5685 |
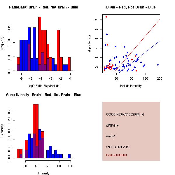
| Ankfy1 mm5
[u][d][f]( 0.00, alt5Prime, 49, 1) | 1.5685 |
| Mgea5 mm5
[u][d][f]( 0.00, altTxStart, 75, 0) | 1.5676 |
| AI461788 mm5
[u][d][f]( 0.00, altTxStart, 44, 2) | 1.5640 |
| Dgcr2 mm5
[u][d][f]( 0.00, altTxStart, 259, 1) | 1.5637 |
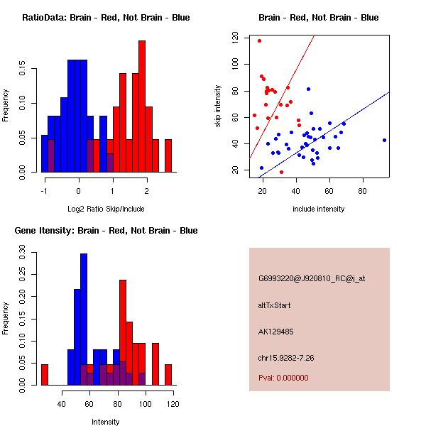
| AK129485 mm5
[u][d][f]( 0.00, altTxStart, 49, 1) | 1.5632 |
| Agpat1 mm5
[u][d][f]( 0.00, altTxStart, 85, 1) | 1.5601 |
| D8Ertd354e mm5
[u][d][f]( 0.00, altTxStart, 142, 1) | 1.5491 |
| 5230400G24Rik mm5
[u][d][f]( 0.50, altCassette, 60, 0) | -1.5423 |
| AK129287 mm2
[u][d][f]( 0.00, altTxEnd, 2525, 2) | 1.5416 |
| BC062928 mm5
[u][d][f]( 0.00, altTxEnd, 1193, 2) | 1.5374 |
| G7180187_a_at mm2
[u][d][f](-1.00, altCassette, 111, 0) | -1.5357 |
| Senp6 mm5
[u][d][f]( 0.78, altCassette, 21, 0) | -1.5330 |
| BC021381 mm5
[u][d][f]( 0.98, altCassette, 61, 1) | -1.5307 |
| AK129295 mm5
[u][d][f]( 0.00, altTxStart, 270, 0) | 1.5284 |
| Epha7 mm2
[u][d][f]( 0.00, altTxEnd, 2268, 0) | 1.5259 |
| 4930415J21Rik mm5
[u][d][f]( 0.00, altTxEnd, 217, 1) | 1.5214 |
| 4931406I20Rik mm5
[u][d][f]( 0.00, altTxStart, 474, 0) | 1.5154 |
| D530020C15Rik mm5
[u][d][f]( 0.50, altCassette, 77, 2) | 1.5074 |
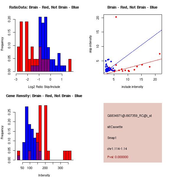
| Smap1 mm5
[u][d][f]( 0.02, altCassette, 81, 0) | -1.5063 |
| S75970 mm5
[u][d][f]( 0.00, alt5Prime, 38, 2) | -1.5060 |
| Ccar1 mm5
[u][d][f]( 0.00, altTxStart, 123, 0) | 1.5043 |
| Eno2 mm5
[u][d][f]( 0.00, altTxStart, 102, 0) | 1.5029 |
| Gjb6 mm5
[u][d][f]( 0.00, altTxStart, 63, 0) | -1.5002 |
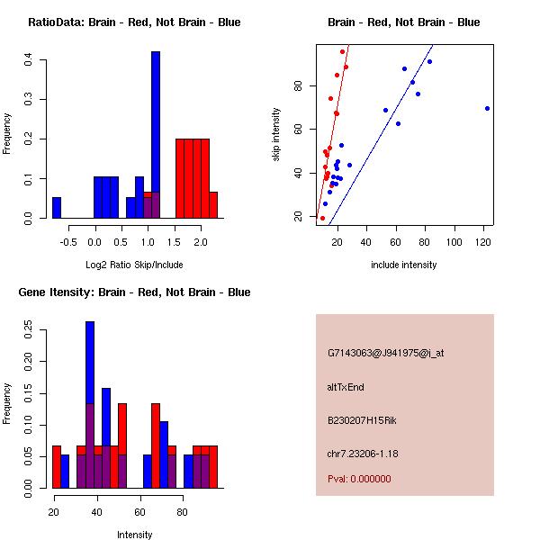
| B230207H15Rik mm5
[u][d][f]( 0.00, altTxEnd, 301, 1) | -1.9077 |
| B230207H15Rik mm5
[u][d][f]( 0.00, altTxEnd, 1062, 0) | 1.4964 |
| Atp2c1 mm5
[u][d][f]( 0.11, altCassette, 36, 0) | -1.4957 |
| G7029640_RC_a_at mm5
[u][d][f]( 0.00, altTxStart, 105, 0) | 1.4909 |
| Mapkapk5 mm5
[u][d][f]( 0.00, altTxStart, 164, 2) | 1.4903 |
| Mtmr1 mm5
[u][d][f]( 0.74, altCassette, 51, 0) | -1.4889 |
| Orc4l mm2
[u][d][f]( 0.00, altTxStart, 84, 0) | 1.4867 |
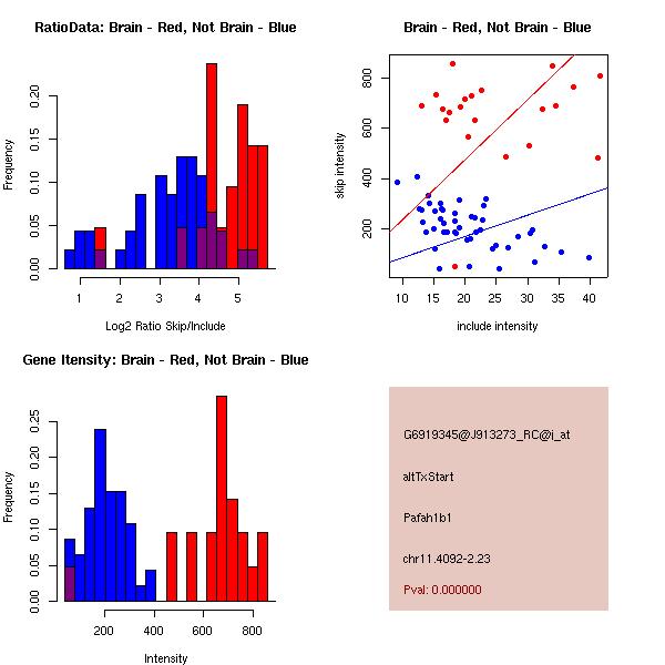
| Pafah1b1 mm5
[u][d][f]( 0.00, altTxStart, 310, 1) | 1.4792 |
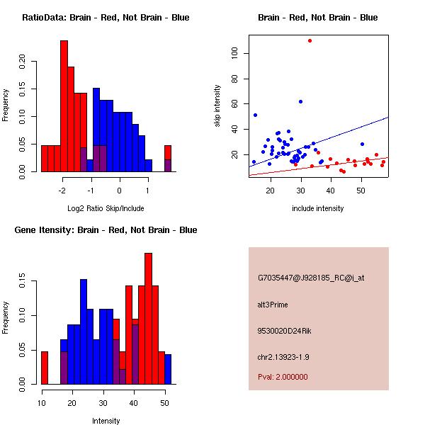
| 9530020D24Rik mm5
[u][d][f]( 0.00, alt3Prime, 88, 1) | -1.4756 |
| Zfp397 mm5
[u][d][f]( 0.00, altTxStart, 124, 1) | 1.4743 |
| Dnmt1 mm5
[u][d][f]( 0.00, altTxStart, 262, 1) | 1.3603 |
| Dnmt1 mm5
[u][d][f]( 0.00, altTxStart, 768, 0) | 1.4739 |
| Bcl7a mm5
[u][d][f]( 0.00, altTxStart, 529, 1) | 1.4708 |
| Pld3 mm5
[u][d][f]( 0.07, altCassette, 143, 2) | -1.4661 |
| 8030499H02Rik mm5
[u][d][f]( 0.00, altTxStart, 265, 1) | 1.4610 |
| BC021509 mm5
[u][d][f]( 0.00, altTxStart, 301, 1) | 1.4608 |
| Gpi1 mm5
[u][d][f]( 0.00, altTxEnd, 408, 0) | 1.4605 |
| AK044103 mm2
[u][d][f]( 0.00, altTxEnd, 311, 2) | 0.9524 |
| AK044103 mm5
[u][d][f]( 0.00, altTxEnd, 609, 0) | 1.4597 |
| Zfp162 mm5
[u][d][f]( 0.99, altCassette, 76, 1) | -1.4586 |
| G7077638_a_at mm5
[u][d][f]( 0.21, altCassette, 96, 0) | -1.4585 |
| Ndel1 mm5
[u][d][f]( 0.00, altTxStart, 65, 2) | 1.4576 |
| Exoc7 mm5
[u][d][f]( 0.72, altCassette, 39, 0) | -1.4525 |
| AK029298 mm5
[u][d][f]( 0.00, altTxStart, 35, 2) | 1.4522 |
| Ranbp2 mm5
[u][d][f]( 0.00, altTxStart, 165, 0) | 1.4419 |
| D930046M03 mm5
[u][d][f]( 0.00, altTxStart, 259, 1) | 1.4416 |
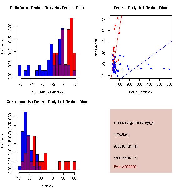
| 9330187M14Rik mm5
[u][d][f]( 0.00, altTxStart, 108, 0) | 2.4661 |
| 9330187M14Rik mm5
[u][d][f]( 0.00, altTxStart, 142, 1) | 1.4373 |
| BC027756 mm5
[u][d][f]( 0.00, altTxStart, 140, 2) | 1.4334 |
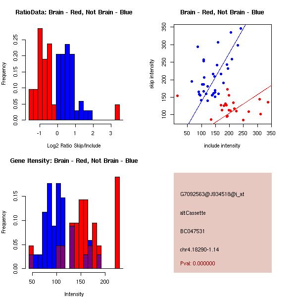
| BC047531 mm5
[u][d][f]( 0.02, altCassette, 116, 2) | -1.4331 |
| Lrrfip1 mm5
[u][d][f]( 0.08, altCassette, 39, 0) | 1.4325 |
| Mgrn1 mm5
[u][d][f]( 0.16, altCassette, 50, 2) | -1.4300 |
| Actr10 mm5
[u][d][f]( 0.09, altCassette, 73, 1) | -1.4075 |
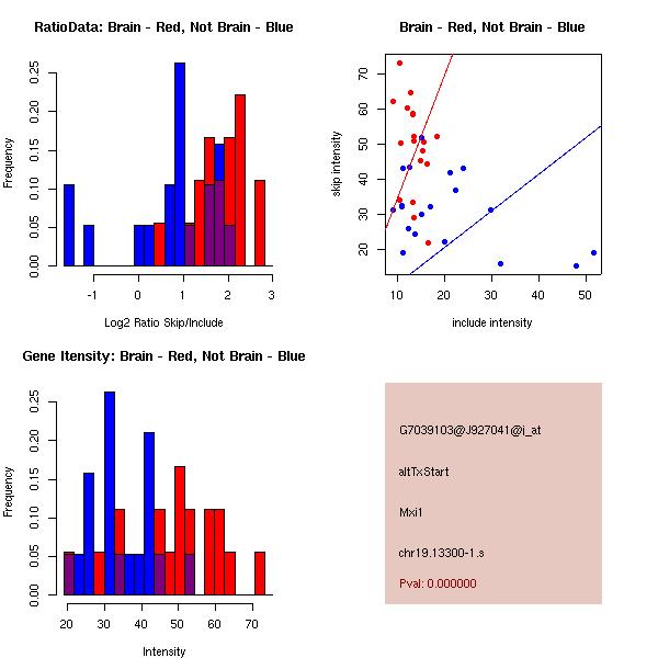
| Mxi1 mm5
[u][d][f]( 0.00, altTxStart, 134, 2) | 2.2789 |
| Mxi1 mm5
[u][d][f]( 0.00, altTxStart, 145, 1) | 1.4063 |
| Anp32a mm5
[u][d][f]( 0.00, altTxStart, 125, 2) | 1.4045 |
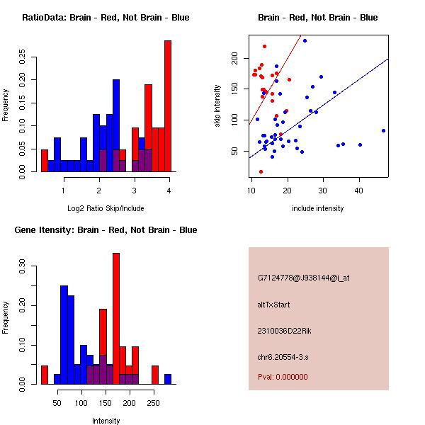
| 2310036D22Rik mm5
[u][d][f]( 0.00, altTxStart, 223, 1) | 1.3991 |
| Srr mm5
[u][d][f]( 0.00, altTxStart, 125, 2) | 1.3981 |
| Nfix mm5
[u][d][f]( 0.96, altCassette, 148, 1) | -1.3900 |
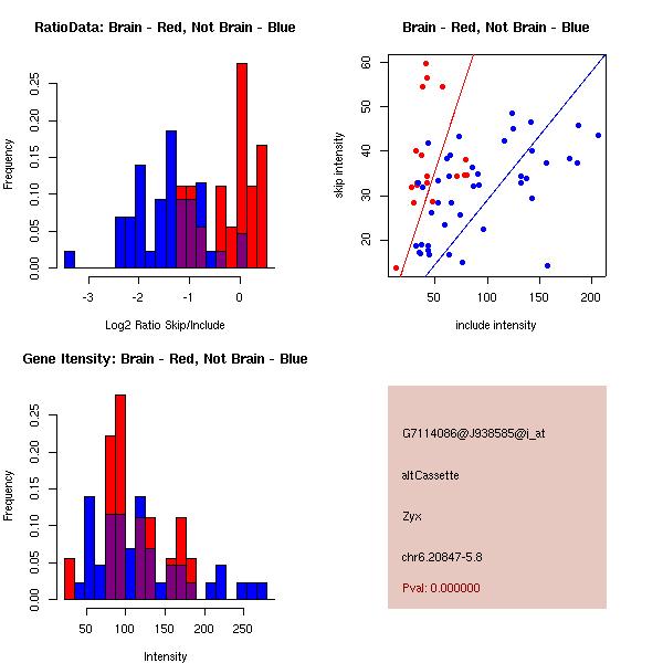
| Zyx mm5
[u][d][f]( 0.15, altCassette, 93, 0) | 1.3864 |
| D17Wsu155e mm5
[u][d][f]( 0.00, altTxStart, 135, 0) | 1.3814 |
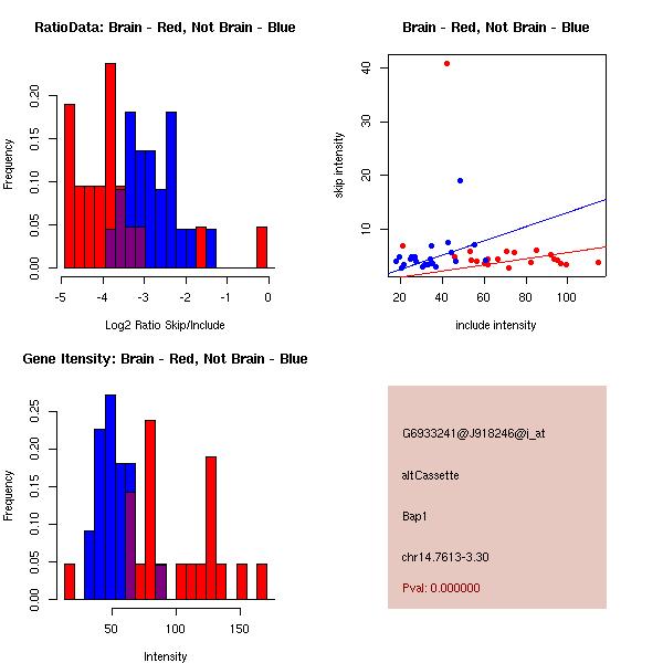
| Bap1 mm5
[u][d][f]( 0.16, altCassette, 93, 0) | -1.3790 |
| G6995877_a_at mm5
[u][d][f]( 0.26, altCassette, 67, 1) | -1.3747 |
| Galgt1 mm5
[u][d][f]( 0.00, altTxEnd, 135, 0) | 1.3739 |
| BC062928 mm2
[u][d][f]( 0.00, altMutEx, 467, 2) | -1.3732 |
| BC062928 mm5
[u][d][f]( 0.26, altCassette, 119, 2) | -1.3730 |
| Tlk1 mm5
[u][d][f]( 0.56, altCassette, 69, 0) | -1.3720 |
| BC061486 mm5
[u][d][f]( 0.00, altTxEnd, 2122, 1) | 1.3719 |
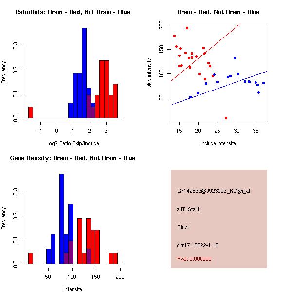
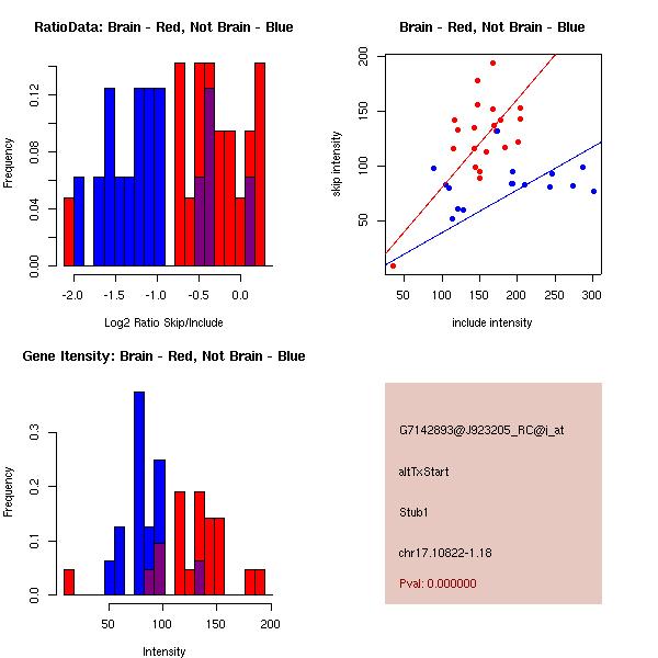
| Stub1 mm5
[u][d][f]( 0.00, altTxStart, 196, 1) | 1.2261 |
| Stub1 mm5
[u][d][f]( 0.00, altTxStart, 309, 0) | 1.3634 |
| C330016H24Rik mm5
[u][d][f]( 0.00, altTxStart, 298, 1) | 1.3576 |
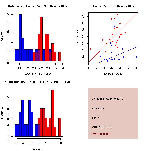
| Sfrs14 mm5
[u][d][f]( 0.41, altCassette, 87, 0) | 1.3543 |
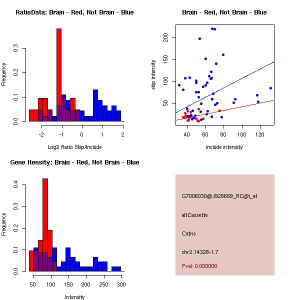
| Catns mm5
[u][d][f]( 0.92, altCassette, 289, 1) | -1.3525 |
| Pcm1 mm5
[u][d][f]( 0.13, altCassette, 135, 0) | -1.3479 |
| AK029298 mm5
[u][d][f]( 0.00, altTxStart, 241, 1) | 1.3470 |
| Fntb mm2
[u][d][f]( 0.00, altTxEnd, 221, 2) | -1.3453 |
| 2610110G12Rik mm5
[u][d][f]( 0.00, altTxStart, 96, 0) | 1.6212 |
| 2610110G12Rik mm5
[u][d][f]( 0.00, altTxStart, 137, 2) | 1.3448 |
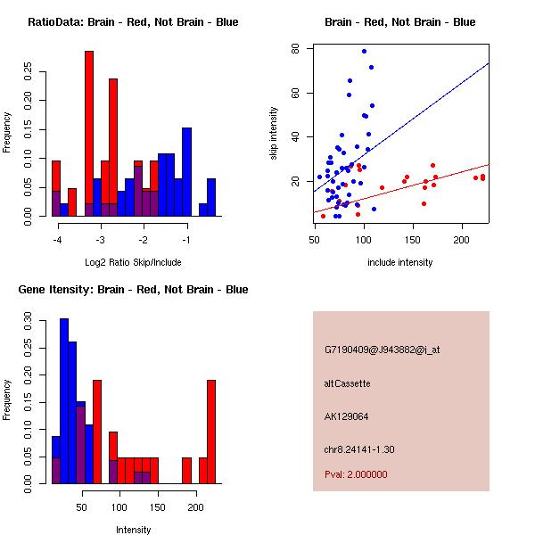
| AK129064 mm5
[u][d][f]( 0.01, altCassette, 225, 0) | -1.3446 |
| Ncor1 mm5
[u][d][f]( 0.00, altTxStart, 64, 1) | 1.8101 |
| Ncor1 mm5
[u][d][f]( 0.00, altTxStart, 360, 0) | 1.3421 |
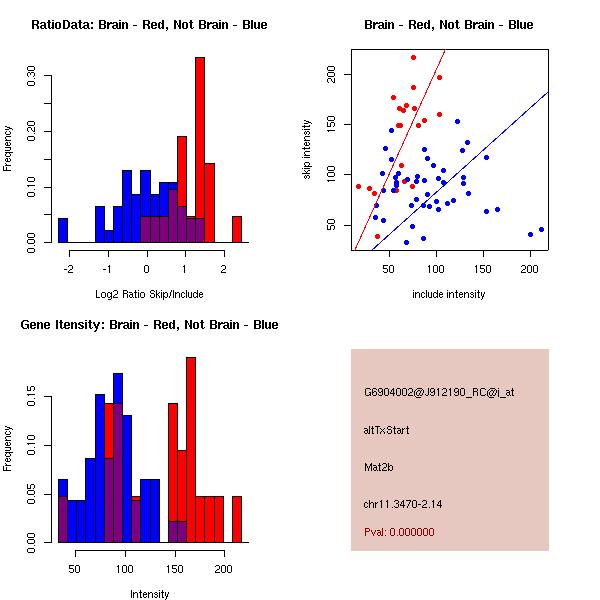
| Mat2b mm5
[u][d][f]( 0.00, altTxStart, 205, 1) | 1.3400 |
| Kif21b mm5
[u][d][f]( 0.38, altCassette, 180, 0) | -1.3392 |
| Mtch1 mm5
[u][d][f]( 0.00, alt5Prime, 51, 0) | -1.3366 |
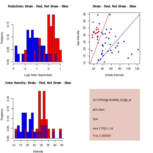
| Ttc4 mm5
[u][d][f]( 0.00, altTxStart, 177, 0) | 1.3358 |
| Atf2 mm5
[u][d][f]( 0.00, altMutEx, 294, 0) | 1.3188 |
| AK014534 mm5
[u][d][f]( 0.00, altTxStart, 225, 0) | 1.3154 |
| Pfn2 mm5
[u][d][f]( 0.00, alt3Prime, 7, 1) | -1.3027 |
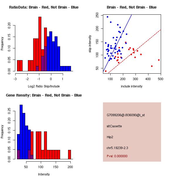
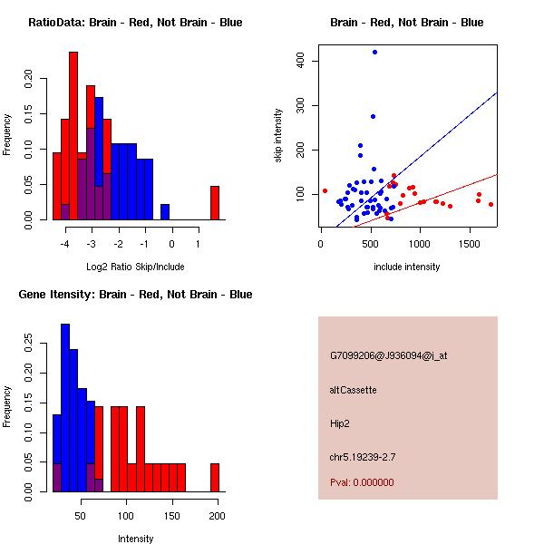
| Hip2 mm5
[u][d][f]( 0.89, altCassette, 94, 1) | -1.3008 |
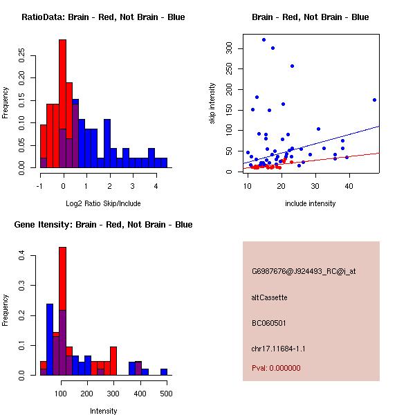
| BC060501 mm5
[u][d][f]( 0.05, altCassette, 75, 0) | -1.2994 |
| Fbxl3a mm5
[u][d][f]( 0.00, altTxStart, 170, 2) | 1.3894 |
| Fbxl3a mm5
[u][d][f]( 0.00, altTxStart, 219, 0) | 1.2945 |
| D12Ertd553e mm5
[u][d][f]( 0.00, altTxStart, 64, 1) | 1.2844 |
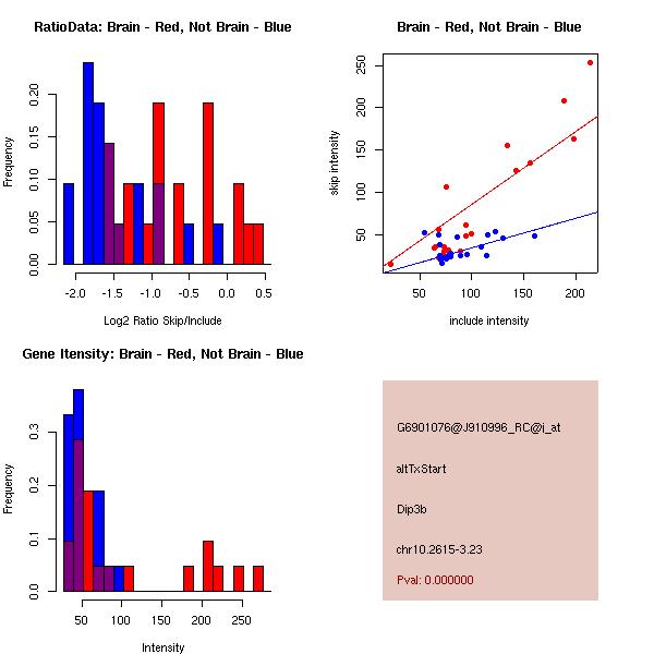
| Dip3b mm5
[u][d][f]( 0.00, altTxStart, 1118, 2) | 1.2765 |
| Hspa4 mm5
[u][d][f]( 0.00, altTxStart, 468, 0) | 1.2702 |
| Ube2e2 mm5
[u][d][f]( 0.15, altCassette, 51, 0) | -1.2690 |
| Grb10 mm5
[u][d][f]( 0.00, altTxStart, 199, 1) | 1.2656 |
| D13903 mm5
[u][d][f]( 0.00, altTxStart, 132, 0) | 1.2628 |
| Arfgap1 mm5
[u][d][f]( 0.00, altTxEnd, 343, 1) | 1.2602 |
| BC062934 mm5
[u][d][f]( 0.00, altTxEnd, 108, 0) | 1.2540 |
| AK077268 mm2
[u][d][f]( 0.00, altTxEnd, 1897, 1) | -1.2455 |
| Zfp62 mm5
[u][d][f]( 0.11, altCassette, 100, 1) | -1.2431 |
| Ttrap mm5
[u][d][f]( 0.00, altMutEx, 33, 0) | -1.2427 |
| 1200009B18Rik mm5
[u][d][f]( 0.00, alt5Prime, 43, 1) | -1.2419 |
| AK013560 mm5
[u][d][f]( 0.00, altTxStart, 74, 2) | 1.5325 |
| AK013560 mm5
[u][d][f]( 0.00, altTxStart, 176, 2) | 1.2410 |
| BC047531 mm5
[u][d][f]( 0.00, altTxEnd, 702, 0) | 1.2333 |
| BC044772 mm5
[u][d][f]( 0.00, altMutEx, 204, 0) | 1.2297 |
| L3mbtl3 mm5
[u][d][f]( 0.00, altTxStart, 100, 1) | 1.2276 |
| Ddef1 mm5
[u][d][f]( 0.75, altCassette, 171, 0) | 1.2218 |
| Gstz1 mm5
[u][d][f]( 0.14, altCassette, 68, 2) | 1.2151 |
| AK129214 mm5
[u][d][f]( 0.98, altCassette, 175, 1) | 1.2151 |
| BC037132 mm5
[u][d][f]( 0.00, altTxStart, 163, 1) | 1.2132 |
| Cpeb3 mm5
[u][d][f]( 0.00, altTxStart, 154, 1) | 1.2111 |
| Kifap3 mm5
[u][d][f]( 0.27, altCassette, 66, 0) | -1.2103 |
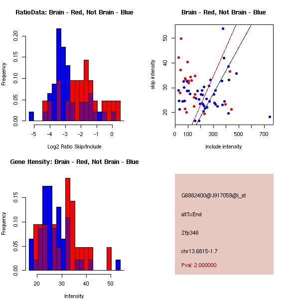
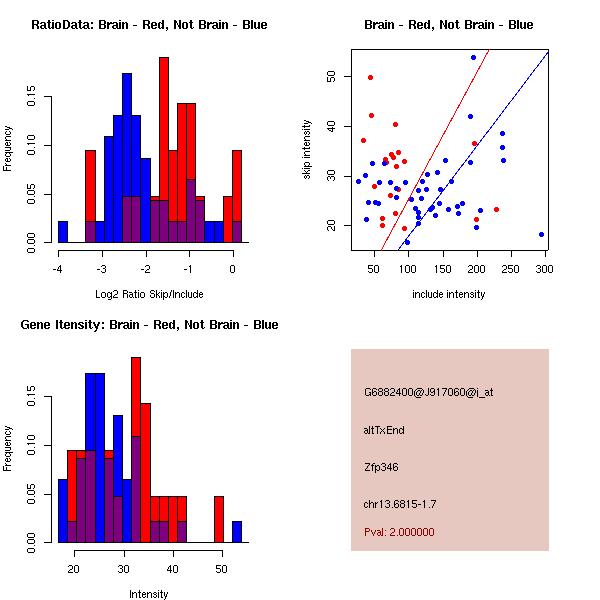
| Zfp346 mm5
[u][d][f]( 0.00, altTxEnd, 75, 0) | 1.4795 |
| Zfp346 mm5
[u][d][f]( 0.00, altTxEnd, 3030, 0) | 1.2094 |
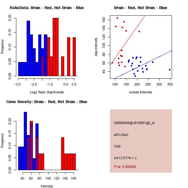
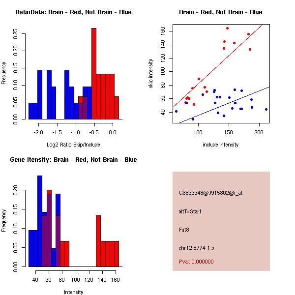
| Fut8 mm5
[u][d][f]( 0.00, altTxStart, 65, 2) | 1.5467 |
| Fut8 mm5
[u][d][f]( 0.00, altTxStart, 398, 2) | 1.2053 |
| Rabgap1 mm5
[u][d][f]( 0.00, alt3Prime, 139, 1) | -1.2041 |
| Cnot2 mm2
[u][d][f]( 0.00, altTxStart, 183, 0) | 1.1983 |
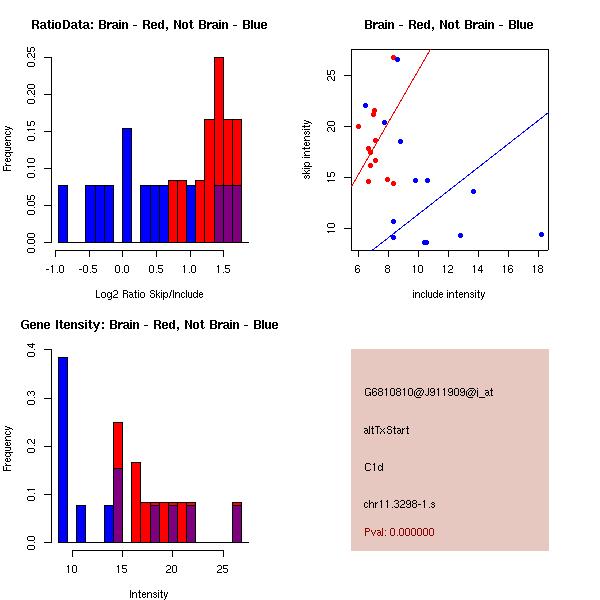
| C1d mm5
[u][d][f]( 0.00, altTxStart, 310, 1) | 1.1980 |
| Smyd3 mm5
[u][d][f]( 0.00, altTxStart, 134, 2) | 1.1951 |
| D12Ertd771e mm5
[u][d][f]( 0.00, altTxStart, 115, 1) | 1.1930 |
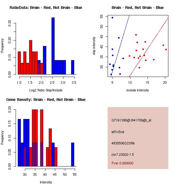
| 4930506D23Rik mm5
[u][d][f]( 0.00, altTxEnd, 242, 2) | -1.1879 |
| Hip2 mm5
[u][d][f]( 0.44, altCassette, 83, 2) | -1.1829 |
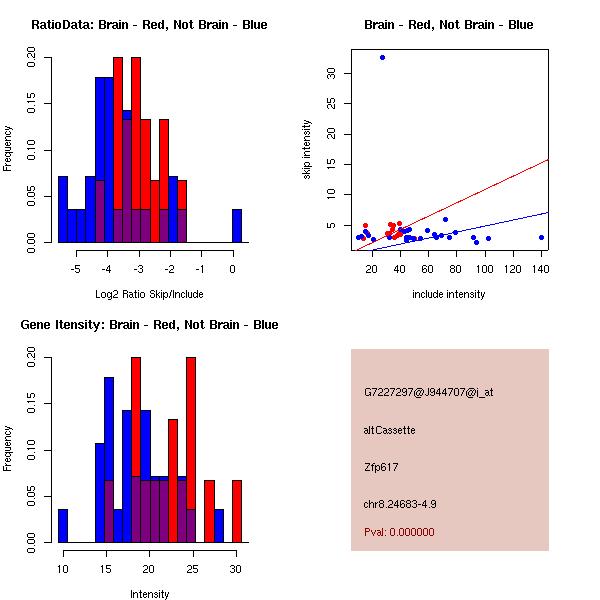
| Zfp617 mm5
[u][d][f]( 0.06, altCassette, 61, 1) | 1.1828 |
| Sf3b1 mm5
[u][d][f]( 0.00, altTxStart, 518, 2) | 1.1780 |
| 4921528E07Rik mm5
[u][d][f]( 0.00, alt3Prime, 64, 1) | -1.1775 |
| Acin1 mm5
[u][d][f]( 0.00, alt3Prime, 36, 0) | -1.1762 |
| Sfrs9 mm5
[u][d][f]( 0.00, altTxStart, 55, 1) | -1.1660 |
| Znrd1 mm5
[u][d][f]( 0.00, alt3Prime, 9, 0) | -1.1657 |
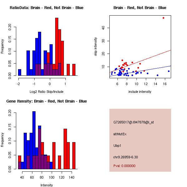
| Ubp1 mm5
[u][d][f]( 0.00, altMutEx, 25, 1) | 1.1649 |
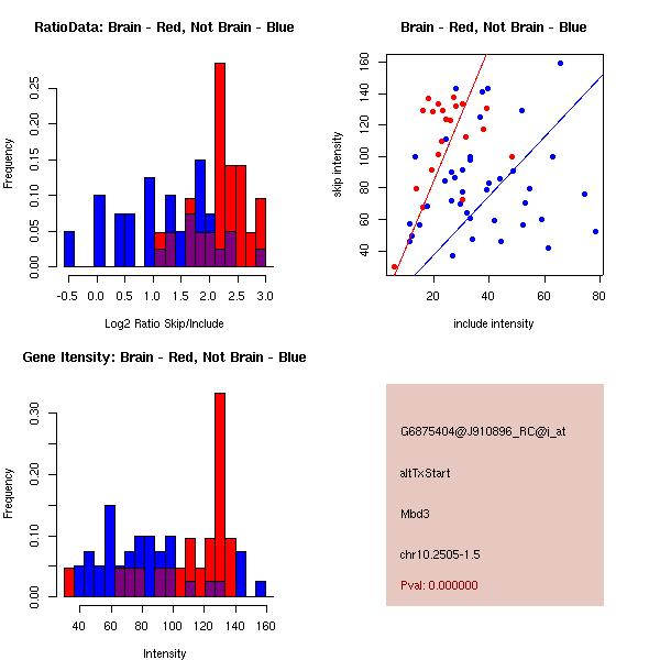
| Mbd3 mm5
[u][d][f]( 0.00, altTxStart, 352, 1) | 1.1591 |
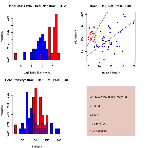
| Zdhhc3 mm5
[u][d][f]( 0.00, altTxEnd, 569, 2) | 1.1553 |
| Mkks mm5
[u][d][f]( 0.00, altTxStart, 95, 2) | 1.1511 |
| Drg2 mm5
[u][d][f]( 0.00, altTxEnd, 958, 1) | -1.1510 |
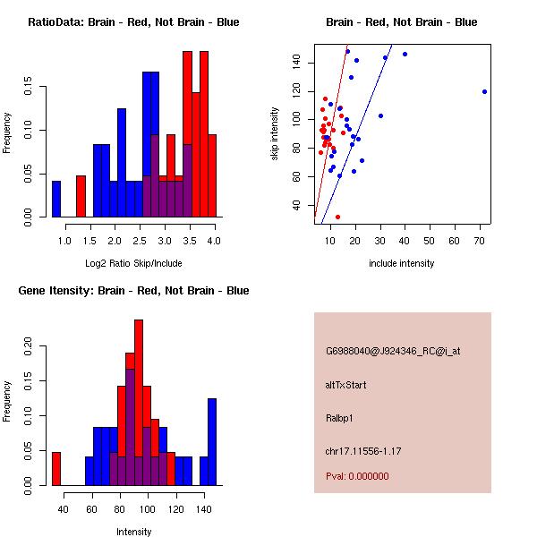
| Ralbp1 mm5
[u][d][f]( 0.00, altTxStart, 85, 1) | 1.1486 |
| G6874797_a_at mm5
[u][d][f]( 0.00, altTxStart, 98, 2) | -1.1481 |
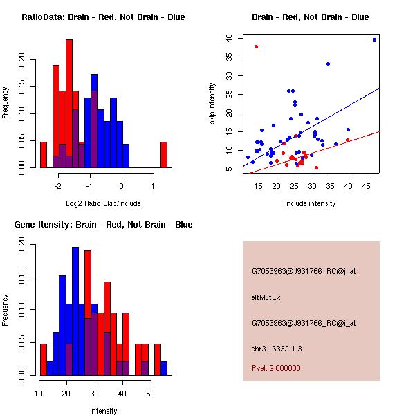
| G7053963_RC_a_at mm5
[u][d][f]( 0.00, altMutEx, 151, 1) | -1.1466 |
| BC061118 mm5
[u][d][f]( 0.00, altTxStart, 50, 2) | 0.9465 |
| BC061118 mm5
[u][d][f]( 0.00, altTxStart, 198, 0) | 1.1455 |
| 2810404F18Rik mm5
[u][d][f]( 0.37, altCassette, 154, 1) | -1.1410 |
| Thra mm5
[u][d][f]( 0.00, altTxEnd, 120, 0) | 1.1380 |
| Copg mm5
[u][d][f]( 0.03, altCassette, 53, 2) | -1.1366 |
| Cugbp2 mm5
[u][d][f]( 0.00, alt5Prime, 12, 0) | 1.1323 |
| Htatip mm5
[u][d][f]( 0.00, alt3Prime, 9, 0) | -1.1298 |
| Nol5a mm5
[u][d][f]( 0.00, altTxEnd, 92, 2) | 1.1298 |
| 1110049F12Rik mm5
[u][d][f]( 0.00, altTxStart, 342, 0) | -1.1294 |
| Reps1 mm5
[u][d][f]( 0.03, altCassette, 120, 0) | 1.1283 |
| Rbbp4 mm5
[u][d][f]( 0.13, altCassette, 148, 1) | -1.1266 |
| Hnrpd mm5
[u][d][f]( 0.99, altCassette, 107, 2) | 1.1230 |
| Sin3b mm5
[u][d][f]( 0.00, altTxEnd, 2314, 1) | -1.1201 |
| G7046357_a_at mm5
[u][d][f]( 0.00, altTxStart, 124, 1) | 1.1137 |
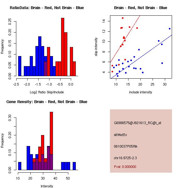
| 0610037P05Rik mm5
[u][d][f]( 0.00, altMutEx, 283, 1) | 1.1136 |
| Fars1 mm5
[u][d][f]( 0.00, altTxEnd, 283, 1) | 1.1108 |
| Hipk3 mm5
[u][d][f]( 0.00, altTxStart, 135, 0) | 1.9152 |
| Hipk3 mm5
[u][d][f]( 0.00, altTxStart, 287, 2) | 1.1072 |
| Mtf2 mm5
[u][d][f]( 0.00, altMutEx, 8, 2) | -1.1057 |
| Nfe2l2 mm5
[u][d][f]( 0.00, altTxStart, 290, 2) | -1.1055 |
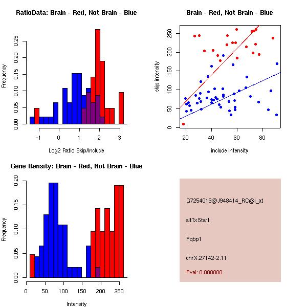
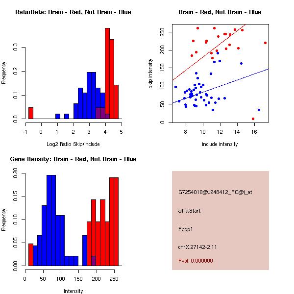
| Pqbp1 mm5
[u][d][f]( 0.00, altTxStart, 50, 2) | 1.1731 |
| Pqbp1 mm5
[u][d][f]( 0.00, altTxStart, 63, 0) | 2.0580 |
| Pqbp1 mm5
[u][d][f]( 0.00, altTxStart, 130, 1) | 1.1020 |
| Rabep1 mm5
[u][d][f]( 0.00, altTxEnd, 1418, 2) | 1.1015 |
| Hsp105 mm5
[u][d][f]( 0.52, altCassette, 132, 0) | -1.1010 |
| AK122316 mm5
[u][d][f]( 0.13, altCassette, 135, 0) | -1.1005 |
| Pdgfa mm5
[u][d][f]( 0.00, altTxStart, 81, 0) | 1.1002 |
| Arfgap1 mm5
[u][d][f]( 0.08, altCassette, 30, 0) | -1.0987 |
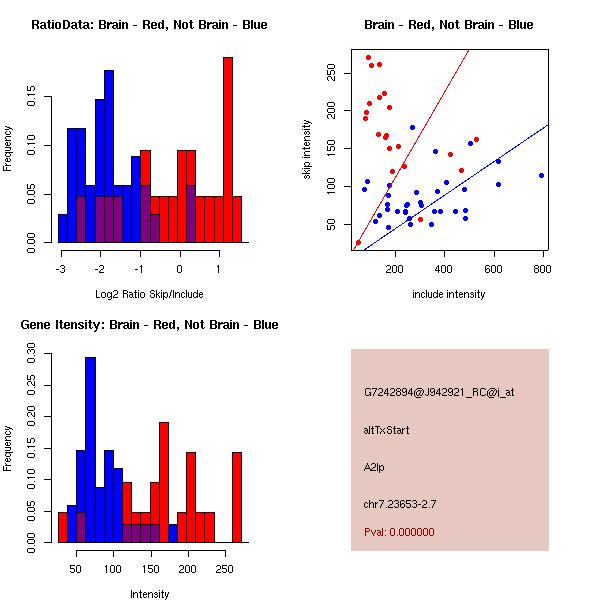
| A2lp mm5
[u][d][f]( 0.00, altTxStart, 52, 1) | 1.4019 |
| A2lp mm5
[u][d][f]( 0.00, altTxStart, 58, 1) | 1.5687 |
| A2lp mm5
[u][d][f]( 0.00, altTxStart, 465, 0) | 1.0984 |
| AK029298 mm5
[u][d][f]( 0.00, altTxEnd, 415, 1) | 1.0978 |
| 5133401N09Rik mm5
[u][d][f]( 0.15, altCassette, 44, 2) | 1.0958 |
| Mxi1 mm5
[u][d][f]( 0.00, alt3Prime, 41, 2) | 1.0892 |
| Mark2 mm2
[u][d][f]( 0.00, altTxStart, 185, 2) | 1.0879 |
| Psap mm5
[u][d][f]( 0.00, altTxStart, 225, 0) | 1.0864 |
| Snx3 mm5
[u][d][f]( 0.07, altCassette, 96, 0) | -1.0857 |
| Ldb1 mm5
[u][d][f]( 0.00, altTxStart, 194, 2) | 1.0796 |
| 1700012B15Rik mm5
[u][d][f]( 0.05, altCassette, 176, 2) | -1.0794 |
| Map3k3 mm5
[u][d][f]( 0.18, altCassette, 132, 0) | 1.0657 |
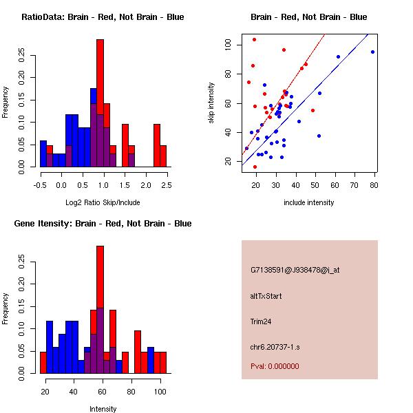
| BC023037 mm5
[u][d][f]( 0.00, altTxStart, 38, 2) | 1.0581 |
| Surf4 mm5
[u][d][f]( 0.05, altCassette, 77, 2) | 1.0529 |
| 0610012D09Rik mm5
[u][d][f]( 0.00, altTxEnd, 704, 2) | 1.0459 |
| Ncor2 mm2
[u][d][f]( 0.00, altMutEx, 657, 0) | -1.0447 |
| G6838595_a_at mm5
[u][d][f]( 0.00, altTxStart, 100, 1) | 1.0443 |
| 2310076K21Rik mm5
[u][d][f]( 0.00, altTxStart, 84, 0) | 1.0379 |
| E030011O05Rik mm5
[u][d][f]( 0.00, altTxStart, 518, 2) | 1.0354 |
| G6911212_a_at mm5
[u][d][f]( 0.14, altCassette, 107, 2) | 1.0350 |
| Stag1 mm5
[u][d][f]( 0.04, altCassette, 49, 1) | -1.0300 |
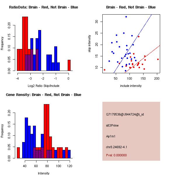
| Ap1m1 mm5
[u][d][f]( 0.00, alt3Prime, 14, 2) | -1.0255 |
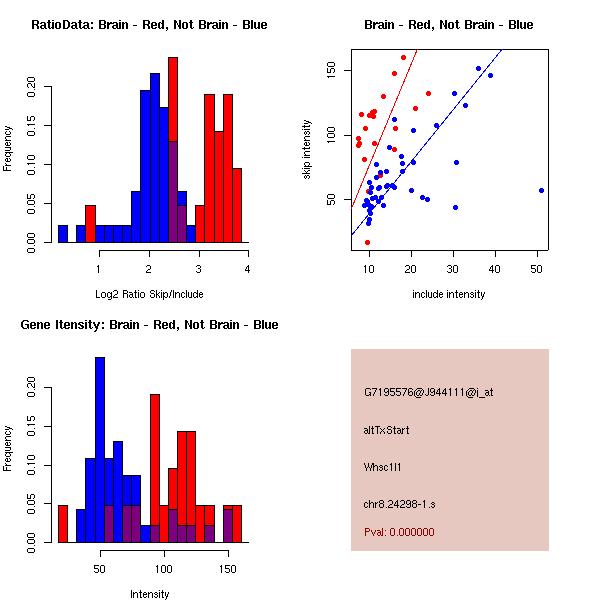
| Whsc1l1 mm5
[u][d][f]( 0.00, altTxStart, 354, 0) | 1.0223 |
| Fkbp8 mm5
[u][d][f]( 0.00, altTxEnd, 584, 2) | 1.0200 |
| BC011468 mm5
[u][d][f]( 0.00, altTxStart, 57, 0) | 1.0195 |
| Ddx5 mm5
[u][d][f]( 0.00, altTxStart, 159, 0) | 1.0190 |
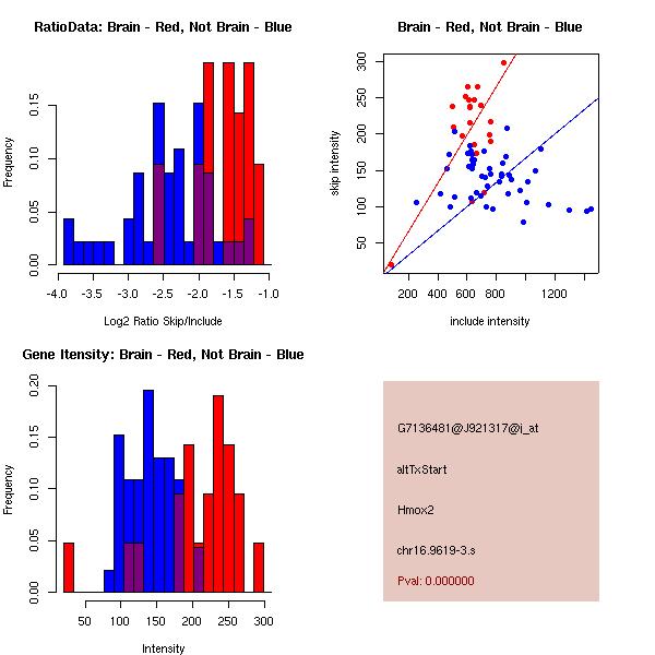
| Hmox2 mm5
[u][d][f]( 0.00, altTxStart, 75, 0) | 1.0142 |
| Cd2ap mm5
[u][d][f]( 0.00, altTxStart, 152, 2) | -1.0129 |
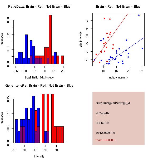
| BC062107 mm5
[u][d][f]( 0.47, altCassette, 150, 0) | 1.0128 |
| Cept1 mm5
[u][d][f]( 0.00, altMutEx, 0, 0) | -1.0120 |
| Samhd1 mm5
[u][d][f]( 0.10, altCassette, 123, 0) | 1.0116 |
| 4432404J10Rik mm5
[u][d][f]( 0.00, altCassette, 57, 0) | 1.0115 |
| Fn1 mm5
[u][d][f]( 0.89, altCassette, 273, 0) | -1.0105 |
| 3100002P13Rik mm5
[u][d][f]( 0.00, altMutEx, 21, 0) | -1.0065 |
| Gphn mm5
[u][d][f]( 0.00, altTxEnd, 328, 1) | -1.0046 |
| Gabarapl1 mm5
[u][d][f]( 0.00, altTxStart, 133, 1) | 2.3188 |
| Gabarapl1 mm5
[u][d][f]( 0.00, altTxStart, 362, 2) | 1.0012 |
| Mdm4 mm5
[u][d][f]( 0.35, altCassette, 78, 0) | 0.9988 |
| G6934505_RC_a_at mm5
[u][d][f]( 0.00, alt5Prime, 7, 1) | 0.9963 |
| Add1 mm5
[u][d][f]( 0.12, altCassette, 279, 0) | 0.9955 |
| Mlf2 mm5
[u][d][f]( 0.00, altMutEx, 21, 0) | -0.9849 |
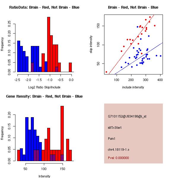
| Pum1 mm5
[u][d][f]( 0.00, altTxStart, 75, 0) | 2.1908 |
| Pum1 mm5
[u][d][f]( 0.00, altTxStart, 92, 2) | 0.9820 |
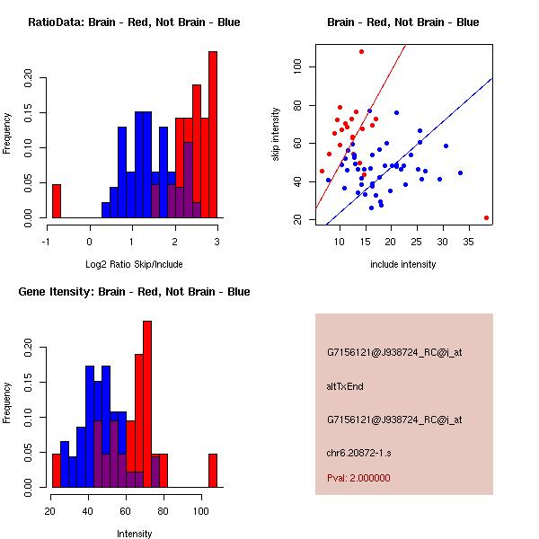
| G7156121_RC_a_at mm5
[u][d][f]( 0.00, altTxEnd, 85, 1) | 0.9811 |
| Polg mm5
[u][d][f]( 0.00, altTxStart, 158, 2) | 0.9810 |
| H2afy mm5
[u][d][f]( 0.00, altMutEx, 9, 0) | -0.9773 |
| Add1 mm5
[u][d][f]( 0.41, altCassette, 87, 0) | -0.9753 |
| Cdc37 mm5
[u][d][f]( 0.00, altTxEnd, 39, 0) | 0.9738 |
| Usf2 mm5
[u][d][f]( 0.35, altCassette, 201, 0) | -0.9696 |
| Ncoa1 mm5
[u][d][f]( 0.16, altCassette, 76, 1) | 0.9687 |
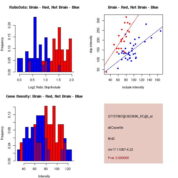
| Brd2 mm5
[u][d][f]( 0.84, altCassette, 92, 2) | 0.9681 |
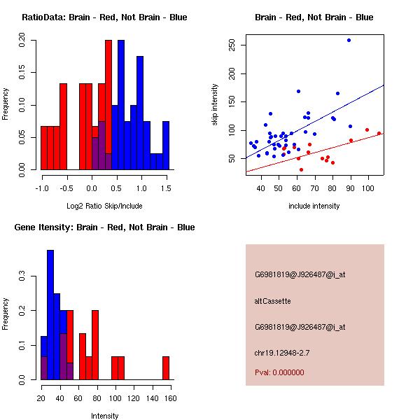
| G6981819_a_at mm5
[u][d][f]( 0.16, altCassette, 290, 2) | -0.9636 |
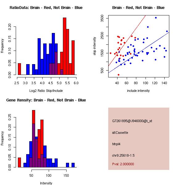
| Mrpl4 mm5
[u][d][f]( 0.17, altCassette, 24, 0) | 0.9633 |
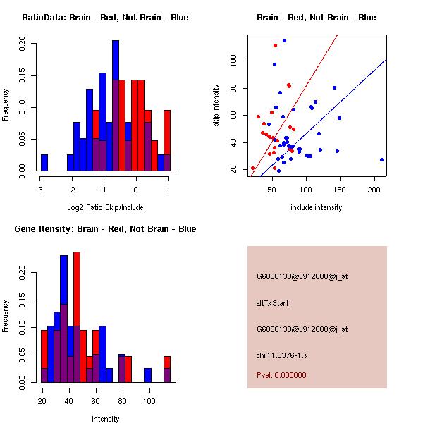
| G6856133_a_at mm5
[u][d][f]( 0.00, altTxStart, 484, 1) | 0.9605 |
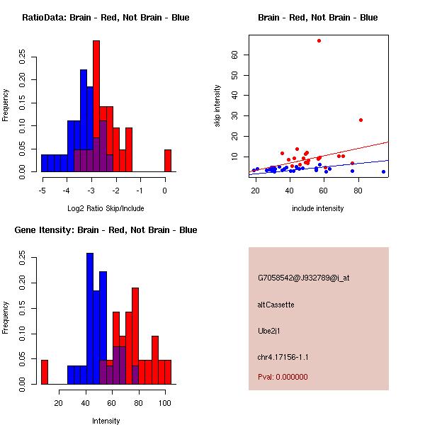
| Ube2j1 mm5
[u][d][f]( 0.19, altCassette, 120, 0) | 0.9583 |
| BC023037 mm5
[u][d][f]( 0.00, altTxStart, 298, 1) | 0.9568 |
| AK122494 mm5
[u][d][f]( 0.00, altTxEnd, 226, 1) | 0.9558 |
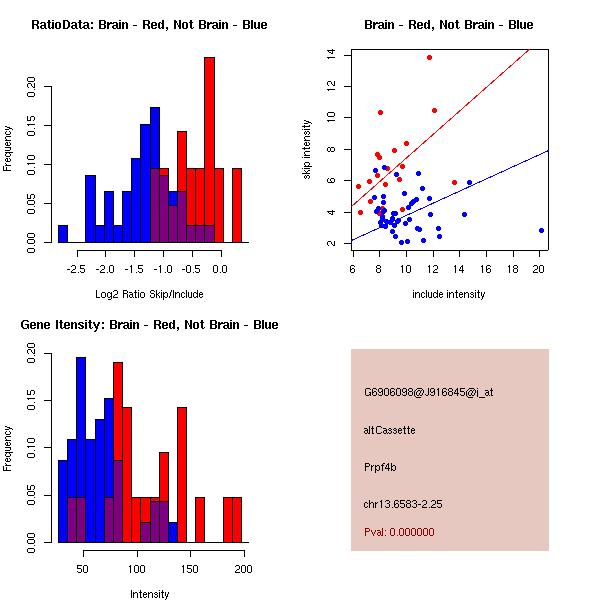
| Prpf4b mm5
[u][d][f]( 0.93, altCassette, 141, 0) | 0.9533 |
| G6898185_a_at mm5
[u][d][f]( 0.00, altTxStart, 419, 2) | 0.9525 |
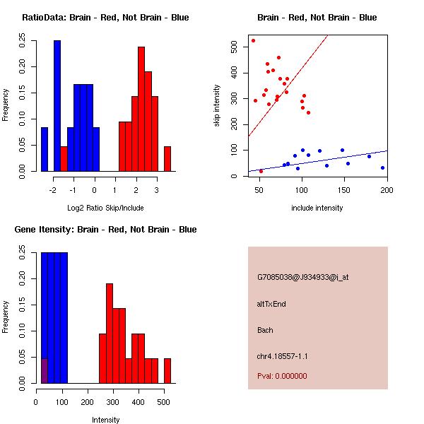
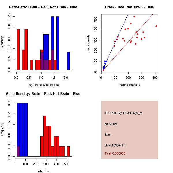
| Bach mm5
[u][d][f]( 0.00, altTxEnd, 85, 1) | 3.1302 |
| Bach mm5
[u][d][f]( 0.00, altTxEnd, 1242, 0) | -0.9512 |
| Ppp2r5c mm5
[u][d][f]( 0.04, altCassette, 117, 0) | 0.9453 |
| AK032084 mm5
[u][d][f]( 0.04, altCassette, 145, 1) | -0.9356 |
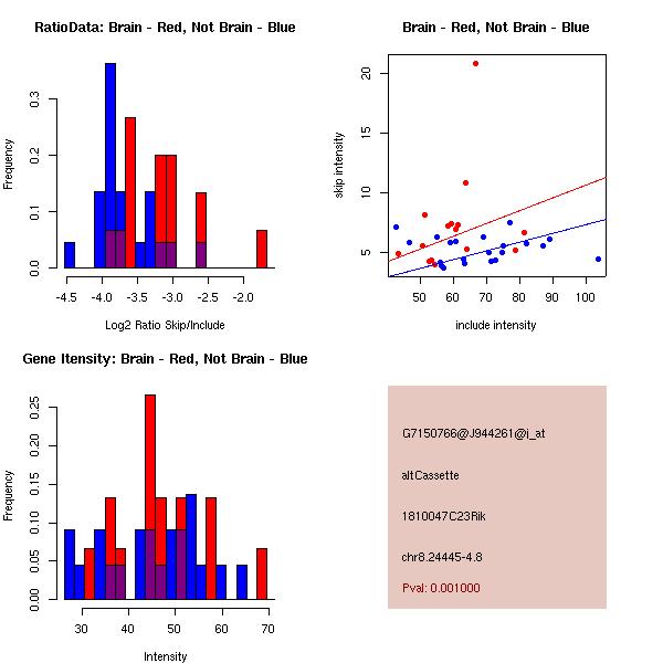
| D030051N19Rik mm5
[u][d][f]( 0.00, altTxEnd, 190, 1) | 0.7181 |
| D030051N19Rik mm5
[u][d][f]( 0.00, altTxEnd, 1643, 2) | 0.9274 |
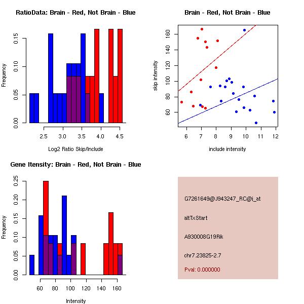
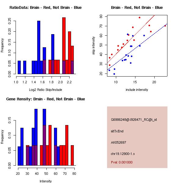
| A930008G19Rik mm5
[u][d][f]( 0.00, altTxStart, 58, 1) | 1.1621 |
| A930008G19Rik mm5
[u][d][f]( 0.00, altTxStart, 121, 1) | 1.6937 |
| A930008G19Rik mm5
[u][d][f]( 0.00, altTxStart, 235, 1) | 0.9273 |
| BC008155 mm5
[u][d][f]( 0.00, altTxStart, 44, 2) | 0.9265 |
| Mrpl49 mm5
[u][d][f]( 0.00, altTxEnd, 260, 2) | 0.9264 |
| Ctbp1 mm5
[u][d][f]( 0.33, altCassette, 193, 1) | -0.9218 |
| G7151644_RC_a_at mm2
[u][d][f]( 0.00, alt5Prime, 150, 0) | -0.9215 |
| Ap1b1 mm2
[u][d][f]( 0.00, altTxEnd, 1763, 2) | 0.9181 |
| 5730453I16Rik mm5
[u][d][f]( 0.99, altCassette, 66, 0) | 0.9169 |
| Ralgds mm5
[u][d][f]( 0.00, alt3Prime, 174, 0) | -0.9144 |
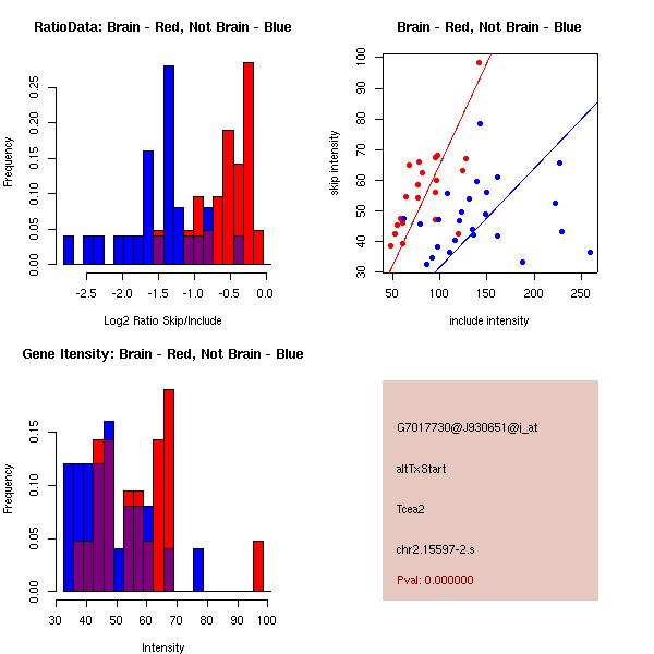
| Tcea2 mm5
[u][d][f]( 0.00, altTxStart, 156, 0) | 1.0883 |
| Tcea2 mm5
[u][d][f]( 0.00, altTxStart, 369, 0) | 0.9135 |
| Elf2 mm5
[u][d][f]( 0.10, altCassette, 233, 2) | 0.9114 |
| G7091230_a_at mm5
[u][d][f]( 0.49, altCassette, 129, 0) | -0.9089 |
| Trpm7 mm5
[u][d][f]( 0.00, altTxStart, 278, 2) | -0.9048 |
| 2310047O13Rik mm2
[u][d][f]( 0.00, altTxStart, 435, 0) | 0.9046 |
| G7230559_RC_a_at mm5
[u][d][f]( 0.00, altTxStart, 273, 0) | 0.8953 |
| G7134392_a_at mm2
[u][d][f](-1.00, altCassette, 104, 2) | -0.8862 |
| Zfp403 mm5
[u][d][f]( 0.00, alt3Prime, 22, 1) | 0.8860 |
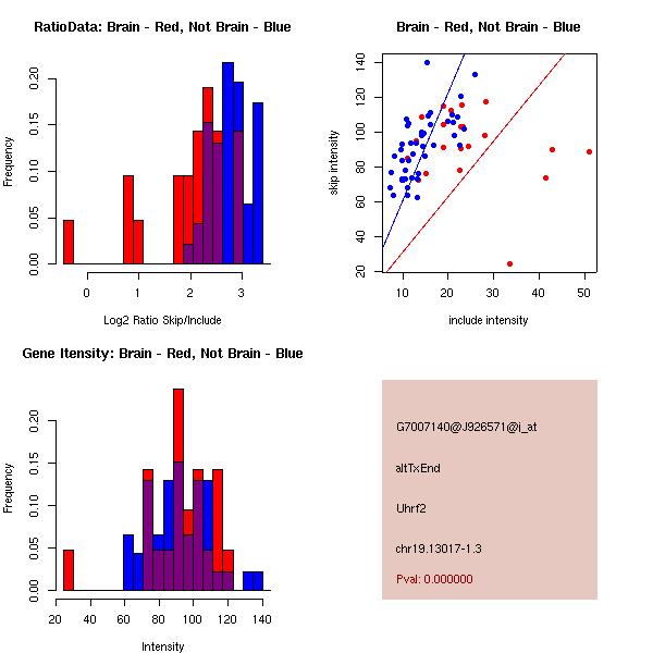
| Uhrf2 mm5
[u][d][f]( 0.00, altTxEnd, 631, 1) | -0.8836 |
| 4632412E09Rik mm5
[u][d][f]( 0.00, altTxStart, 97, 1) | -0.8813 |
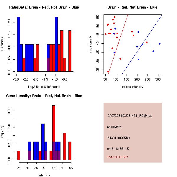
| B430110G05Rik mm5
[u][d][f]( 0.00, altTxStart, 258, 0) | 0.8653 |
| B430110G05Rik mm5
[u][d][f]( 0.00, altTxStart, 314, 2) | 1.3291 |
| B430110G05Rik mm5
[u][d][f]( 0.00, altTxStart, 381, 0) | 0.8758 |
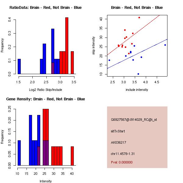
| AK036217 mm5
[u][d][f]( 0.00, altTxStart, 293, 2) | 0.8702 |
| Mea1 mm5
[u][d][f]( 0.00, altTxStart, 72, 0) | 0.8447 |
| Mea1 mm5
[u][d][f]( 0.00, altTxStart, 111, 0) | 0.8686 |
| Ash2l mm5
[u][d][f]( 0.00, altTxStart, 186, 0) | 0.8682 |
| G7088259_RC_a_at mm2
[u][d][f]( 0.00, altTxStart, 149, 2) | 0.8615 |
| Fbxo14 mm5
[u][d][f]( 0.00, altTxEnd, 1363, 1) | -0.8595 |
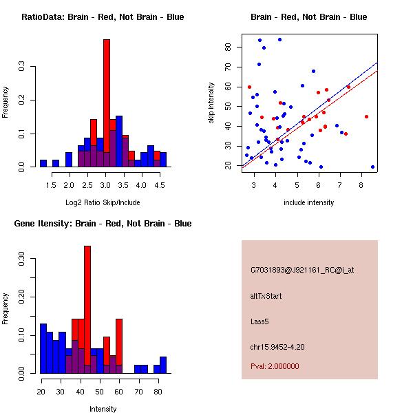
| Lass5 mm5
[u][d][f]( 0.00, altTxStart, 205, 1) | -0.8595 |
| Mdh1 mm2
[u][d][f]( 0.00, altMutEx, 239, 2) | -0.8512 |
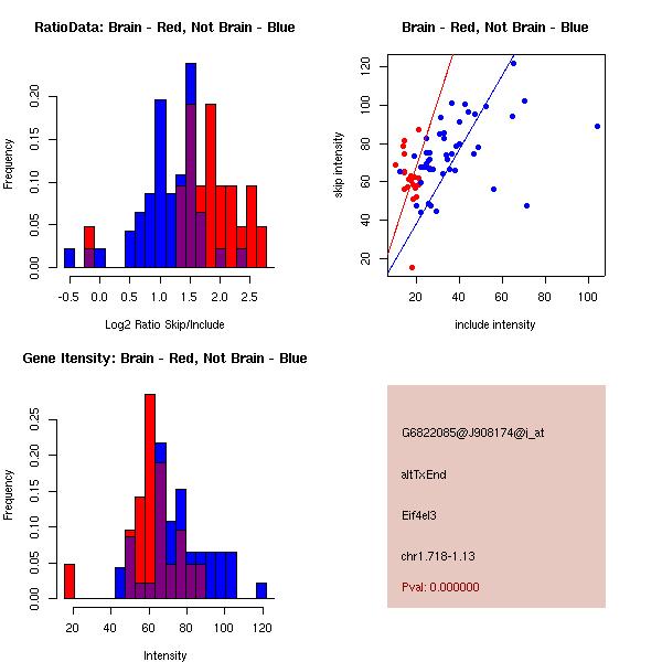
| Eif4el3 mm5
[u][d][f]( 0.00, altTxEnd, 253, 1) | 0.8456 |
| G7133846_a_at mm2
[u][d][f]( 0.00, altTxEnd, 244, 1) | 0.8425 |
| Fntb mm5
[u][d][f]( 0.00, altTxStart, 266, 2) | 0.8419 |
| G7076211_a_at mm2
[u][d][f]( 0.00, altTxEnd, 1258, 1) | 0.8394 |
| Nme1 mm5
[u][d][f]( 0.24, altCassette, 113, 2) | -0.8389 |
| Atp2b3 mm5
[u][d][f]( 0.00, altTxEnd, 166, 1) | 3.0718 |
| Atp2b3 mm5
[u][d][f]( 0.00, altTxEnd, 210, 0) | 0.8350 |
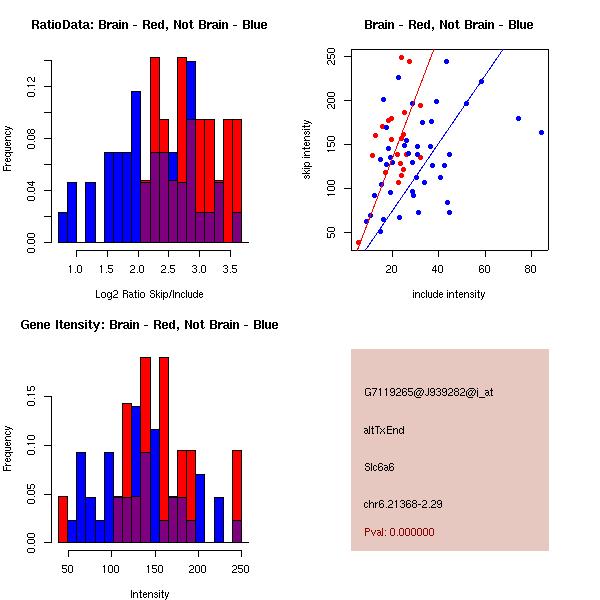
| Slc6a6 mm5
[u][d][f]( 0.00, altTxEnd, 772, 1) | 0.8345 |
| 4930506D23Rik mm5
[u][d][f]( 0.00, altTxStart, 76, 1) | 0.8305 |
| Arfgap1 mm5
[u][d][f]( 0.05, altCassette, 110, 2) | -0.8305 |
| Dnm1l mm5
[u][d][f]( 0.00, altTxStart, 67, 1) | 2.6687 |
| Dnm1l mm5
[u][d][f]( 0.00, altTxStart, 245, 2) | 0.8185 |
| Mark2 mm5
[u][d][f]( 0.67, altCassette, 162, 0) | -0.8174 |
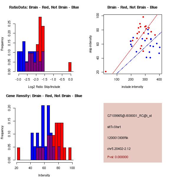
| 1200013I08Rik mm5
[u][d][f]( 0.00, altTxStart, 208, 1) | 0.8140 |
| 2400003B06Rik mm5
[u][d][f]( 0.00, altTxStart, 205, 1) | -0.8042 |
| 1700034P14Rik mm5
[u][d][f]( 0.31, altCassette, 224, 2) | -0.8032 |
| Tnpo2 mm5
[u][d][f]( 0.00, altTxEnd, 576, 0) | 0.7991 |
| Arcp mm5
[u][d][f]( 0.00, altTxEnd, 274, 1) | 0.7921 |
| AA960558 mm5
[u][d][f]( 0.00, altTxEnd, 206, 2) | 0.7833 |
| G6879993_RC_a_at mm5
[u][d][f]( 0.00, altTxStart, 136, 1) | -0.7716 |
| AK078916 mm5
[u][d][f]( 0.00, altTxEnd, 605, 2) | 0.7699 |
| BC022615 mm5
[u][d][f]( 0.00, altTxStart, 112, 1) | 0.7658 |
| Bcl7a mm5
[u][d][f]( 0.00, altTxEnd, 1731, 0) | 0.7644 |
| Slc1a3 mm5
[u][d][f]( 0.00, altTxStart, 392, 2) | -0.7630 |
| C330023M02Rik mm5
[u][d][f]( 0.00, altTxEnd, 617, 2) | 0.8975 |
| C330023M02Rik mm5
[u][d][f]( 0.00, altTxEnd, 683, 2) | 0.7628 |
| Lypla2 mm5
[u][d][f]( 0.00, altTxStart, 87, 0) | 0.7555 |
| Anp32e mm5
[u][d][f]( 0.00, altTxStart, 362, 2) | 0.7482 |
| 2810408E11Rik mm5
[u][d][f]( 0.04, altCassette, 217, 1) | -0.7480 |
| BC057625 mm5
[u][d][f]( 0.00, altTxEnd, 539, 2) | -0.7454 |
| 5730551F12Rik mm5
[u][d][f]( 0.00, altTxStart, 41, 2) | 0.7447 |
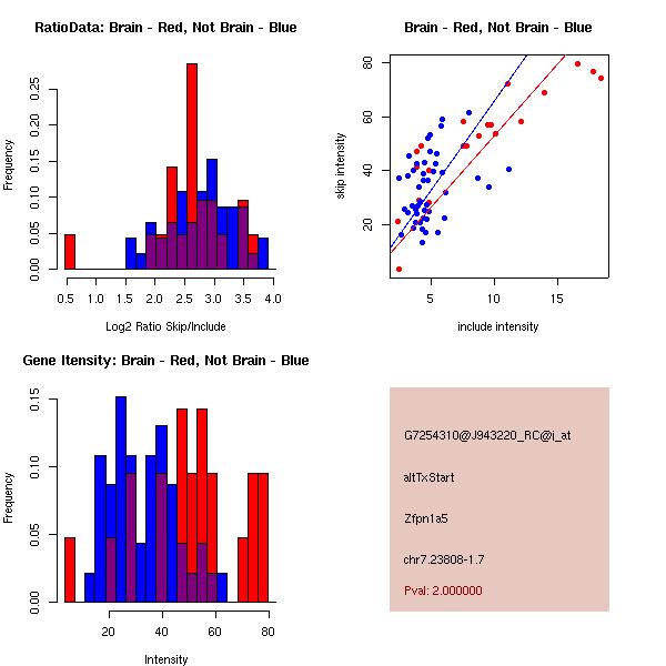
| Zfpn1a5 mm5
[u][d][f]( 0.00, altTxStart, 132, 0) | -0.7322 |
| AI854408 mm5
[u][d][f]( 0.00, altTxEnd, 1009, 1) | -0.7318 |
| 1810055E12Rik mm5
[u][d][f]( 0.00, alt3Prime, 20, 2) | -0.7250 |
| Wbp4 mm2
[u][d][f]( 0.00, altTxStart, 247, 1) | 0.7103 |
| Psmd4 mm5
[u][d][f]( 0.00, alt5Prime, 9, 0) | 0.7097 |
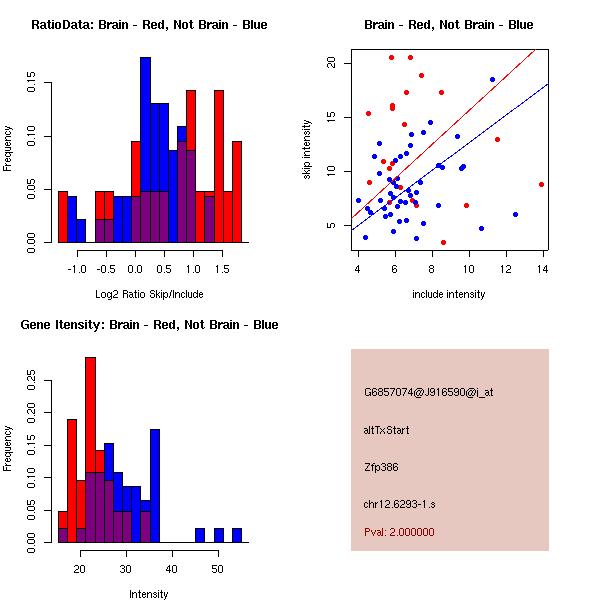
| Zfp386 mm5
[u][d][f]( 0.00, altTxStart, 134, 2) | 0.7074 |
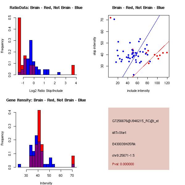
| E430039K05Rik mm5
[u][d][f]( 0.00, altTxStart, 216, 0) | -0.7066 |
| AK043551 mm5
[u][d][f]( 0.00, altTxStart, 122, 2) | 0.6983 |
| Dctn4 mm5
[u][d][f]( 0.00, altTxEnd, 419, 2) | 0.6963 |
| Dctn3 mm2
[u][d][f]( 0.00, altTxStart, 375, 0) | -0.6938 |
| 1810047C23Rik mm5
[u][d][f]( 0.02, altCassette, 158, 2) | 0.6878 |
| Pparbp mm5
[u][d][f]( 0.00, altTxStart, 225, 0) | 0.6817 |
| Fgf1 mm5
[u][d][f]( 0.00, altTxStart, 383, 2) | -0.6761 |
| Nap1l1 mm5
[u][d][f]( 0.00, altTxEnd, 840, 0) | -0.6709 |
| G7177679_a_at mm2
[u][d][f]( 0.00, altTxEnd, 944, 2) | 0.6657 |
| G7139746_a_at mm5
[u][d][f]( 0.00, altTxEnd, 228, 0) | -0.4784 |
| G7139746_a_at mm5
[u][d][f]( 0.00, altTxEnd, 307, 1) | 0.6624 |
| 2300004C15Rik mm5
[u][d][f]( 0.14, altCassette, 213, 0) | -0.6564 |
| Sgta mm5
[u][d][f]( 0.00, altTxStart, 232, 1) | -0.6519 |
| Gstm5 mm5
[u][d][f]( 0.00, altMutEx, 9, 0) | -0.6481 |
| 2810423G08Rik mm5
[u][d][f]( 0.00, altTxEnd, 1010, 2) | 0.6418 |
| Nfix mm5
[u][d][f]( 0.75, altCassette, 123, 0) | -0.6353 |
| B930006L02Rik mm2
[u][d][f]( 0.00, altTxEnd, 1039, 1) | -0.6295 |
| AK079086 mm5
[u][d][f]( 0.00, alt3Prime, 141, 0) | 0.6116 |
| Ufd1l mm5
[u][d][f]( 0.03, altCassette, 165, 0) | 0.6111 |
| 0910001K20Rik mm5
[u][d][f]( 0.00, altTxEnd, 3390, 0) | -0.6056 |
| Pfkp mm5
[u][d][f]( 0.00, altTxStart, 139, 1) | 2.6713 |
| Pfkp mm5
[u][d][f]( 0.00, altTxStart, 1788, 0) | 0.6034 |
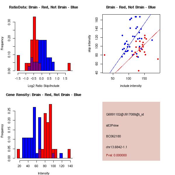
| BC062180 mm5
[u][d][f]( 0.00, alt3Prime, 6, 0) | -0.6030 |
| Enpp5 mm5
[u][d][f]( 0.00, altTxStart, 107, 2) | -0.6002 |
| 1200007B05Rik mm5
[u][d][f]( 0.00, altTxStart, 384, 0) | 0.5930 |
| Gna13 mm2
[u][d][f]( 0.00, altTxEnd, 1774, 1) | 0.5859 |
| 9130023F12Rik mm2
[u][d][f]( 0.00, altTxStart, 1129, 1) | 0.5846 |
| Zmynd11 mm5
[u][d][f]( 0.98, altCassette, 162, 0) | -0.5796 |
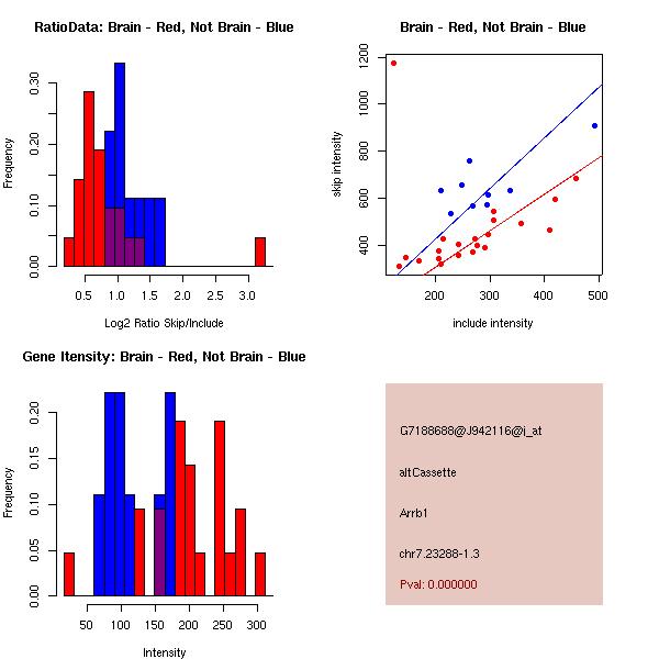
| Arrb1 mm5
[u][d][f]( 0.60, altCassette, 24, 0) | -0.5639 |
| Abcc5 mm5
[u][d][f]( 0.00, altTxStart, 1588, 1) | 0.5611 |
| Rai12 mm5
[u][d][f]( 0.05, altCassette, 221, 2) | -0.5564 |
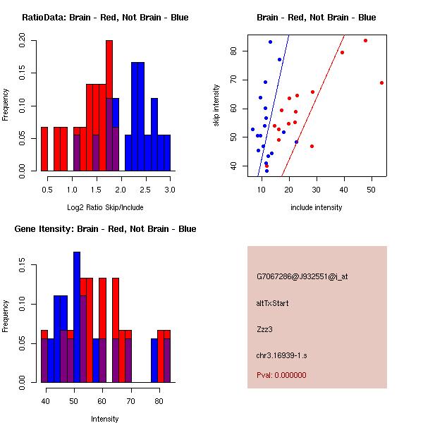
| Zzz3 mm5
[u][d][f]( 0.00, altTxStart, 118, 1) | -0.8846 |
| Zzz3 mm5
[u][d][f]( 0.00, altTxStart, 507, 0) | -0.5430 |
| Nr3c1 mm5
[u][d][f]( 0.00, altTxStart, 88, 1) | 0.6349 |
| Nr3c1 mm5
[u][d][f]( 0.00, altTxStart, 290, 2) | 0.5328 |
| YWHAG mm5
[u][d][f]( 0.00, altTxEnd, 831, 0) | -0.5131 |
| Reps2 mm2
[u][d][f]( 0.00, altTxEnd, 650, 2) | 0.5024 |
| Ppp1r9b mm5
[u][d][f]( 0.00, altTxStart, 431, 2) | 0.4985 |
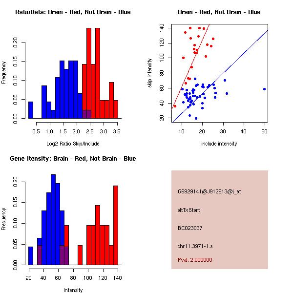
| Trim24 mm5
[u][d][f]( 0.00, altTxStart, 654, 0) | 0.4953 |
| Madd mm2
[u][d][f]( 0.00, altTxStart, 804, 0) | -0.4898 |
| Madd mm2
[u][d][f]( 0.00, altTxStart, 668, 2) | -0.4898 |
| UBE2G1 mm5
[u][d][f]( 0.00, altTxStart, 400, 1) | 0.4849 |
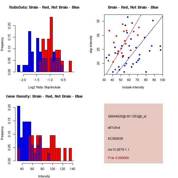
| BC060638 mm5
[u][d][f]( 0.00, altTxEnd, 78, 0) | 0.4805 |
| G7023420_a_at mm5
[u][d][f]( 0.00, altTxEnd, 697, 1) | 0.4740 |
| AK052697 mm5
[u][d][f]( 0.00, altTxEnd, 106, 1) | 2.0269 |
| AK052697 mm5
[u][d][f]( 0.00, altTxEnd, 294, 0) | 0.4571 |
| Mtmr1 mm2
[u][d][f]( 0.00, altTxEnd, 3824, 2) | 0.4545 |
| Pank4 mm5
[u][d][f]( 0.00, altTxEnd, 731, 2) | 0.4543 |
| Tlk1 mm2
[u][d][f]( 0.00, altTxEnd, 1961, 2) | 0.4494 |
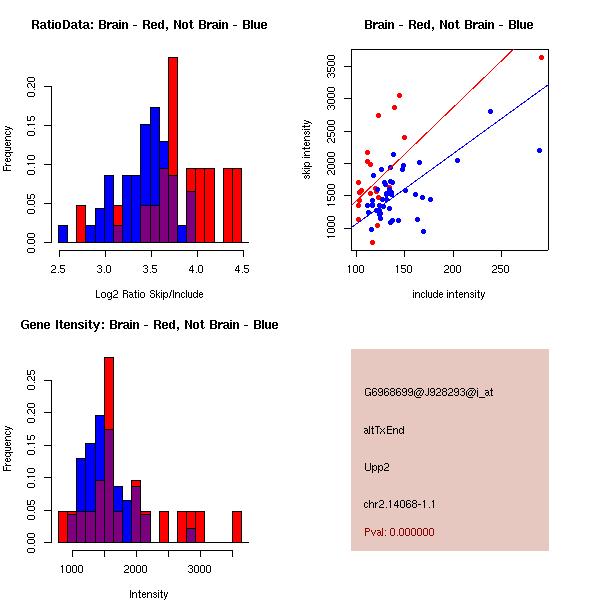
| Upp2 mm5
[u][d][f]( 0.00, altTxEnd, 468, 0) | 0.4275 |
| 0610009D07Rik mm2
[u][d][f]( 0.00, altTxEnd, 894, 0) | -0.3722 |
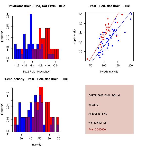
| A630054L15Rik mm5
[u][d][f]( 0.00, altTxEnd, 1173, 0) | 0.3597 |
| Centg3 mm5
[u][d][f]( 0.00, altMutEx, 309, 0) | 0.3543 |
| 2610509H23Rik mm5
[u][d][f]( 0.30, altCassette, 61, 1) | -0.3310 |
| Arhgdia mm5
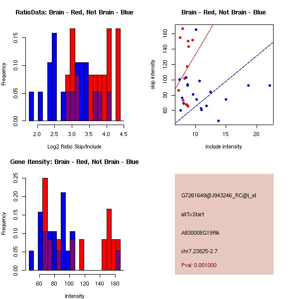
[u][d][f]( 0.00, altTxEnd, 1542, 0) | 0.3234 |