| Name | Sep |
| Bcas1 mm5
[u][d][f]( 0.00%, altCassette) | -6.6965 |
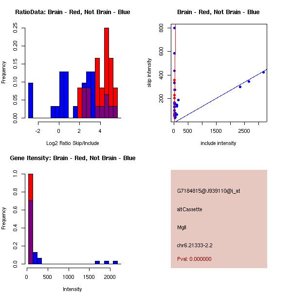
| Mgll mm5
[u][d][f]( 0.00%, altCassette) | 6.1315 |
| Slc22a17 mm5
[u][d][f]( 0.00%, alt3Prime) | -5.3464 |
| Epb4.1l3 mm5
[u][d][f](41.00%, altCassette) | -4.8509 |
| Kif1b mm5
[u][d][f]( 0.00%, altMutEx) | -4.7977 |
| Aplp2 mm5
[u][d][f](96.00%, altCassette) | -4.7547 |
| Mapk8ip mm2
[u][d][f]( 0.00%, altTxStart) | 4.7272 |
| BC027791 mm5
[u][d][f]( 0.00%, altCassette) | -4.4272 |
| Rpn2 mm2
[u][d][f]( 0.00%, altCassette) | -4.2105 |
| G7125552_RC_a_at mm5
[u][d][f]( 0.00%, altCassette) | -4.1416 |
| Madd mm5
[u][d][f]( 0.00%, altCassette) | -4.0323 |
| Pdlim7 mm5
[u][d][f]( 0.00%, altCassette) | -3.9231 |
| D030028O16Rik mm5
[u][d][f]( 0.00%, altCassette) | 3.9153 |
| Adar mm5
[u][d][f]( 0.00%, alt5Prime) | -3.8983 |
| Kif1b mm5
[u][d][f]( 0.00%, altCassette) | -3.8763 |
| Mapk8ip3 mm5
[u][d][f]( 0.00%, alt5Prime) | -3.8556 |
| Mef2d mm5
[u][d][f]( 0.00%, altCassette) | -3.7400 |
| Ppp3ca mm5
[u][d][f](95.50%, altCassette) | -3.7141 |
| Dncic2 mm5
[u][d][f](65.50%, altCassette) | -3.6863 |
| Cpe mm5
[u][d][f]( 0.00%, altTxStart) | 3.6737 |
| Pcbp4 mm5
[u][d][f]( 0.00%, altTxEnd) | -3.6417 |
| Clps mm5
[u][d][f]( 0.00%, altCassette) | 3.6280 |
| Mme mm5
[u][d][f]( 0.00%, alt3Prime) | 3.6158 |
| Clstn1 mm5
[u][d][f]( 0.00%, altCassette) | -3.5525 |
| Ank3 mm5
[u][d][f](65.00%, altCassette) | -3.4822 |
| Rap1gds1 mm5
[u][d][f](56.00%, altCassette) | 3.4314 |
| G7094107_RC_a_at mm5
[u][d][f]( 0.00%, altCassette) | -3.4057 |
| 4921528E07Rik mm5
[u][d][f]( 0.00%, altCassette) | 3.3916 |
| Gnas mm5
[u][d][f]( 0.00%, altCassette) | -3.3820 |
| Eif4a2 mm5
[u][d][f]( 0.00%, altTxEnd) | 3.3283 |
| Fgfr1 mm5
[u][d][f](18.50%, altCassette) | -3.3249 |
| Rtn4 mm5
[u][d][f](29.00%, altCassette) | -3.2444 |
| Pbx1 mm5
[u][d][f](71.00%, altCassette) | -3.2013 |
| Bach mm5
[u][d][f]( 0.00%, altTxEnd) | 3.1608 |
| Cask mm5
[u][d][f](86.00%, altCassette) | -3.0764 |
| Madd mm5
[u][d][f](30.50%, altCassette) | -3.0272 |
| Trim9 mm5
[u][d][f]( 0.00%, altTxEnd) | 3.0248 |
| Trim9 mm5
[u][d][f]( 0.00%, altTxEnd) | 3.0248 |
| Trim9 mm5
[u][d][f]( 0.00%, altTxEnd) | 3.0248 |
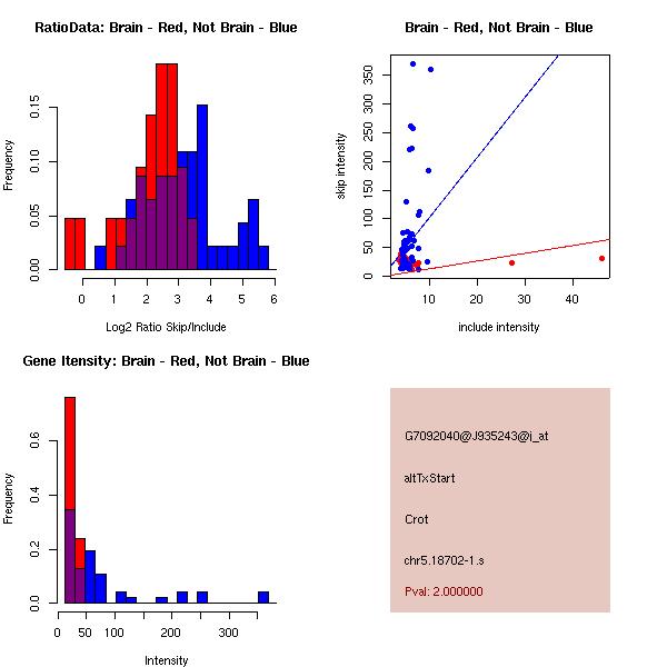
| Crot mm5
[u][d][f]( 0.00%, altTxStart) | -2.9603 |
| Kns2 mm5
[u][d][f]( 0.00%, altTxEnd) | 2.9480 |
| Add1 mm5
[u][d][f]( 0.00%, alt5Prime) | -2.9322 |
| Rsn mm5
[u][d][f]( 0.00%, altMutEx) | -2.8977 |
| Trim2 mm5
[u][d][f]( 0.00%, altTxStart) | 2.8428 |
| Trim2 mm5
[u][d][f]( 0.00%, altTxStart) | 2.8428 |
| Bclaf1 mm5
[u][d][f](29.00%, altCassette) | -2.8086 |
| Ndrg2 mm5
[u][d][f]( 0.00%, altTxStart) | 2.7978 |
| Sdbcag84 mm5
[u][d][f]( 0.00%, altCassette) | -2.7457 |
| Stk25 mm5
[u][d][f]( 0.00%, altTxStart) | 2.7373 |
| BC030435 mm2
[u][d][f]( 0.00%, altTxStart) | 2.7352 |
| Stk2 mm5
[u][d][f](50.00%, altCassette) | 2.7269 |
| 3632413B07Rik mm5
[u][d][f]( 0.00%, alt5Prime) | -2.6971 |
| Kpna1 mm5
[u][d][f]( 0.00%, altTxStart) | 2.6739 |
| 4732496O19Rik mm5
[u][d][f](65.50%, altCassette) | -2.6645 |
| Jtb mm5
[u][d][f]( 0.00%, altTxStart) | 2.6413 |
| Sugt1 mm5
[u][d][f]( 0.00%, altCassette) | 2.6248 |
| 5730410E15Rik mm5
[u][d][f]( 0.00%, altTxStart) | 2.5971 |
| Pja1 mm5
[u][d][f]( 0.00%, altMutEx) | 2.5551 |
| Cdc42 mm5
[u][d][f]( 0.00%, altTxEnd) | -2.5499 |
| Cdc42 mm5
[u][d][f]( 0.00%, altTxEnd) | -2.5499 |
| Epb4.1l3 mm5
[u][d][f]( 0.00%, altCassette) | -2.5414 |
| H13 mm5
[u][d][f](10.00%, altCassette) | -2.5335 |
| Baiap1 mm5
[u][d][f](100.00%, altCassette) | -2.5250 |
| Ppp1r9b mm5
[u][d][f]( 0.00%, altCassette) | 2.5088 |
| Sdfr1 mm5
[u][d][f]( 0.00%, altCassette) | -2.5015 |
| 1110019O13Rik mm5
[u][d][f]( 0.00%, altCassette) | 2.4823 |
| Dnm1l mm5
[u][d][f]( 0.00%, alt5Prime) | 2.4373 |
| Pde4d mm5
[u][d][f]( 0.00%, altTxStart) | 2.4266 |
| Schip1 mm5
[u][d][f]( 0.00%, altTxStart) | 2.3982 |
| Rragd mm5
[u][d][f]( 0.00%, alt3Prime) | -2.3767 |
| 4432404J10Rik mm5
[u][d][f]( 0.00%, alt5Prime) | -2.3746 |
| 5730453I16Rik mm5
[u][d][f]( 0.00%, alt5Prime) | 2.3700 |
| Add3 mm5
[u][d][f]( 0.00%, altCassette) | 2.3559 |
| Nsf mm5
[u][d][f]( 0.00%, altCassette) | 2.3495 |
| Pfn2 mm5
[u][d][f]( 0.00%, alt3Prime) | -2.3487 |
| 1110051M20Rik mm5
[u][d][f]( 0.00%, altCassette) | 2.3363 |
| 5230400G24Rik mm5
[u][d][f](36.50%, altCassette) | -2.3355 |
| Phr1 mm5
[u][d][f](35.00%, altCassette) | -2.3171 |
| BC056448 mm5
[u][d][f]( 0.00%, altCassette) | 2.3158 |
| Scg3 mm5
[u][d][f]( 0.00%, alt5Prime) | 2.2800 |
| Oxr1 mm5
[u][d][f](37.50%, altCassette) | -2.2741 |
| AA536749 mm5
[u][d][f]( 0.00%, altCassette) | 2.2717 |
| Arf3 mm5
[u][d][f]( 0.00%, altCassette) | -2.2648 |
| BC027163 mm5
[u][d][f]( 0.00%, altTxEnd) | -2.2639 |
| Dgkz mm5
[u][d][f]( 0.00%, altTxStart) | 2.2524 |
| AK043288 mm5
[u][d][f]( 0.00%, altCassette) | 2.2433 |
| Map2k4 mm5
[u][d][f](96.50%, altCassette) | -2.2294 |
| BC044772 mm5
[u][d][f]( 0.00%, altTxEnd) | 2.1866 |
| BC062096 mm5
[u][d][f]( 0.00%, altCassette) | -2.1813 |
| 3110052N05Rik mm2
[u][d][f]( 0.00%, altTxStart) | 2.1601 |
| 3110052N05Rik mm5
[u][d][f]( 0.00%, altTxStart) | 2.1601 |
| Ppm1d mm5
[u][d][f]( 0.00%, altCassette) | 2.1571 |
| Bcas1 mm2
[u][d][f]( 0.00%, altTxStart) | 2.1563 |
| Tuba4 mm5
[u][d][f]( 0.00%, altMutEx) | -2.1483 |
| Btbd9 mm5
[u][d][f]( 4.00%, altCassette) | -2.1471 |
| AK122326 mm5
[u][d][f]( 0.00%, altCassette) | 2.1300 |
| AK122326 mm5
[u][d][f]( 0.00%, altCassette) | -2.1134 |
| AK043551 mm5
[u][d][f]( 0.00%, altTxEnd) | 2.1060 |
| 6330415F13Rik mm5
[u][d][f]( 0.00%, altTxStart) | 2.0920 |
| Ogt mm5
[u][d][f]( 0.00%, alt3Prime) | 2.0848 |
| Hk1 mm5
[u][d][f]( 0.00%, altCassette) | 2.0847 |
| Nudt3 mm5
[u][d][f]( 0.00%, alt3Prime) | -2.0827 |
| Pja2 mm5
[u][d][f]( 0.00%, altCassette) | 2.0763 |
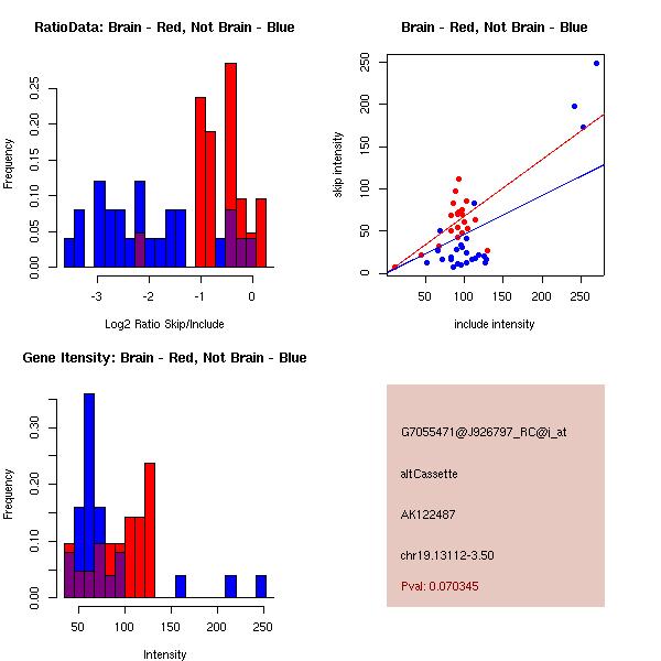
| AK122487 mm5
[u][d][f]( 0.00%, altCassette) | 2.0693 |
| Glcci1 mm2
[u][d][f]( 0.00%, altTxEnd) | 2.0593 |
| Pmm1 mm5
[u][d][f]( 0.00%, altMutEx) | -2.0562 |
| Ttc3 mm5
[u][d][f]( 0.00%, altCassette) | 2.0501 |
| G6829590_a_at mm5
[u][d][f]( 0.00%, altTxEnd) | 2.0424 |
| Dctn6 mm5
[u][d][f]( 0.00%, altTxStart) | 2.0398 |
| AK011541 mm5
[u][d][f]( 0.00%, altCassette) | 2.0346 |
| Pi4k2a mm5
[u][d][f]( 0.00%, altTxEnd) | 2.0177 |
| Eps8 mm5
[u][d][f]( 0.00%, altTxStart) | 1.9938 |
| AK052001 mm5
[u][d][f]( 0.00%, altTxStart) | 1.9927 |
| Slc25a15 mm5
[u][d][f]( 0.00%, alt5Prime) | 1.9724 |
| Rbx1 mm5
[u][d][f]( 0.00%, altTxStart) | 1.9707 |
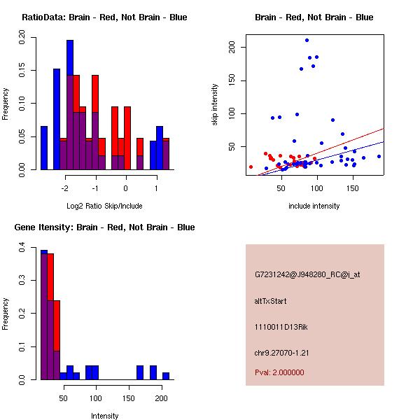
| 1110011D13Rik mm5
[u][d][f]( 0.00%, altTxStart) | 1.9677 |
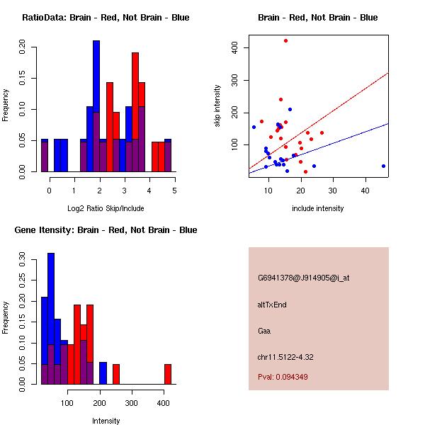
| Gaa mm5
[u][d][f]( 0.00%, altTxEnd) | 1.9665 |
| Atp9a mm2
[u][d][f]( 0.00%, altTxStart) | 1.9607 |
| Atp9a mm5
[u][d][f]( 0.00%, altTxStart) | 1.9607 |
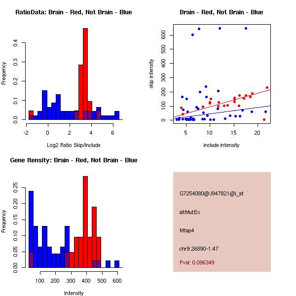
| Mtap4 mm5
[u][d][f]( 0.00%, altMutEx) | 1.9597 |
| Atf2 mm5
[u][d][f](99.00%, altCassette) | -1.9533 |
| Kif21a mm5
[u][d][f]( 0.00%, altCassette) | 1.9526 |
| Tcf12 mm5
[u][d][f](76.00%, altCassette) | -1.9474 |
| Col4a3bp mm5
[u][d][f](62.50%, altCassette) | -1.9438 |
| AK031374 mm5
[u][d][f]( 0.00%, altCassette) | 1.9420 |
| Eps15 mm5
[u][d][f](26.50%, altCassette) | -1.9409 |
| Nt5c2 mm5
[u][d][f]( 0.00%, altTxStart) | 1.9211 |
| AF133818 mm5
[u][d][f]( 0.00%, altCassette) | -1.9197 |
| 4930485D02Rik mm5
[u][d][f]( 0.00%, altTxEnd) | 1.9196 |
| Epha7 mm5
[u][d][f]( 0.00%, altTxStart) | 1.9020 |
| Epha7 mm5
[u][d][f]( 0.00%, altTxStart) | 1.9020 |
| Smox mm5
[u][d][f]( 0.00%, altTxStart) | 1.8957 |
| 3632413B07Rik mm5
[u][d][f]( 0.00%, alt3Prime) | -1.8884 |
| Baiap1 mm2
[u][d][f]( 0.00%, altTxStart) | 1.8862 |
| Rtn1 mm5
[u][d][f]( 0.00%, altTxStart) | -1.8823 |
| AK079086 mm5
[u][d][f]( 0.00%, altTxEnd) | -1.8761 |
| Atad1 mm5
[u][d][f]( 3.00%, altCassette) | -1.8697 |
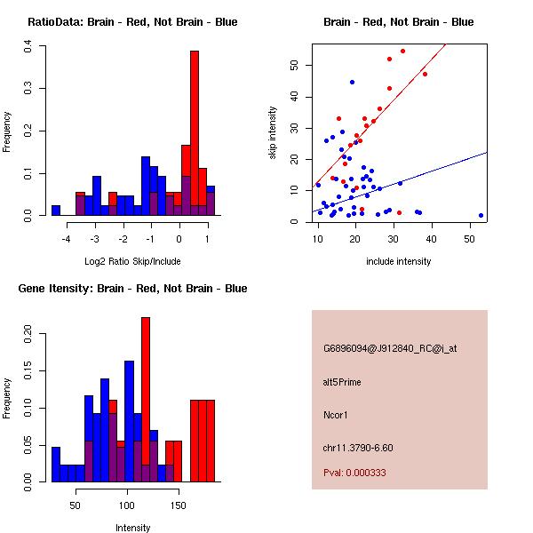
| Ncor1 mm5
[u][d][f]( 0.00%, alt5Prime) | 1.8613 |
| Reps1 mm5
[u][d][f](95.50%, altCassette) | -1.8564 |
| Map4k6 mm5
[u][d][f]( 0.00%, altCassette) | -1.8435 |
| Zfp106 mm5
[u][d][f]( 3.00%, altCassette) | -1.8417 |
| G7204760_a_at mm2
[u][d][f]( 0.00%, altTxStart) | 1.8394 |
| Smyd1 mm5
[u][d][f]( 0.00%, altTxStart) | -1.8357 |
| Sept7 mm5
[u][d][f]( 0.00%, altTxStart) | 1.8350 |
| Sept7 mm5
[u][d][f]( 0.00%, altTxStart) | 1.8350 |
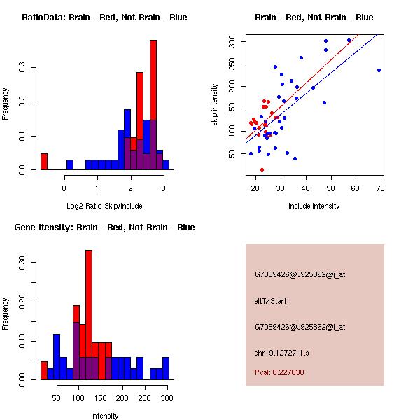
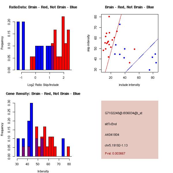
| AK041804 mm5
[u][d][f]( 0.00%, altTxEnd) | 1.8257 |
| 3632413B07Rik mm5
[u][d][f]( 0.00%, altTxStart) | 1.8181 |
| AK129411 mm2
[u][d][f]( 0.00%, altTxEnd) | -1.8171 |
| Idh3a mm5
[u][d][f]( 0.00%, altCassette) | 1.8125 |
| Prkacb mm5
[u][d][f]( 0.00%, altTxStart) | 1.8124 |
| Papola mm5
[u][d][f]( 0.00%, altCassette) | 1.8030 |
| Nfe2l1 mm5
[u][d][f]( 0.00%, altTxStart) | 1.8021 |
| Farslb mm5
[u][d][f]( 0.00%, altTxStart) | 1.7808 |
| Fyn mm5
[u][d][f]( 0.00%, altMutEx) | -1.7708 |
| Psa mm5
[u][d][f]( 0.00%, altCassette) | 1.7350 |
| Gtf2i mm2
[u][d][f]( 0.00%, altTxStart) | 1.7251 |
| E430034L04Rik mm5
[u][d][f]( 0.00%, altTxStart) | 1.7224 |
| Ncor2 mm5
[u][d][f]( 0.00%, alt5Prime) | -1.7181 |
| Papss1 mm5
[u][d][f]( 0.00%, altCassette) | 1.7169 |
| 4932409F11Rik mm5
[u][d][f](77.00%, altCassette) | 1.7164 |
| G6872891_a_at mm5
[u][d][f]( 0.00%, altCassette) | 1.7077 |
| Ssx2ip mm5
[u][d][f]( 0.00%, altCassette) | 1.7054 |
| BC019977 mm5
[u][d][f](68.00%, altCassette) | -1.7028 |
| Prkwnk1 mm5
[u][d][f]( 0.00%, altTxStart) | 1.6915 |
| Dsip1 mm2
[u][d][f]( 0.00%, altTxStart) | -1.6815 |
| 6330415F13Rik mm5
[u][d][f]( 0.00%, altTxEnd) | 1.6809 |
| Apc mm5
[u][d][f]( 0.00%, altTxEnd) | 1.6751 |
| D8Ertd325e mm5
[u][d][f]( 0.00%, altTxEnd) | 1.6594 |
| AK077133 mm5
[u][d][f]( 0.00%, altTxStart) | 1.6564 |
| Idh3g mm5
[u][d][f]( 0.00%, altTxStart) | 1.6519 |
| BC048407 mm5
[u][d][f]( 0.00%, altTxEnd) | -1.6483 |
| B230378H13Rik mm5
[u][d][f]( 0.00%, altTxStart) | -1.6418 |
| Gcn5l2 mm5
[u][d][f]( 0.00%, alt5Prime) | 1.6386 |
| Atp6v1e1 mm5
[u][d][f]( 0.00%, altTxStart) | 1.6355 |
| Tm4sf8 mm5
[u][d][f]( 0.00%, altTxStart) | 1.6343 |
| Tm4sf8 mm5
[u][d][f]( 0.00%, altTxStart) | 1.6343 |
| 2900010J23Rik mm5
[u][d][f]( 0.00%, altTxStart) | 1.6281 |
| Sars1 mm5
[u][d][f]( 0.00%, altCassette) | -1.6244 |
| BC058645 mm5
[u][d][f]( 0.00%, altCassette) | 1.6157 |
| Map4k6 mm5
[u][d][f](72.00%, altCassette) | 1.6133 |
| 1110054N06Rik mm5
[u][d][f]( 0.00%, altTxStart) | 1.6127 |
| Drap1 mm5
[u][d][f]( 0.00%, altTxEnd) | 1.6117 |
| Dpp8 mm5
[u][d][f]( 0.00%, altTxStart) | 1.6074 |
| Dpp8 mm5
[u][d][f]( 0.00%, altTxStart) | 1.6074 |
| BC027756 mm5
[u][d][f]( 0.00%, altTxStart) | 1.5902 |
| Fgd4 mm5
[u][d][f]( 0.00%, altTxStart) | 1.5879 |
| Pafah1b1 mm5
[u][d][f]( 0.00%, altTxStart) | 1.5875 |
| Exoc7 mm5
[u][d][f]( 0.00%, altCassette) | -1.5815 |
| AY427822 mm5
[u][d][f]( 0.00%, altCassette) | -1.5769 |
| 4930415J21Rik mm5
[u][d][f]( 0.00%, altTxEnd) | 1.5760 |
| Sept8 mm5
[u][d][f]( 0.00%, altTxEnd) | 1.5745 |
| Ankfy1 mm5
[u][d][f]( 0.00%, alt5Prime) | 1.5685 |
| Dnajc5 mm5
[u][d][f]( 0.00%, altCassette) | 1.5635 |
| Gpi1 mm5
[u][d][f]( 0.00%, altTxEnd) | 1.5623 |
| Zmynd11 mm5
[u][d][f]( 0.00%, altTxStart) | 1.5586 |
| Dlgh1 mm5
[u][d][f](96.50%, altCassette) | -1.5579 |
| Ahsa1 mm5
[u][d][f]( 0.00%, altTxStart) | 1.5557 |
| Ahsa1 mm5
[u][d][f]( 0.00%, altTxStart) | 1.5557 |
| Catns mm5
[u][d][f](22.50%, altCassette) | -1.5413 |
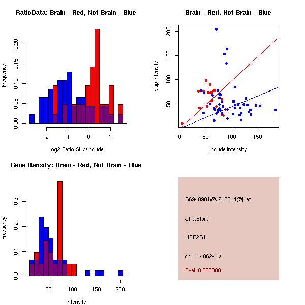
| UBE2G1 mm5
[u][d][f]( 0.00%, altTxStart) | 1.5353 |
| 2610018L09Rik mm5
[u][d][f]( 0.00%, altTxStart) | 1.5319 |
| BC021381 mm5
[u][d][f](92.50%, altCassette) | -1.5307 |
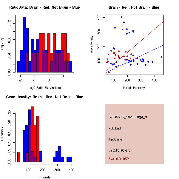
| Trp53inp2 mm5
[u][d][f]( 0.00%, altTxEnd) | 1.5302 |
| Nucb mm5
[u][d][f]( 0.00%, altCassette) | 1.5295 |
| 2810409H07Rik mm5
[u][d][f]( 0.00%, altTxStart) | 1.5243 |
| 2810409H07Rik mm5
[u][d][f]( 0.00%, altTxStart) | 1.5243 |
| Scoc mm5
[u][d][f]( 0.00%, altTxStart) | 1.5225 |
| 0910001A06Rik mm5
[u][d][f]( 0.00%, altTxStart) | 1.5190 |
| Ddx24 mm5
[u][d][f]( 0.00%, altTxStart) | 1.5137 |
| 2610103J23Rik mm5
[u][d][f](48.00%, altCassette) | 1.5124 |
| G6869122_a_at mm5
[u][d][f]( 0.00%, altCassette) | 1.5123 |
| Gjb6 mm5
[u][d][f]( 0.00%, altTxStart) | -1.5121 |
| Sfrs14 mm5
[u][d][f]( 0.00%, altCassette) | 1.5105 |
| D17Wsu155e mm5
[u][d][f]( 0.00%, altTxStart) | 1.5086 |
| Ccar1 mm5
[u][d][f]( 0.00%, altTxStart) | 1.5043 |
| Ndel1 mm5
[u][d][f]( 0.00%, altTxStart) | 1.4987 |
| Ndel1 mm5
[u][d][f]( 0.00%, altTxStart) | 1.4987 |
| Mxi1 mm5
[u][d][f]( 0.00%, altTxStart) | 1.4985 |
| Mxi1 mm5
[u][d][f]( 0.00%, altTxStart) | 1.4985 |
| Hsp105 mm5
[u][d][f]( 0.00%, altTxStart) | 1.4889 |
| Dhx30 mm5
[u][d][f]( 0.00%, altTxStart) | 1.4869 |
| Orc4l mm2
[u][d][f]( 0.00%, altTxStart) | 1.4867 |
| Dtna mm5
[u][d][f]( 0.00%, altTxEnd) | 1.4820 |
| 9530020D24Rik mm5
[u][d][f]( 0.00%, alt3Prime) | -1.4756 |
| Mgrn1 mm5
[u][d][f]( 0.00%, altCassette) | -1.4748 |
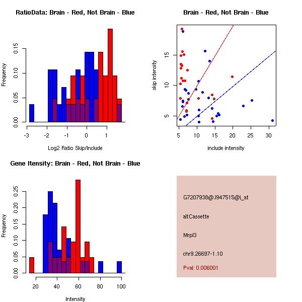
| Mrpl3 mm5
[u][d][f]( 0.00%, altCassette) | 1.4665 |
| Prkaca mm5
[u][d][f]( 0.00%, altCassette) | -1.4658 |
| Arf2 mm5
[u][d][f]( 0.00%, altTxStart) | 1.4649 |
| S75970 mm5
[u][d][f]( 0.00%, alt5Prime) | -1.4616 |
| AK044103 mm2
[u][d][f]( 0.00%, altTxEnd) | 1.4597 |
| AK044103 mm5
[u][d][f]( 0.00%, altTxEnd) | 1.4597 |
| AK129287 mm2
[u][d][f]( 0.00%, altTxEnd) | 1.4576 |
| D930046M03 mm5
[u][d][f]( 0.00%, altTxStart) | 1.4567 |
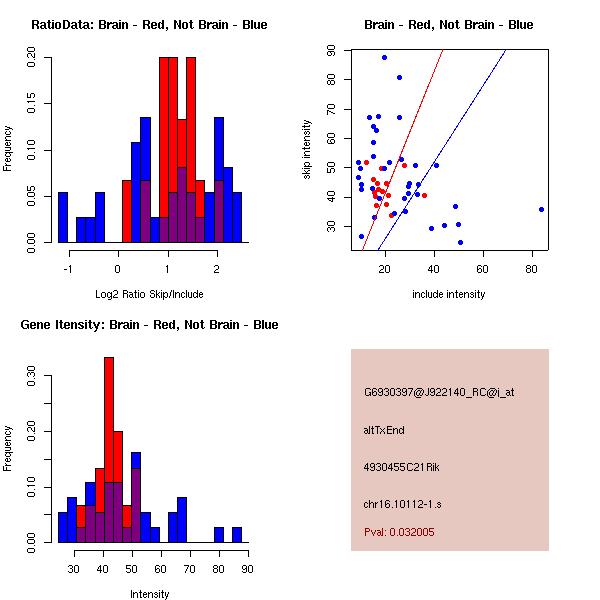
| 4930455C21Rik mm5
[u][d][f]( 0.00%, altTxEnd) | 1.4552 |
| G6850160_RC_a_at mm5
[u][d][f](70.50%, altCassette) | -1.4535 |
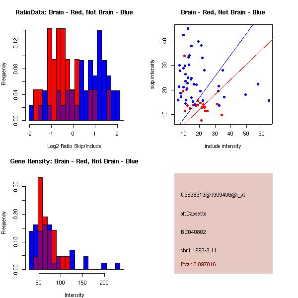
| BC040802 mm5
[u][d][f](38.00%, altCassette) | -1.4529 |
| AK029298 mm5
[u][d][f]( 0.00%, altTxStart) | 1.4522 |
| 9330187M14Rik mm5
[u][d][f]( 0.00%, altTxStart) | 1.4373 |
| 9330187M14Rik mm5
[u][d][f]( 0.00%, altTxStart) | 1.4373 |
| Mgrn1 mm5
[u][d][f]( 0.00%, altCassette) | 1.4342 |
| Mme mm5
[u][d][f]( 0.00%, altTxStart) | -1.4249 |
| Lmbr1 mm5
[u][d][f]( 0.00%, altCassette) | 1.4204 |
| Smox mm5
[u][d][f]( 0.00%, altCassette) | 1.4124 |
| Atp2c1 mm5
[u][d][f]( 0.00%, altCassette) | -1.4056 |
| D8Ertd354e mm5
[u][d][f]( 0.00%, altTxStart) | 1.3933 |
| Smap1 mm5
[u][d][f]( 0.00%, altCassette) | -1.3915 |
| Epha7 mm2
[u][d][f]( 0.00%, altTxEnd) | 1.3892 |
| 4632413K17Rik mm5
[u][d][f](30.50%, altCassette) | 1.3822 |
| Galgt1 mm5
[u][d][f]( 0.00%, altTxEnd) | 1.3739 |
| Dlgap4 mm5
[u][d][f]( 0.00%, altMutEx) | 1.3722 |
| BC062928 mm5
[u][d][f]( 0.00%, altCassette) | -1.3709 |
| Mkks mm5
[u][d][f]( 0.00%, altTxStart) | 1.3685 |
| BC062928 mm5
[u][d][f]( 0.00%, altTxEnd) | 1.3683 |
| Eef2k mm5
[u][d][f]( 0.00%, altTxStart) | 1.3655 |
| Grinl1a mm5
[u][d][f]( 0.00%, altTxStart) | 1.3639 |
| Wbp2 mm5
[u][d][f](19.00%, altCassette) | 1.3606 |
| Bcas2 mm5
[u][d][f]( 0.00%, alt3Prime) | 1.3578 |
| Senp6 mm5
[u][d][f]( 0.00%, altCassette) | -1.3540 |
| Atp2c1 mm5
[u][d][f]( 0.00%, altTxStart) | 1.3487 |
| AK029298 mm5
[u][d][f]( 0.00%, altTxStart) | 1.3470 |
| 2610110G12Rik mm5
[u][d][f]( 0.00%, altTxStart) | 1.3448 |
| 2610110G12Rik mm5
[u][d][f]( 0.00%, altTxStart) | 1.3448 |
| Fbxl3a mm5
[u][d][f]( 0.00%, altTxStart) | 1.3429 |
| Fbxl3a mm5
[u][d][f]( 0.00%, altTxStart) | 1.3429 |
| Arpc1a mm5
[u][d][f]( 0.00%, altTxEnd) | 1.3399 |
| Kif21b mm5
[u][d][f]( 0.00%, altCassette) | -1.3392 |
| G7180187_a_at mm2
[u][d][f]( 0.00%, altCassette) | -1.3353 |
| Parvb mm5
[u][d][f]( 0.00%, altTxStart) | 1.3336 |
| Parvb mm5
[u][d][f]( 0.00%, altTxStart) | 1.3336 |
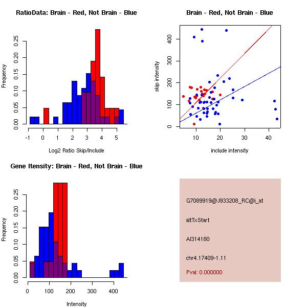
| AI314180 mm5
[u][d][f]( 0.00%, altTxStart) | 1.3318 |
| Spg7 mm5
[u][d][f]( 0.00%, alt5Prime) | 1.3286 |
| Pcm1 mm5
[u][d][f]( 8.50%, altCassette) | -1.3286 |
| Kif2a mm5
[u][d][f]( 0.00%, alt5Prime) | -1.3270 |
| Bap1 mm5
[u][d][f]( 0.00%, altCassette) | -1.3204 |
| Dgcr2 mm5
[u][d][f]( 0.00%, altTxStart) | 1.3170 |
| Agpat1 mm5
[u][d][f]( 0.00%, altTxStart) | 1.3119 |
| BC037132 mm5
[u][d][f]( 0.00%, altTxStart) | 1.3101 |
| D12Ertd553e mm5
[u][d][f]( 0.00%, altTxStart) | 1.2844 |
| Ranbp2 mm5
[u][d][f]( 0.00%, altTxStart) | 1.2793 |
| BC061486 mm5
[u][d][f]( 0.00%, altTxEnd) | 1.2785 |
| Atf2 mm5
[u][d][f]( 0.00%, altMutEx) | 1.2744 |
| BC060265 mm2
[u][d][f]( 0.00%, altTxEnd) | -1.2730 |
| Mtch1 mm5
[u][d][f]( 0.00%, alt5Prime) | -1.2703 |
| Exoc7 mm5
[u][d][f](56.00%, altCassette) | -1.2695 |
| Ube2e2 mm5
[u][d][f]( 0.00%, altCassette) | -1.2690 |
| Fnbp3 mm5
[u][d][f]( 0.00%, altTxStart) | 1.2652 |
| Fnbp3 mm5
[u][d][f]( 0.00%, altTxStart) | 1.2652 |
| Pld3 mm5
[u][d][f]( 0.00%, altCassette) | -1.2635 |
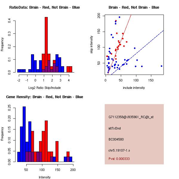
| BC004580 mm5
[u][d][f]( 0.00%, alt3Prime) | -1.2633 |
| D13903 mm5
[u][d][f]( 0.00%, altTxStart) | 1.2628 |
| Ttc4 mm5
[u][d][f]( 0.00%, altTxStart) | 1.2620 |
| BC062934 mm5
[u][d][f]( 0.00%, altTxEnd) | 1.2540 |
| 2610036N15Rik mm5
[u][d][f]( 0.00%, altTxStart) | 1.2527 |
| 2610036N15Rik mm5
[u][d][f]( 0.00%, altTxStart) | 1.2527 |
| 2610036N15Rik mm5
[u][d][f]( 0.00%, altTxStart) | 1.2527 |
| Suclg1 mm5
[u][d][f]( 0.00%, altCassette) | 1.2525 |
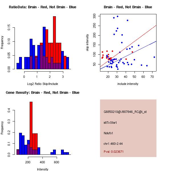
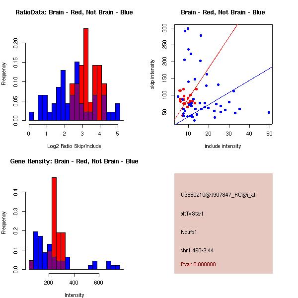
| Ndufs1 mm5
[u][d][f]( 0.00%, altTxStart) | 1.2508 |
| Ndufs1 mm5
[u][d][f]( 0.00%, altTxStart) | 1.2508 |
| Mgea5 mm5
[u][d][f]( 0.00%, altTxStart) | 1.2494 |
| Tlk1 mm5
[u][d][f]( 0.00%, altCassette) | -1.2491 |
| AK077268 mm2
[u][d][f]( 0.00%, altTxEnd) | -1.2455 |
| AW547365 mm5
[u][d][f]( 0.00%, altTxEnd) | -1.2429 |
| AK013560 mm5
[u][d][f]( 0.00%, altTxStart) | 1.2410 |
| AK013560 mm5
[u][d][f]( 0.00%, altTxStart) | 1.2410 |
| D12Ertd771e mm5
[u][d][f]( 0.00%, altTxStart) | 1.2361 |
| Mat2b mm5
[u][d][f]( 0.00%, altTxStart) | 1.2332 |
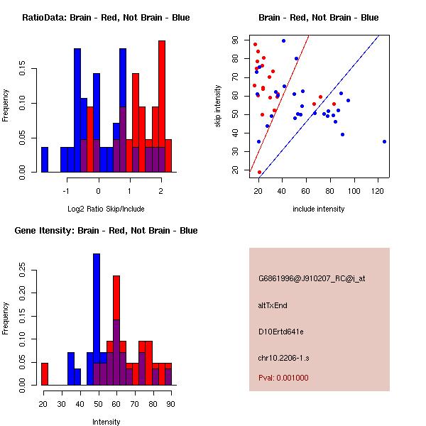
| D10Ertd641e mm5
[u][d][f]( 0.00%, altTxEnd) | 1.2299 |
| Zfp62 mm5
[u][d][f]( 0.00%, altCassette) | -1.2298 |
| L3mbtl3 mm5
[u][d][f]( 0.00%, altTxStart) | 1.2276 |
| Actr10 mm5
[u][d][f]( 0.00%, altCassette) | -1.2256 |
| Ddef1 mm5
[u][d][f](47.00%, altCassette) | 1.2218 |
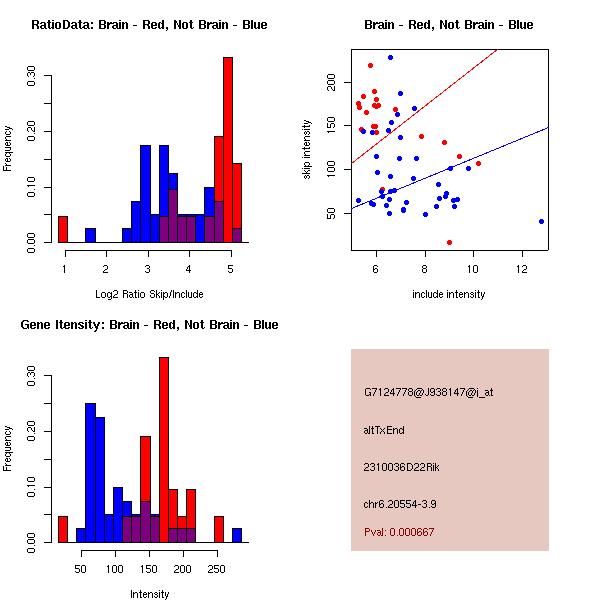
| 2310036D22Rik mm5
[u][d][f]( 0.00%, altTxStart) | 1.2187 |
| 2310036D22Rik mm5
[u][d][f]( 0.00%, altTxStart) | 1.2187 |
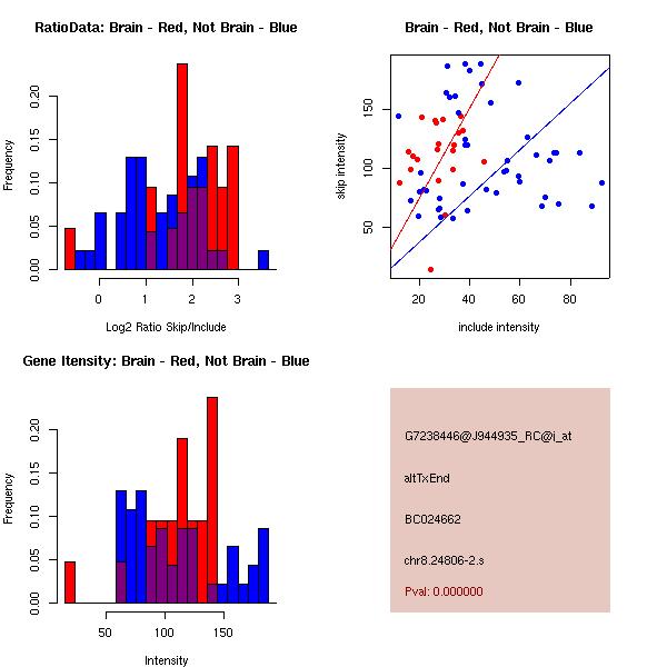
| BC024662 mm5
[u][d][f]( 0.00%, altTxEnd) | 1.2153 |
| AI256456 mm2
[u][d][f]( 0.00%, altTxStart) | 1.2139 |
| Fut8 mm5
[u][d][f]( 0.00%, altTxStart) | 1.2053 |
| Fut8 mm5
[u][d][f]( 0.00%, altTxStart) | 1.2053 |
| Cnot2 mm2
[u][d][f]( 0.00%, altTxStart) | 1.2022 |
| AI461788 mm5
[u][d][f]( 0.00%, altTxStart) | 1.2019 |
| AK014534 mm5
[u][d][f]( 0.00%, altTxStart) | 1.2012 |
| Acin1 mm5
[u][d][f]( 0.00%, alt3Prime) | -1.1982 |
| Thra mm5
[u][d][f]( 0.00%, altTxEnd) | 1.1959 |
| Smyd3 mm5
[u][d][f]( 0.00%, altTxStart) | 1.1951 |
| Mtmr1 mm5
[u][d][f]( 0.00%, altCassette) | -1.1933 |
| Dlst mm5
[u][d][f]( 0.00%, altTxEnd) | 1.1902 |
| BC049928 mm5
[u][d][f]( 0.00%, altTxStart) | 1.1897 |
| Mbd3 mm5
[u][d][f]( 0.00%, altTxStart) | 1.1869 |
| Mbd3 mm5
[u][d][f]( 0.00%, altTxStart) | 1.1869 |
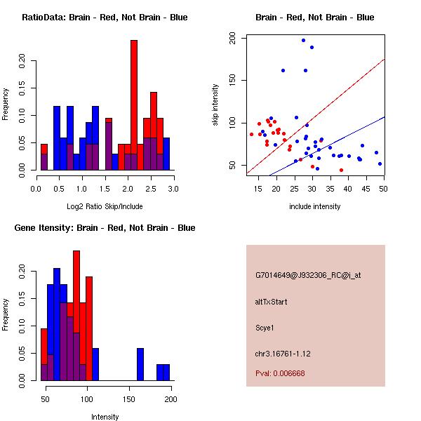
| Scye1 mm5
[u][d][f]( 0.00%, altTxStart) | 1.1820 |
| Cugbp2 mm5
[u][d][f]( 0.00%, alt5Prime) | 1.1802 |
| 4921528E07Rik mm5
[u][d][f]( 0.00%, alt3Prime) | -1.1775 |
| G6995877_a_at mm5
[u][d][f]( 0.00%, altCassette) | -1.1738 |
| Hspa4 mm5
[u][d][f]( 0.00%, altTxStart) | 1.1725 |
| 1200009B18Rik mm5
[u][d][f]( 0.00%, alt5Prime) | -1.1717 |
| Ncor1 mm5
[u][d][f]( 0.00%, altTxStart) | 1.1688 |
| Ncor1 mm5
[u][d][f]( 0.00%, altTxStart) | 1.1688 |
| Sfrs9 mm5
[u][d][f]( 0.00%, altTxStart) | -1.1660 |
| Stub1 mm5
[u][d][f]( 0.00%, altTxStart) | 1.1649 |
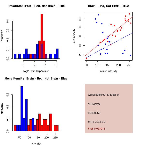
| BC060652 mm5
[u][d][f]( 0.00%, altCassette) | 1.1630 |
| Psap mm5
[u][d][f]( 0.00%, altTxStart) | 1.1623 |
| Cops5 mm5
[u][d][f]( 0.00%, altTxStart) | 1.1623 |
| AA536749 mm5
[u][d][f]( 0.00%, altCassette) | 1.1592 |
| Anp32a mm5
[u][d][f]( 0.00%, altTxStart) | 1.1524 |
| Gstz1 mm5
[u][d][f]( 0.00%, altCassette) | 1.1489 |
| G6874797_a_at mm5
[u][d][f]( 0.00%, altTxStart) | -1.1481 |
| Dnmt1 mm5
[u][d][f]( 0.00%, altTxStart) | 1.1474 |
| AK129214 mm5
[u][d][f](100.00%, altCassette) | 1.1470 |
| G7053963_RC_a_at mm5
[u][d][f]( 0.00%, altMutEx) | -1.1466 |
| 9030409E16Rik mm5
[u][d][f]( 0.00%, altTxStart) | 1.1448 |
| 9030409E16Rik mm5
[u][d][f]( 0.00%, altTxStart) | 1.1448 |
| Sf3b1 mm5
[u][d][f]( 0.00%, altTxStart) | 1.1435 |
| A930008G19Rik mm5
[u][d][f]( 0.00%, altTxStart) | 1.1424 |
| Drg2 mm5
[u][d][f]( 0.00%, altTxEnd) | -1.1306 |
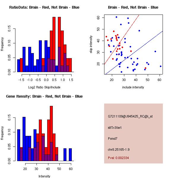
| Psmd7 mm5
[u][d][f]( 0.00%, altTxStart) | 1.1300 |
| Nol5a mm5
[u][d][f]( 0.00%, altTxEnd) | 1.1298 |
| 1110049F12Rik mm5
[u][d][f]( 0.00%, altTxStart) | -1.1294 |
| Zfp397 mm5
[u][d][f]( 0.00%, altTxStart) | 1.1212 |
| 4930506D23Rik mm5
[u][d][f]( 0.00%, altTxEnd) | -1.1178 |
| Arfgap1 mm5
[u][d][f]( 0.00%, altTxEnd) | 1.1131 |
| Mrps28 mm5
[u][d][f]( 0.00%, altTxStart) | 1.1119 |
| Sin3b mm5
[u][d][f]( 0.00%, altTxEnd) | -1.1093 |
| Mtf2 mm5
[u][d][f]( 0.00%, altMutEx) | -1.1057 |
| Cox4i1 mm5
[u][d][f]( 0.00%, altCassette) | 1.1029 |
| Copeb mm5
[u][d][f]( 0.00%, alt3Prime) | 1.1022 |
| AK122316 mm5
[u][d][f]( 0.00%, altCassette) | -1.1005 |
| AK029298 mm5
[u][d][f]( 0.00%, altTxEnd) | 1.0978 |
| BC047531 mm5
[u][d][f]( 0.00%, altCassette) | -1.0959 |
| AK129485 mm5
[u][d][f]( 0.00%, altTxStart) | 1.0922 |
| Zyx mm5
[u][d][f]( 0.00%, altCassette) | 1.0886 |
| Kifap3 mm5
[u][d][f]( 0.00%, altCassette) | -1.0799 |
| AI854408 mm5
[u][d][f]( 0.00%, altTxEnd) | -1.0740 |
| Ralbp1 mm5
[u][d][f]( 0.00%, altTxStart) | 1.0723 |
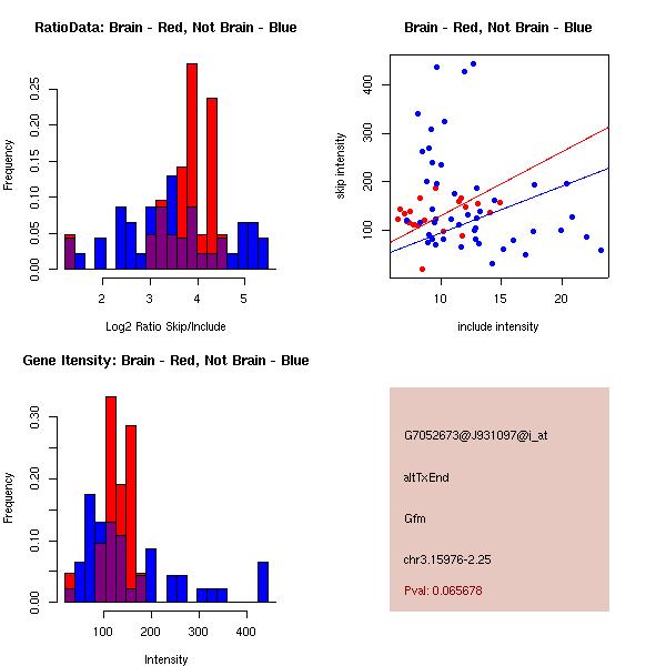
| Gfm mm5
[u][d][f]( 0.00%, altTxEnd) | 1.0691 |
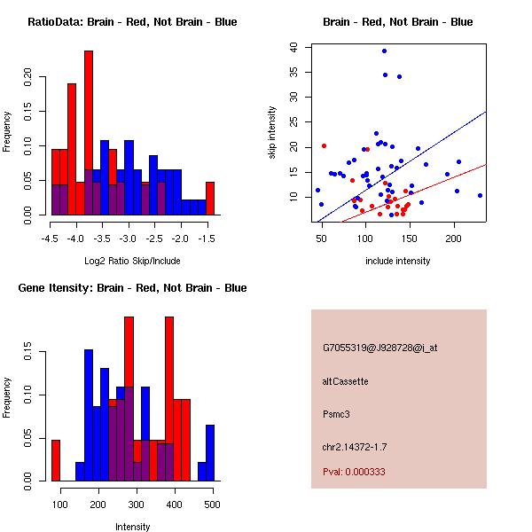
| Psmc3 mm5
[u][d][f]( 0.00%, altTxEnd) | 1.0635 |
| Hip2 mm5
[u][d][f](66.00%, altCassette) | -1.0631 |
| Cpeb3 mm5
[u][d][f]( 0.00%, altTxStart) | 1.0627 |
| Htatip mm5
[u][d][f]( 0.00%, alt3Prime) | -1.0593 |
| Lamp2 mm5
[u][d][f]( 0.00%, altTxEnd) | 1.0571 |
| Lamp2 mm5
[u][d][f]( 0.00%, altTxEnd) | 1.0571 |
| Zfp346 mm5
[u][d][f]( 0.00%, altTxEnd) | 1.0568 |
| Zfp346 mm5
[u][d][f]( 0.00%, altTxEnd) | 1.0568 |
| Ndufa10 mm5
[u][d][f]( 0.00%, altTxStart) | 1.0552 |
| Zfp119 mm5
[u][d][f]( 0.00%, altTxStart) | 1.0532 |
| BC061118 mm5
[u][d][f]( 0.00%, altTxStart) | 1.0526 |
| BC061118 mm5
[u][d][f]( 0.00%, altTxStart) | 1.0526 |
| C330016H24Rik mm5
[u][d][f]( 0.00%, altTxStart) | 1.0474 |
| Usf2 mm5
[u][d][f](16.00%, altCassette) | -1.0360 |
| Ncoa1 mm5
[u][d][f]( 0.00%, altCassette) | 1.0349 |
| Znrd1 mm5
[u][d][f]( 0.00%, alt3Prime) | -1.0327 |
| Grsf1 mm5
[u][d][f]( 0.00%, altTxStart) | 1.0313 |
| Stag1 mm5
[u][d][f]( 0.00%, altCassette) | -1.0300 |
| Ctbp1 mm5
[u][d][f]( 0.00%, altCassette) | -1.0279 |
| Add1 mm5
[u][d][f](30.00%, altCassette) | -1.0251 |
| Hmox2 mm5
[u][d][f]( 0.00%, altTxStart) | 1.0232 |
| BC011468 mm5
[u][d][f]( 0.00%, altTxStart) | 1.0195 |
| Slc25a11 mm5
[u][d][f]( 0.00%, altTxStart) | 1.0189 |
| Cd2ap mm5
[u][d][f]( 0.00%, altTxStart) | -1.0177 |
| 4432404J10Rik mm5
[u][d][f]( 0.00%, altCassette) | 1.0115 |
| 2310036D22Rik mm5
[u][d][f]( 0.00%, altTxEnd) | 1.0115 |
| Pqbp1 mm5
[u][d][f]( 0.00%, altTxStart) | 1.0112 |
| Pqbp1 mm5
[u][d][f]( 0.00%, altTxStart) | 1.0112 |
| Pqbp1 mm5
[u][d][f]( 0.00%, altTxStart) | 1.0112 |
| Bhlhb3 mm5
[u][d][f]( 0.00%, altTxEnd) | 1.0104 |
| Ncor2 mm2
[u][d][f]( 0.00%, altMutEx) | -1.0092 |
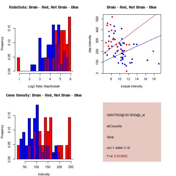
| Spop mm5
[u][d][f]( 0.00%, altCassette) | 1.0083 |
| Mdm4 mm5
[u][d][f]( 0.00%, altCassette) | 0.9988 |
| G7046357_a_at mm5
[u][d][f]( 0.00%, altTxStart) | 0.9986 |
| Nudt4 mm5
[u][d][f]( 0.00%, altTxStart) | 0.9914 |
| Copg mm5
[u][d][f]( 0.00%, altCassette) | -0.9881 |
| G7084021_a_at mm5
[u][d][f]( 0.00%, altTxStart) | -0.9871 |
| Cct5 mm5
[u][d][f]( 0.00%, altTxStart) | 0.9870 |
| Nfix mm5
[u][d][f]( 0.00%, altCassette) | -0.9835 |
| Mapre3 mm5
[u][d][f]( 0.00%, alt5Prime) | -0.9724 |
| Elf2 mm5
[u][d][f]( 0.00%, altCassette) | 0.9707 |
| D230019K20Rik mm5
[u][d][f]( 4.00%, altCassette) | -0.9706 |
| Cdc37 mm5
[u][d][f]( 0.00%, altTxEnd) | 0.9701 |
| Ldb1 mm5
[u][d][f]( 0.00%, altTxStart) | 0.9662 |
| AK049460 mm5
[u][d][f]( 0.00%, alt5Prime) | -0.9639 |
| Psmc3 mm5
[u][d][f]( 0.00%, altCassette) | -0.9624 |
| 2310076K21Rik mm5
[u][d][f]( 0.00%, altTxStart) | 0.9617 |
| 2310076K21Rik mm5
[u][d][f]( 0.00%, altTxStart) | 0.9617 |
| AK122494 mm5
[u][d][f]( 0.00%, altTxEnd) | 0.9558 |
| 2410166I05Rik mm5
[u][d][f]( 0.00%, altTxStart) | 0.9529 |
| G6898185_a_at mm5
[u][d][f]( 0.00%, altTxStart) | 0.9525 |
| Rabep1 mm5
[u][d][f]( 0.00%, altTxEnd) | 0.9507 |
| Hnrpd mm5
[u][d][f](100.00%, altCassette) | 0.9442 |
| Snx3 mm5
[u][d][f]( 0.00%, altCassette) | -0.9402 |
| G7156121_RC_a_at mm5
[u][d][f]( 0.00%, altTxEnd) | 0.9391 |
| Hip2 mm5
[u][d][f]( 0.00%, altCassette) | -0.9384 |
| Whsc1l1 mm5
[u][d][f]( 0.00%, altTxStart) | 0.9290 |
| D030051N19Rik mm5
[u][d][f]( 0.00%, altTxEnd) | 0.9274 |
| D030051N19Rik mm5
[u][d][f]( 0.00%, altTxEnd) | 0.9274 |
| Ube2j1 mm5
[u][d][f]( 0.00%, altCassette) | 0.9272 |
| BC044772 mm5
[u][d][f]( 0.00%, altMutEx) | 0.9241 |
| Mlf2 mm5
[u][d][f]( 0.00%, altMutEx) | -0.9203 |
| 5730453I16Rik mm5
[u][d][f](100.00%, altCassette) | 0.9169 |
| Ralgds mm5
[u][d][f]( 0.00%, alt3Prime) | -0.9144 |
| 2310047O13Rik mm2
[u][d][f]( 0.00%, altTxStart) | 0.9046 |
| Atp2b3 mm5
[u][d][f]( 0.00%, altTxEnd) | 0.9038 |
| Atp2b3 mm5
[u][d][f]( 0.00%, altTxEnd) | 0.9038 |
| Bcl7a mm5
[u][d][f]( 0.00%, altTxStart) | 0.9013 |
| Dppa3 mm5
[u][d][f]( 0.00%, altTxStart) | -0.9003 |
| G6911212_a_at mm5
[u][d][f]( 0.00%, altCassette) | 0.8985 |
| Mdh1 mm2
[u][d][f]( 0.00%, altMutEx) | -0.8963 |
| Gabarapl1 mm5
[u][d][f]( 0.00%, altTxStart) | 0.8958 |
| H6pd mm5
[u][d][f]( 0.00%, altTxStart) | 0.8896 |
| Cab39 mm5
[u][d][f]( 0.00%, altTxStart) | 0.8885 |
| Slc3a2 mm5
[u][d][f]( 0.00%, altTxStart) | -0.8876 |
| Sfxn4 mm5
[u][d][f]( 0.00%, altTxEnd) | 0.8801 |
| Rabl4 mm5
[u][d][f]( 0.00%, altTxEnd) | -0.8783 |
| Polg mm5
[u][d][f]( 0.00%, altTxStart) | 0.8773 |
| Anp32e mm5
[u][d][f]( 0.00%, altTxStart) | 0.8759 |
| G6981819_a_at mm5
[u][d][f]( 0.00%, altCassette) | -0.8704 |
| AK036217 mm5
[u][d][f]( 0.00%, altTxStart) | 0.8702 |
| G7088259_RC_a_at mm2
[u][d][f]( 0.00%, altTxStart) | 0.8702 |
| E030011O05Rik mm5
[u][d][f]( 0.00%, altTxStart) | 0.8653 |
| 4632412E09Rik mm5
[u][d][f]( 0.00%, altTxStart) | -0.8636 |
| Ddx5 mm5
[u][d][f]( 0.00%, altTxStart) | 0.8613 |
| Dnm1l mm5
[u][d][f]( 0.00%, altTxStart) | 0.8607 |
| Dnm1l mm5
[u][d][f]( 0.00%, altTxStart) | 0.8607 |
| Lass5 mm5
[u][d][f]( 0.00%, altTxStart) | -0.8595 |
| G7134392_a_at mm2
[u][d][f]( 0.00%, altCassette) | -0.8568 |
| AK043551 mm5
[u][d][f]( 0.00%, altTxStart) | 0.8561 |
| C330023M02Rik mm5
[u][d][f]( 0.00%, altTxEnd) | 0.8543 |
| 1700012B15Rik mm5
[u][d][f]( 0.00%, altCassette) | -0.8529 |
| AK090138 mm5
[u][d][f]( 0.00%, alt3Prime) | 0.8478 |
| Got1 mm5
[u][d][f]( 0.00%, altTxEnd) | 0.8464 |
| Got1 mm5
[u][d][f]( 0.00%, altTxEnd) | 0.8464 |
| Fkbp8 mm5
[u][d][f]( 0.00%, altTxEnd) | 0.8432 |
| BC066103 mm5
[u][d][f]( 0.00%, alt5Prime) | 0.8393 |
| G7060954_a_at mm2
[u][d][f]( 0.00%, altTxEnd) | 0.8366 |
| BC008155 mm5
[u][d][f]( 0.00%, altTxStart) | 0.8331 |
| AK034323 mm5
[u][d][f]( 0.00%, altTxStart) | -0.8274 |
| Eif4el3 mm5
[u][d][f]( 0.00%, altTxEnd) | 0.8231 |
| H2afy mm5
[u][d][f]( 0.00%, altMutEx) | -0.8226 |
| G7076211_a_at mm2
[u][d][f]( 0.00%, altTxEnd) | 0.8206 |
| AK034075 mm5
[u][d][f]( 0.00%, altCassette) | -0.8198 |
| A2lp mm5
[u][d][f]( 0.00%, altTxStart) | 0.8144 |
| A2lp mm5
[u][d][f]( 0.00%, altTxStart) | 0.8144 |
| 0610012D09Rik mm5
[u][d][f]( 0.00%, altTxEnd) | 0.8133 |
| Samhd1 mm5
[u][d][f]( 0.00%, altCassette) | 0.8127 |
| 1200013I08Rik mm5
[u][d][f]( 0.00%, altTxStart) | 0.8092 |
| G7091230_a_at mm5
[u][d][f]( 8.00%, altCassette) | -0.8060 |
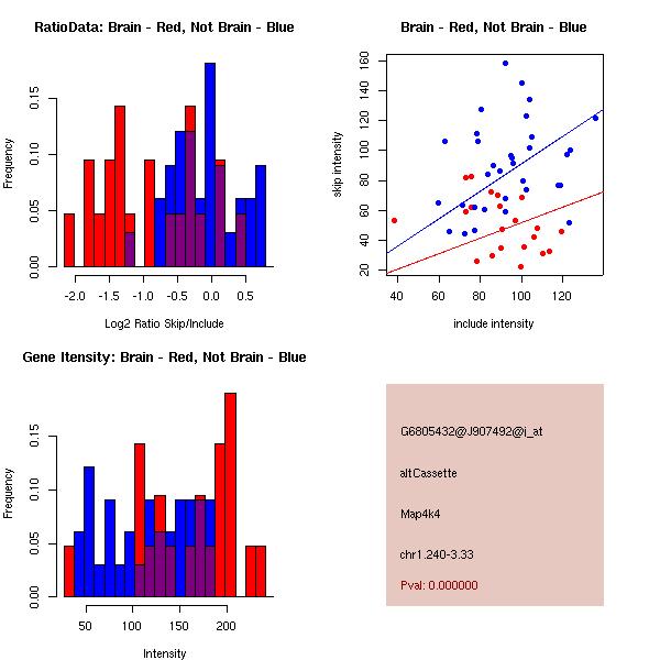
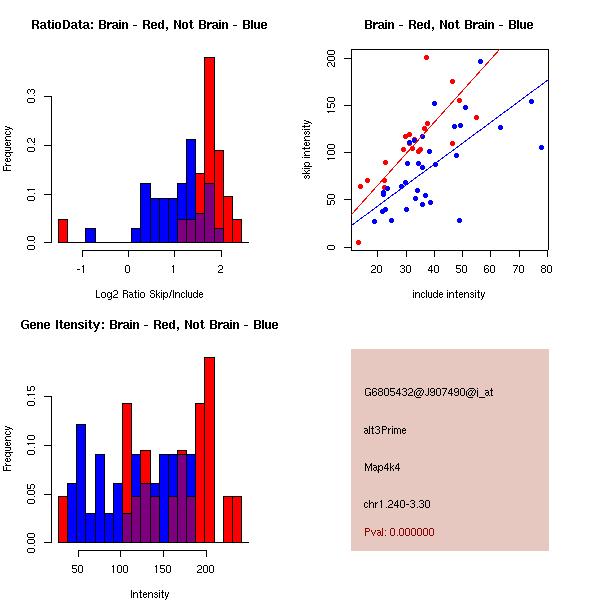
| Map4k4 mm5
[u][d][f](39.00%, altCassette) | -0.8054 |
| Ap1b1 mm2
[u][d][f]( 0.00%, altTxEnd) | 0.8027 |
| Tnpo2 mm5
[u][d][f]( 0.00%, altTxEnd) | 0.7991 |
| Akap8 mm5
[u][d][f]( 0.00%, altTxStart) | 0.7942 |
| Akap8 mm5
[u][d][f]( 0.00%, altTxStart) | 0.7942 |
| Uros mm5
[u][d][f]( 0.00%, altTxStart) | 0.7932 |
| Rchy1 mm5
[u][d][f]( 0.00%, altTxStart) | 0.7890 |
| Rabac1 mm5
[u][d][f]( 0.00%, altMutEx) | -0.7842 |
| Trpc4ap mm5
[u][d][f]( 0.00%, alt3Prime) | -0.7834 |
| AA960558 mm5
[u][d][f]( 0.00%, altTxEnd) | 0.7833 |
| BC062107 mm5
[u][d][f]( 0.00%, altCassette) | 0.7822 |
| Ash2l mm5
[u][d][f]( 0.00%, altTxStart) | 0.7726 |
| B930006L02Rik mm2
[u][d][f]( 0.00%, altTxEnd) | -0.7677 |
| BC004580 mm5
[u][d][f]( 0.00%, altTxEnd) | 0.7673 |
| BC004580 mm5
[u][d][f]( 0.00%, altTxEnd) | 0.7673 |
| BC022615 mm5
[u][d][f]( 0.00%, altTxStart) | 0.7658 |
| G7151644_RC_a_at mm2
[u][d][f]( 0.00%, alt5Prime) | -0.7655 |
| Slc1a3 mm5
[u][d][f]( 0.00%, altTxStart) | -0.7630 |
| Pum1 mm5
[u][d][f]( 0.00%, altTxStart) | 0.7593 |
| Pum1 mm5
[u][d][f]( 0.00%, altTxStart) | 0.7593 |
| Uhrf2 mm5
[u][d][f]( 0.00%, altTxEnd) | -0.7497 |
| 2810408E11Rik mm5
[u][d][f]( 4.00%, altCassette) | -0.7480 |
| Mrpl49 mm5
[u][d][f]( 0.00%, altTxEnd) | 0.7336 |
| Tcea2 mm5
[u][d][f]( 0.00%, altTxStart) | 0.7323 |
| Tcea2 mm5
[u][d][f]( 0.00%, altTxStart) | 0.7323 |
| 1810055E12Rik mm5
[u][d][f]( 0.00%, alt3Prime) | -0.7250 |
| Nbr1 mm5
[u][d][f]( 0.00%, altCassette) | -0.7191 |
| Fxyd1 mm5
[u][d][f]( 0.00%, altTxStart) | -0.7148 |
| Usp4 mm5
[u][d][f]( 8.50%, altCassette) | -0.7064 |
| Dctn3 mm2
[u][d][f]( 0.00%, altTxStart) | -0.6938 |
| Brd2 mm5
[u][d][f]( 0.00%, altCassette) | 0.6903 |
| Add1 mm5
[u][d][f]( 0.00%, altCassette) | 0.6799 |
| Mea1 mm5
[u][d][f]( 0.00%, altTxStart) | 0.6774 |
| Mea1 mm5
[u][d][f]( 0.00%, altTxStart) | 0.6774 |
| Arcp mm5
[u][d][f]( 0.00%, altTxEnd) | 0.6690 |
| AK078916 mm5
[u][d][f]( 0.00%, altTxEnd) | 0.6680 |
| AK032600 mm5
[u][d][f]( 0.00%, altTxEnd) | 0.6671 |
| AK122523 mm5
[u][d][f]( 0.00%, altTxEnd) | -0.6582 |
| Gnai3 mm5
[u][d][f]( 0.00%, altTxStart) | -0.6570 |
| BC047531 mm2
[u][d][f]( 0.00%, altTxEnd) | 0.6552 |
| Ndufs8 mm5
[u][d][f]( 0.00%, altTxStart) | 0.6465 |
| 1200007B05Rik mm5
[u][d][f]( 0.00%, altTxStart) | 0.6430 |
| Dctn4 mm5
[u][d][f]( 0.00%, altTxEnd) | 0.6370 |
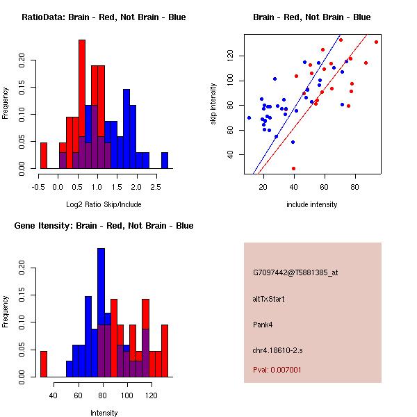
| Pank4 mm2
[u][d][f]( 0.00%, altTxStart) | -0.6334 |
| AK129295 mm5
[u][d][f]( 0.00%, altTxStart) | 0.6264 |
| E430039K05Rik mm5
[u][d][f]( 0.00%, altTxStart) | -0.6245 |
| BC047531 mm5
[u][d][f]( 0.00%, altTxEnd) | 0.6139 |
| BC047531 mm5
[u][d][f]( 0.00%, altTxEnd) | 0.6139 |
| Bin1 mm5
[u][d][f]( 0.00%, altCassette) | -0.6134 |
| AK079086 mm5
[u][d][f]( 0.00%, alt3Prime) | 0.6116 |
| Ufd1l mm5
[u][d][f]( 0.00%, altCassette) | 0.6054 |
| Atp5d mm5
[u][d][f]( 0.00%, alt3Prime) | -0.5869 |
| 0910001K20Rik mm5
[u][d][f]( 0.00%, altTxEnd) | -0.5769 |
| 9130023F12Rik mm2
[u][d][f]( 0.00%, altTxStart) | 0.5762 |
| Bcl7a mm5
[u][d][f]( 0.00%, altTxEnd) | 0.5641 |
| Arrb1 mm5
[u][d][f]( 0.00%, altCassette) | -0.5639 |
| Pfkp mm5
[u][d][f]( 0.00%, altTxStart) | 0.5621 |
| Pfkp mm5
[u][d][f]( 0.00%, altTxStart) | 0.5621 |
| Map4k4 mm5
[u][d][f]( 0.00%, alt3Prime) | 0.5538 |
| YWHAG mm5
[u][d][f]( 0.00%, altTxEnd) | -0.5422 |
| Enpp5 mm5
[u][d][f]( 0.00%, altTxStart) | -0.5408 |
| Gphn mm5
[u][d][f]( 0.00%, altTxEnd) | -0.5386 |
| Gphn mm5
[u][d][f]( 0.00%, altTxEnd) | -0.5386 |
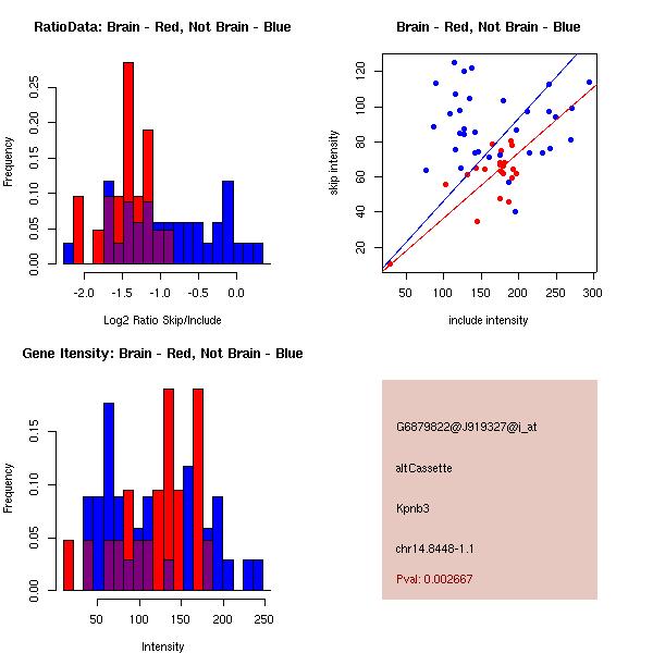
| Kpnb3 mm5
[u][d][f]( 0.00%, altCassette) | -0.5347 |
| Nr3c1 mm5
[u][d][f]( 0.00%, altTxStart) | 0.5261 |
| Zzz3 mm5
[u][d][f]( 0.00%, altTxStart) | -0.5182 |
| Rangap1 mm5
[u][d][f]( 0.00%, altTxEnd) | -0.5177 |
| Zmynd11 mm5
[u][d][f](72.00%, altCassette) | -0.5074 |
| Ppp1r9b mm5
[u][d][f]( 0.00%, altTxStart) | 0.5064 |
| Reps2 mm2
[u][d][f]( 0.00%, altTxEnd) | 0.5024 |
| G7139746_a_at mm5
[u][d][f]( 0.00%, altTxEnd) | -0.4934 |
| Madd mm2
[u][d][f]( 0.00%, altTxStart) | -0.4898 |
| Madd mm2
[u][d][f]( 0.00%, altTxStart) | -0.4898 |
| G7023420_a_at mm5
[u][d][f]( 0.00%, altTxEnd) | 0.4740 |
| Cops7a mm5
[u][d][f]( 0.00%, altTxStart) | 0.4677 |
| Nup88 mm5
[u][d][f]( 0.00%, altTxStart) | -0.4475 |
| 6330412F12Rik mm5
[u][d][f]( 0.00%, alt3Prime) | -0.4453 |
| Zdhhc3 mm5
[u][d][f]( 0.00%, altTxEnd) | 0.4313 |
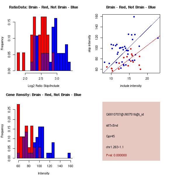
| Gpr45 mm5
[u][d][f]( 0.00%, altTxEnd) | -0.4138 |
| Mtmr1 mm2
[u][d][f]( 0.00%, altTxEnd) | 0.3822 |
| 0610009D07Rik mm2
[u][d][f]( 0.00%, altTxEnd) | -0.3722 |
| Tbc1d1 mm5
[u][d][f]( 0.00%, altTxEnd) | 0.3381 |
| Tbc1d1 mm5
[u][d][f]( 0.00%, altTxEnd) | 0.3381 |
| 5830434P21Rik mm5
[u][d][f]( 0.00%, altTxStart) | 0.3257 |
| A630054L15Rik mm5
[u][d][f]( 0.00%, altTxEnd) | 0.2745 |